Suppr超能文献

超图中的社会影响力最大化

Social Influence Maximization in Hypergraphs.

作者信息

Antelmi Alessia, Cordasco Gennaro, Spagnuolo Carmine, Szufel Przemysław

机构信息

Dipartimento di Informatica, Università degli Studi di Salerno, 84084 Fisciano, Italy.

Dipartimento di Psicologia, Università degli Studi della Campania "Luigi Vanvitelli", 81100 Caserta, Italy.

出版信息

Entropy (Basel). 2021 Jun 23;23(7):796. doi: 10.3390/e23070796.

Abstract

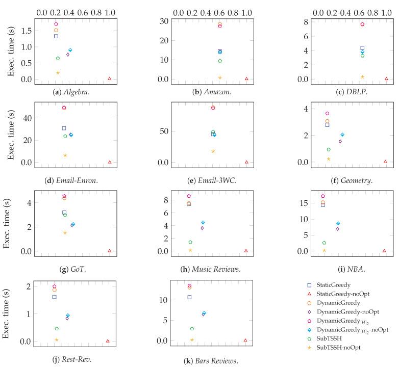
This work deals with a generalization of the minimum Target Set Selection (TSS) problem, a key algorithmic question in information diffusion research due to its potential commercial value. Firstly proposed by Kempe et al., the TSS problem is based on a linear threshold diffusion model defined on an input graph with node thresholds, quantifying the hardness to influence each node. The goal is to find the smaller set of items that can influence the whole network according to the diffusion model defined. This study generalizes the TSS problem on networks characterized by many-to-many relationships modeled via hypergraphs. Specifically, we introduce a linear threshold diffusion process on such structures, which evolves as follows. Let H=(V,E) be a hypergraph. At the beginning of the process, the nodes in a given set S⊆V are influenced. Then, at each iteration, (i) the influenced hyperedges set is augmented by all edges having a sufficiently large number of influenced nodes; (ii) consequently, the set of influenced nodes is enlarged by all the nodes having a sufficiently large number of already influenced hyperedges. The process ends when no new nodes can be influenced. Exploiting this diffusion model, we define the minimum Target Set Selection problem on hypergraphs (TSSH). Being the problem NP-hard (as it generalizes the TSS problem), we introduce four heuristics and provide an extensive evaluation on real-world networks.

摘要

这项工作涉及最小目标集选择(TSS)问题的推广,由于其潜在的商业价值,这是信息传播研究中的一个关键算法问题。TSS问题最早由肯佩等人提出,它基于一个在具有节点阈值的输入图上定义的线性阈值扩散模型,该模型量化了影响每个节点的难度。目标是根据所定义的扩散模型找到能够影响整个网络的较小项目集。本研究将TSS问题推广到以通过超图建模的多对多关系为特征的网络上。具体来说,我们在此类结构上引入一个线性阈值扩散过程,其演变如下。设H=(V,E)为一个超图。在过程开始时,给定集合S⊆V中的节点受到影响。然后,在每次迭代中,(i) 受影响的超边集通过具有足够数量受影响节点的所有边进行扩充;(ii) 因此,受影响的节点集通过具有足够数量已受影响超边的所有节点进行扩大。当没有新节点能够受到影响时,该过程结束。利用这个扩散模型,我们定义了超图上的最小目标集选择问题(TSSH)。由于该问题是NP难问题(因为它推广了TSS问题),我们引入了四种启发式算法,并在真实网络上进行了广泛的评估。

https://cdn.ncbi.nlm.nih.gov/pmc/blobs/898f/8305154/772686cb91ae/entropy-23-00796-g001.jpg

文献检索

告别复杂PubMed语法,用中文像聊天一样搜索,搜遍4000万医学文献。AI智能推荐,让科研检索更轻松。

立即免费搜索

文件翻译

保留排版,准确专业,支持PDF/Word/PPT等文件格式,支持 12+语言互译。

免费翻译文档

深度研究

AI帮你快速写综述,25分钟生成高质量综述,智能提取关键信息,辅助科研写作。

立即免费体验