Suppr超能文献

通过高通量筛选发现新型OXA-48β-内酰胺酶抑制剂化学系列

Discovery of Novel Chemical Series of OXA-48 β-Lactamase Inhibitors by High-Throughput Screening.

作者信息

Garofalo Barbara, Prati Federica, Buonfiglio Rosa, Coletta Isabella, D'Atanasio Noemi, Molteni Angela, Carettoni Daniele, Wanke Valeria, Pochetti Giorgio, Montanari Roberta, Capelli Davide, Milanese Claudio, Di Giorgio Francesco Paolo, Ombrato Rosella

机构信息

Angelini Pharma S.p.A., Global R&D External Innovation, Viale Amelia 70, 00181 Rome, Italy.

Axxam SpA Via Meucci 3, Bresso, 20091 Milan, Italy.

出版信息

Pharmaceuticals (Basel). 2021 Jun 25;14(7):612. doi: 10.3390/ph14070612.

Abstract

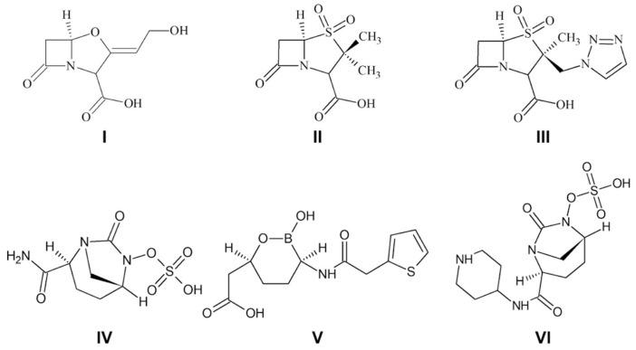
The major cause of bacterial resistance to β-lactams is the production of hydrolytic β-lactamase enzymes. Nowadays, the combination of β-lactam antibiotics with β-lactamase inhibitors (BLIs) is the main strategy for overcoming such issues. Nevertheless, particularly challenging β-lactamases, such as OXA-48, pose the need for novel and effective treatments. Herein, we describe the screening of a proprietary compound collection against OXA-48, leading to the identification of several chemotypes, like the 4-ideneamino-4H-1,2,4-triazole (SC_2) and pyrazolo[3,4-b]pyridine (SC_7) cores as potential inhibitors. Importantly, the most potent representative of the latter series (ID2, AC = 0.99 μM) inhibited OXA-48 via a reversible and competitive mechanism of action, as demonstrated by biochemical and X-ray studies; furthermore, it slightly improved imipenem's activity in ATCC BAA-2523 β-lactam resistant strain. Also, showed good solubility and no sign of toxicity up to the highest tested concentration, resulting in a promising starting point for further optimization programs toward novel and effective non-β-lactam BLIs.

摘要

细菌对β-内酰胺类药物产生耐药性的主要原因是水解β-内酰胺酶的产生。如今,β-内酰胺类抗生素与β-内酰胺酶抑制剂(BLIs)联合使用是克服此类问题的主要策略。然而,一些特别具有挑战性的β-内酰胺酶,如OXA-48,使得人们需要新的有效治疗方法。在此,我们描述了针对OXA-48对一种专利化合物库的筛选,从而鉴定出几种化学类型,如4-亚氨基-4H-1,2,4-三唑(SC_2)和吡唑并[3,4-b]吡啶(SC_7)核心作为潜在抑制剂。重要的是,后一系列中最有效的代表物(ID2,AC = 0.99 μM)通过可逆和竞争性作用机制抑制OXA-48,生化和X射线研究证明了这一点;此外,它在ATCC BAA-2523β-内酰胺耐药菌株中略微提高了亚胺培南的活性。另外,在最高测试浓度下,它显示出良好的溶解性且无毒性迹象,这为进一步优化新型有效非β-内酰胺类BLIs的研发方案提供了一个有前景的起点。

https://cdn.ncbi.nlm.nih.gov/pmc/blobs/6190/8308845/f970842a83d6/pharmaceuticals-14-00612-g001.jpg

文献AI研究员

20分钟写一篇综述,助力文献阅读效率提升50倍。

立即体验

用中文搜PubMed

大模型驱动的PubMed中文搜索引擎

马上搜索

文档翻译

学术文献翻译模型,支持多种主流文档格式。

立即体验