Suppr超能文献

手部动作想象的成功取决于人格特质、大脑不对称性和利手程度。

Success of Hand Movement Imagination Depends on Personality Traits, Brain Asymmetry, and Degree of Handedness.

作者信息

Bobrova Elena V, Reshetnikova Varvara V, Vershinina Elena A, Grishin Alexander A, Bobrov Pavel D, Frolov Alexander A, Gerasimenko Yury P

机构信息

Pavlov Institute of Physiology of the Russian Academy of Sciences, 199034 Saint-Petersburg, Russia.

Institute of Translational Medicine of Pirogov of Russian National Research Medical University, 117997 Moscow, Russia.

出版信息

Brain Sci. 2021 Jun 25;11(7):853. doi: 10.3390/brainsci11070853.

Abstract

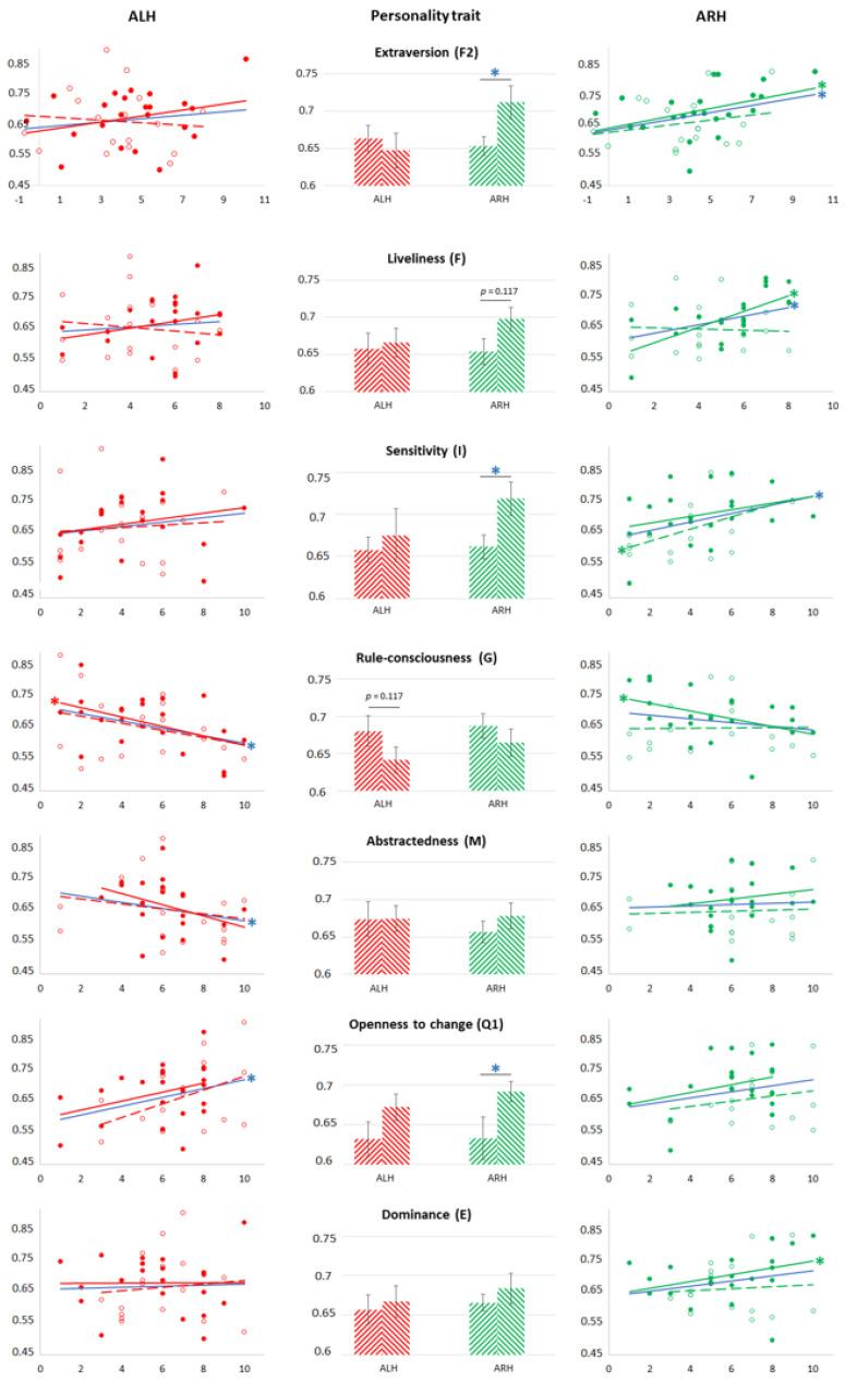
Brain-computer interfaces (BCIs), based on motor imagery, are increasingly used in neurorehabilitation. However, some people cannot control BCI, predictors of this are the features of brain activity and personality traits. It is not known whether the success of BCI control is related to interhemispheric asymmetry. The study was conducted on 44 BCI-naive subjects and included one BCI session, EEG-analysis, 16PF Cattell Questionnaire, estimation of latent left-handedness, and of subjective complexity of real and imagery movements. The success of brain states recognition during imagination of left hand (LH) movement compared to the rest is higher in reserved, practical, skeptical, and not very sociable individuals. Extraversion, liveliness, and dominance are significant for the imagination of right hand (RH) movements in "pure" right-handers, and sensitivity in latent left-handers. Subjective complexity of real LH and of imagery RH movements correlates with the success of brain states recognition in the imagination of movement of LH compared to RH and depends on the level of handedness. Thus, the level of handedness is the factor influencing the success of BCI control. The data are supposed to be connected with hemispheric differences in motor control, lateralization of dopamine, and may be important for rehabilitation of patients after a stroke.

摘要

基于运动想象的脑机接口(BCI)在神经康复中的应用越来越广泛。然而,有些人无法控制BCI,其预测因素包括大脑活动特征和人格特质。目前尚不清楚BCI控制的成功与否是否与半球间不对称有关。该研究对44名未接触过BCI的受试者进行,包括一次BCI实验、脑电图分析、卡特尔16种人格因素问卷、潜在左利手评估以及真实运动和想象运动的主观复杂性评估。在想象左手(LH)运动时,与休息状态相比,在保守、务实、多疑且不太善于社交的个体中,大脑状态识别的成功率更高。在“纯”右利手个体中,外向性、活泼性和支配性对想象右手(RH)运动很重要,而在潜在左利手个体中,敏感性很重要。真实LH运动和想象RH运动的主观复杂性与想象LH运动时大脑状态识别的成功率相关,且取决于利手程度。因此,利手程度是影响BCI控制成功与否的因素。这些数据可能与运动控制中的半球差异、多巴胺的侧化有关,对中风后患者的康复可能具有重要意义。

https://cdn.ncbi.nlm.nih.gov/pmc/blobs/c4f1/8301954/6b33860b060e/brainsci-11-00853-g0A1.jpg

相似文献

2
Interhemispheric Asymmetry and Personality Traits of Brain-Computer Interface Users in Hand Movement Imagination.
Dokl Biol Sci. 2020 Nov;495(1):265-267. doi: 10.1134/S0012496620060010. Epub 2021 Jan 24.
3
Different oscillatory entrainment of cortical networks during motor imagery and neurofeedback in right and left handers.
Neuroimage. 2019 Jul 15;195:190-202. doi: 10.1016/j.neuroimage.2019.03.067. Epub 2019 Apr 2.
4
5
Dependence of Brain-Computer Interface Control Training on Personality Traits.
Dokl Biochem Biophys. 2022 Dec;507(1):273-277. doi: 10.1134/S1607672922060035. Epub 2023 Feb 14.
6
Vividness of Visual Imagery and Personality Impact Motor-Imagery Brain Computer Interfaces.
Front Hum Neurosci. 2021 Apr 6;15:634748. doi: 10.3389/fnhum.2021.634748. eCollection 2021.
7
Handedness effects on motor imagery during kinesthetic and visual-motor conditions.
Sci Rep. 2021 Jun 23;11(1):13112. doi: 10.1038/s41598-021-92467-7.
8
EEG-based classification of imaginary left and right foot movements using beta rebound.
Clin Neurophysiol. 2013 Nov;124(11):2153-60. doi: 10.1016/j.clinph.2013.05.006. Epub 2013 Jun 10.
9
[Brain-computer interface-based motor imagery training for patients with neurological movement disorders].
Zh Nevrol Psikhiatr Im S S Korsakova. 2018;118(9. Vyp. 2):63-68. doi: 10.17116/jnevro201811809263.
10
Motor Imagery Hand Movement Direction Decoding Using Brain Computer Interface to Aid Stroke Recovery and Rehabilitation.
IEEE Trans Neural Syst Rehabil Eng. 2020 Dec;28(12):3051-3062. doi: 10.1109/TNSRE.2020.3039331. Epub 2021 Jan 28.

引用本文的文献

1
Brain-Computer Interfaces for Upper Limb Motor Recovery after Stroke: Current Status and Development Prospects (Review).
Sovrem Tekhnologii Med. 2023;15(6):63-73. doi: 10.17691/stm2023.15.6.07. Epub 2023 Dec 27.
2
Implicit motor imagery: examining motor vs. visual strategies in laterality judgments among older adults.
Front Psychol. 2024 Oct 2;15:1445152. doi: 10.3389/fpsyg.2024.1445152. eCollection 2024.
3
The Future of Neurorehabilitation: Putting the Brain and Body Together Again.
Brain Sci. 2023 Nov 22;13(12):1617. doi: 10.3390/brainsci13121617.
4
Dependence of Brain-Computer Interface Control Training on Personality Traits.
Dokl Biochem Biophys. 2022 Dec;507(1):273-277. doi: 10.1134/S1607672922060035. Epub 2023 Feb 14.

本文引用的文献

1
Interhemispheric Asymmetry and Personality Traits of Brain-Computer Interface Users in Hand Movement Imagination.
Dokl Biol Sci. 2020 Nov;495(1):265-267. doi: 10.1134/S0012496620060010. Epub 2021 Jan 24.
2
Brain-computer interface robotics for hand rehabilitation after stroke: a systematic review.
J Neuroeng Rehabil. 2021 Jan 23;18(1):15. doi: 10.1186/s12984-021-00820-8.
4
Review on motor imagery based BCI systems for upper limb post-stroke neurorehabilitation: From designing to application.
Comput Biol Med. 2020 Aug;123:103843. doi: 10.1016/j.compbiomed.2020.103843. Epub 2020 Jun 7.
5
A large scale screening study with a SMR-based BCI: Categorization of BCI users and differences in their SMR activity.
PLoS One. 2019 Jan 25;14(1):e0207351. doi: 10.1371/journal.pone.0207351. eCollection 2019.
6
Electrical, Hemodynamic, and Motor Activity in BCI Post-stroke Rehabilitation: Clinical Case Study.
Front Neurol. 2018 Dec 20;9:1135. doi: 10.3389/fneur.2018.01135. eCollection 2018.
9
Bernstein's levels of movement construction: A contemporary perspective.
Hum Mov Sci. 2018 Feb;57:111-133. doi: 10.1016/j.humov.2017.11.013. Epub 2017 Dec 1.
10
Performance predictors of motor imagery brain-computer interface based on spatial abilities for upper limb rehabilitation.
Annu Int Conf IEEE Eng Med Biol Soc. 2017 Jul;2017:1014-1017. doi: 10.1109/EMBC.2017.8036998.

文献AI研究员

20分钟写一篇综述,助力文献阅读效率提升50倍。

立即体验

用中文搜PubMed

大模型驱动的PubMed中文搜索引擎

马上搜索

文档翻译

学术文献翻译模型,支持多种主流文档格式。

立即体验