Suppr超能文献

双链阳离子表面活性剂:溶胀、结构、相转变和添加剂效应。

Double-Chain Cationic Surfactants: Swelling, Structure, Phase Transitions and Additive Effects.

机构信息

School of Materials Science and Engineering, Nanyang Technological University, Singapore 639798, Singapore.

Centre for Chemistry and Chemical Engineering, Department of Chemistry, Division of Physical Chemistry, Lund University, SE-221 00 Lund, Sweden.

出版信息

Molecules. 2021 Jun 28;26(13):3946. doi: 10.3390/molecules26133946.

Abstract

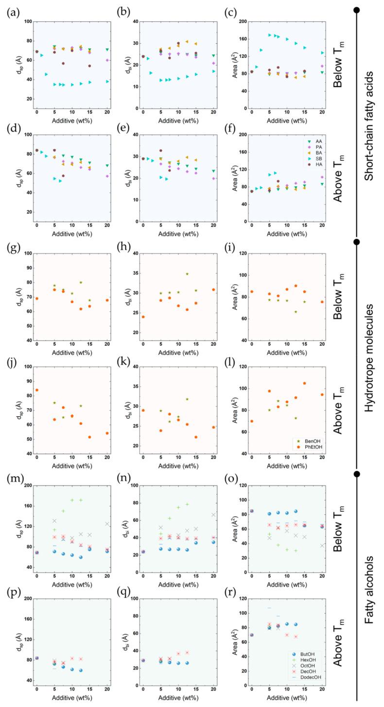
Double-chain amphiphilic compounds, including surfactants and lipids, have broad significance in applications like personal care and biology. A study on the phase structures and their transitions focusing on dioctadecyldimethylammonium chloride (DODAC), used inter alia in hair conditioners, is presented. The phase behaviour is dominated by two bilayer lamellar phases, L and L, with "solid" and "melted" alkyl chains, respectively. In particular, the study is focused on the effect of additives of different polarity on the phase transitions and structures. The main techniques used for investigation were differential scanning calorimetry (DSC) and small- and wide-angle X-ray scattering (SAXS and WAXS). From the WAXS reflections, the distance between the alkyl chains in the bilayers was obtained, and from SAXS, the thicknesses of the surfactant and water layers. The L phase was found to have a bilayer structure, generally found for most surfactants; a L phase made up of bilayers with considerable chain tilting and interdigitation was also identified. Depending mainly on the polarity of the additives, their effects on the phase stabilities and structure vary. Compounds like urea have no significant effect, while fatty acids and fatty alcohols have significant effects, but which are quite different depending on the nonpolar part. In most cases, L and L phases exist over wide composition ranges; certain additives induce transitions to other phases, which include cubic, reversed hexagonal liquid crystals and bicontinuous liquid phases. For a system containing additives, which induce a significant lowering of the L-L transition, we identified the possibility of a triggered phase transition via dilution with water.

摘要

双链两亲化合物,包括表面活性剂和脂质,在个人护理和生物学等应用中具有广泛的意义。本研究聚焦于二油基二甲基氯化铵(DODAC)的相结构及其转变,DODAC 除了用于护发素,还用于其他用途。该相行为主要由两个双层片状相 L 和 L 主导,分别具有“固态”和“熔融”的烷基链。特别是,本研究重点关注了不同极性添加剂对相转变和结构的影响。主要的研究技术包括差示扫描量热法(DSC)和小角及广角 X 射线散射(SAXS 和 WAXS)。从 WAXS 反射中,可以获得双层中烷基链之间的距离,而从 SAXS 中,可以获得表面活性剂和水层的厚度。发现 L 相具有双层结构,这通常是大多数表面活性剂的结构;还确定了由双层组成的 L 相,其中链有较大的倾斜和交错。主要取决于添加剂的极性,它们对相稳定性和结构的影响也不同。例如,尿素没有显著影响,而脂肪酸和脂肪醇则有显著影响,但具体取决于非极性部分,影响也有所不同。在大多数情况下,L 和 L 相存在于较宽的组成范围内;某些添加剂会诱导向其他相转变,包括立方、反相六方液晶和双连续液相。对于含有添加剂的体系,添加剂会显著降低 L-L 转变,我们通过用水稀释确定了引发相转变的可能性。

https://cdn.ncbi.nlm.nih.gov/pmc/blobs/b463/8271693/f79703d9b2fc/molecules-26-03946-g001.jpg

文献检索

告别复杂PubMed语法,用中文像聊天一样搜索,搜遍4000万医学文献。AI智能推荐,让科研检索更轻松。

立即免费搜索

文件翻译

保留排版,准确专业,支持PDF/Word/PPT等文件格式,支持 12+语言互译。

免费翻译文档

深度研究

AI帮你快速写综述,25分钟生成高质量综述,智能提取关键信息,辅助科研写作。

立即免费体验