• 文献检索
  • 文档翻译
  • 深度研究
  • 学术资讯
  • Suppr Zotero 插件Zotero 插件
  • 邀请有礼
  • 套餐&价格
  • 历史记录
应用&插件
Suppr Zotero 插件Zotero 插件浏览器插件Mac 客户端Windows 客户端微信小程序
定价
高级版会员购买积分包购买API积分包
服务
文献检索文档翻译深度研究API 文档MCP 服务
关于我们
关于 Suppr公司介绍联系我们用户协议隐私条款
关注我们

Suppr 超能文献

核心技术专利:CN118964589B侵权必究
粤ICP备2023148730 号-1Suppr @ 2026

文献检索

告别复杂PubMed语法,用中文像聊天一样搜索,搜遍4000万医学文献。AI智能推荐,让科研检索更轻松。

立即免费搜索

文件翻译

保留排版,准确专业,支持PDF/Word/PPT等文件格式,支持 12+语言互译。

免费翻译文档

深度研究

AI帮你快速写综述,25分钟生成高质量综述,智能提取关键信息,辅助科研写作。

立即免费体验

聚酰胺6上非晶态氢化碳(a-C:H)的等离子体辅助沉积:确定层生长过程中的中间层完整性和脱氢效应

Plasma Supported Deposition of Amorphous Hydrogenated Carbon (a-C:H) on Polyamide 6: Determining Interlayer Completion and Dehydrogenation Effects during Layer Growth.

作者信息

Schlebrowski Torben, Lüber Henriette, Beucher Lucas, Fritz Melanie, Benjillali Youssef, Bentaouit Mohammed, Hahn Barbara, Wehner Stefan, Fischer Christian B

机构信息

Department of Physics, University Koblenz-Landau, 56070 Koblenz, Germany.

Department of Material Analysis, RheinAhrCampus, University of Applied Sciences, 53424 Remagen, Germany.

出版信息

Polymers (Basel). 2021 Jun 6;13(11):1886. doi: 10.3390/polym13111886.

DOI:10.3390/polym13111886
PMID:34204089
原文链接:https://pmc.ncbi.nlm.nih.gov/articles/PMC8201342/
Abstract

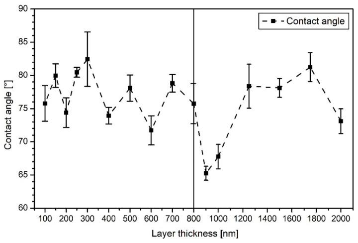
Polyamide 6 (PA6) is a commonly used material in many different sectors of modern industry. Herein, PA6 samples were coated with amorphous carbon layers (a-C:H) with increasing thickness up to 2 µm using radio frequency plasma enhanced chemical vapor deposition for surface adjustment. The morphology of the carbon coatings was inspected by ex situ atomic force microscopy and scanning electron microscopy. Surface wettability was checked by contact angle measurements. The chemical composition was analyzed using the surface sensitive synchrotron X-ray-based techniques near-edge X-ray absorption fine structure and X-ray photoelectron spectroscopy, supported by diffuse reflectance infrared Fourier transform spectroscopy. Particular attention was paid to the coating interval from 0 to 100 nm, to specify the interlayer thickness between the PA6 polymer and a-C:H coating, and the region between 1000 and 2000 nm, where dehydrogenation of the a-C:H layer occurs. The interlayer is decisive for the linkage of the deposited carbon layer on the polymer: the more pronounced it is, the better the adhesion. The thickness of the interlayer could be narrowed down to 40 nm in all used methods, and the dehydrogenation process takes place at a layer thickness of 1500 nm.

摘要

聚酰胺6(PA6)是现代工业许多不同领域中常用的材料。在此,使用射频等离子体增强化学气相沉积法对PA6样品进行非晶碳层(a-C:H)涂层处理,涂层厚度增加至2 µm,以进行表面调整。通过非原位原子力显微镜和扫描电子显微镜检查碳涂层的形态。通过接触角测量检查表面润湿性。使用基于表面敏感同步加速器X射线的近边X射线吸收精细结构和X射线光电子能谱技术分析化学成分,并辅以漫反射红外傅里叶变换光谱法。特别关注0至100 nm的涂层间隔,以确定PA6聚合物与a-C:H涂层之间的中间层厚度,以及1000至2000 nm的区域,该区域会发生a-C:H层的脱氢反应。中间层对于沉积在聚合物上的碳层的连接起决定性作用:中间层越明显,附着力越好。在所有使用的方法中,中间层的厚度可缩小至40 nm,脱氢过程在1500 nm的层厚度时发生。

https://cdn.ncbi.nlm.nih.gov/pmc/blobs/c2d4/8201342/694cd2111d0d/polymers-13-01886-g010.jpg
https://cdn.ncbi.nlm.nih.gov/pmc/blobs/c2d4/8201342/522b0144fba4/polymers-13-01886-g001.jpg
https://cdn.ncbi.nlm.nih.gov/pmc/blobs/c2d4/8201342/7315f72d1f97/polymers-13-01886-g002.jpg
https://cdn.ncbi.nlm.nih.gov/pmc/blobs/c2d4/8201342/e7380b897c9d/polymers-13-01886-g003.jpg
https://cdn.ncbi.nlm.nih.gov/pmc/blobs/c2d4/8201342/91db660f1b7c/polymers-13-01886-g004.jpg
https://cdn.ncbi.nlm.nih.gov/pmc/blobs/c2d4/8201342/3059e18de598/polymers-13-01886-g005.jpg
https://cdn.ncbi.nlm.nih.gov/pmc/blobs/c2d4/8201342/753bf5d81436/polymers-13-01886-g006.jpg
https://cdn.ncbi.nlm.nih.gov/pmc/blobs/c2d4/8201342/b76bdb1174ec/polymers-13-01886-g007.jpg
https://cdn.ncbi.nlm.nih.gov/pmc/blobs/c2d4/8201342/0bd2b67c37c7/polymers-13-01886-g008.jpg
https://cdn.ncbi.nlm.nih.gov/pmc/blobs/c2d4/8201342/2e528f8dfb2f/polymers-13-01886-g009.jpg
https://cdn.ncbi.nlm.nih.gov/pmc/blobs/c2d4/8201342/694cd2111d0d/polymers-13-01886-g010.jpg
https://cdn.ncbi.nlm.nih.gov/pmc/blobs/c2d4/8201342/522b0144fba4/polymers-13-01886-g001.jpg
https://cdn.ncbi.nlm.nih.gov/pmc/blobs/c2d4/8201342/7315f72d1f97/polymers-13-01886-g002.jpg
https://cdn.ncbi.nlm.nih.gov/pmc/blobs/c2d4/8201342/e7380b897c9d/polymers-13-01886-g003.jpg
https://cdn.ncbi.nlm.nih.gov/pmc/blobs/c2d4/8201342/91db660f1b7c/polymers-13-01886-g004.jpg
https://cdn.ncbi.nlm.nih.gov/pmc/blobs/c2d4/8201342/3059e18de598/polymers-13-01886-g005.jpg
https://cdn.ncbi.nlm.nih.gov/pmc/blobs/c2d4/8201342/753bf5d81436/polymers-13-01886-g006.jpg
https://cdn.ncbi.nlm.nih.gov/pmc/blobs/c2d4/8201342/b76bdb1174ec/polymers-13-01886-g007.jpg
https://cdn.ncbi.nlm.nih.gov/pmc/blobs/c2d4/8201342/0bd2b67c37c7/polymers-13-01886-g008.jpg
https://cdn.ncbi.nlm.nih.gov/pmc/blobs/c2d4/8201342/2e528f8dfb2f/polymers-13-01886-g009.jpg
https://cdn.ncbi.nlm.nih.gov/pmc/blobs/c2d4/8201342/694cd2111d0d/polymers-13-01886-g010.jpg

相似文献

1
Plasma Supported Deposition of Amorphous Hydrogenated Carbon (a-C:H) on Polyamide 6: Determining Interlayer Completion and Dehydrogenation Effects during Layer Growth.聚酰胺6上非晶态氢化碳(a-C:H)的等离子体辅助沉积:确定层生长过程中的中间层完整性和脱氢效应
Polymers (Basel). 2021 Jun 6;13(11):1886. doi: 10.3390/polym13111886.
2
Refinement of Sustainable Polybutylene Adipate Terephthalate (PBAT) with Amorphous Hydrogenated Carbon Films (a-C:H) Revealing Film Instabilities Influenced by a Thickness-Dependent Change of sp/sp Ratio.
Materials (Basel). 2020 Feb 28;13(5):1077. doi: 10.3390/ma13051077.
3
Comparing the Influence of Residual Stress on Composite Materials Made of Polyhydroxybutyrate (PHB) and Amorphous Hydrogenated Carbon (a-C:H) Layers: Differences Caused by Single Side and Full Substrate Film Attachment during Plasma Coating.
Polymers (Basel). 2021 Jan 6;13(2):184. doi: 10.3390/polym13020184.
4
Morphological and Chemical Evolution of Gradually Deposited Diamond-Like Carbon Films on Polyethylene Terephthalate: From Subplantation Processes to Structural Reorganization by Intrinsic Stress Release Phenomena.聚对苯二甲酸乙二酯上逐渐沉积的类金刚石碳膜的形态学和化学演化:从亚植入过程到通过内应力释放现象进行的结构重组
ACS Appl Mater Interfaces. 2016 Apr 27;8(16):10636-46. doi: 10.1021/acsami.6b02113. Epub 2016 Apr 14.
5
Substrate Bias Voltage Tailoring the Interfacial Chemistry of a-SiC :H: A Surprising Improvement in Adhesion of a-C:H Thin Films Deposited on Ferrous Alloys Controlled by Oxygen.衬底偏置电压对a-SiC:H界面化学的调控:对在氧气控制下沉积在铁合金上的a-C:H薄膜附着力的惊人改善。
ACS Appl Mater Interfaces. 2019 May 15;11(19):18024-18033. doi: 10.1021/acsami.9b03597. Epub 2019 May 1.
6
Ruthenium interlayer as diffusion barrier under carbon overcoat in magnetic recording media.钌中间层作为磁记录介质中碳涂层下的扩散阻挡层。
J Nanosci Nanotechnol. 2008 May;8(5):2613-7.
7
Metal (Ag/Ti)-Containing Hydrogenated Amorphous Carbon Nanocomposite Films with Enhanced Nanoscratch Resistance: Hybrid PECVD/PVD System and Microstructural Characteristics.具有增强纳米划痕抗性的含金属(银/钛)氢化非晶碳纳米复合薄膜:混合PECVD/PVD系统及微观结构特征
Nanomaterials (Basel). 2018 Mar 30;8(4):209. doi: 10.3390/nano8040209.
8
Physical properties of ultrafast deposited micro- and nanothickness amorphous hydrogenated carbon films for medical devices and prostheses.用于医疗设备和假体的超快沉积微米和纳米厚度非晶氢化碳薄膜的物理性质
Proc Inst Mech Eng H. 2007 Feb;221(2):161-72. doi: 10.1243/09544119JEIM149.
9
Effects of interfacial layer wettability and thickness on the coating morphology and sirolimus release for drug-eluting stent.界面层润湿性和厚度对药物洗脱支架涂层形态及西罗莫司释放的影响
J Colloid Interface Sci. 2015 Dec 15;460:189-99. doi: 10.1016/j.jcis.2015.08.051. Epub 2015 Aug 24.
10
Adhesion Studies of CrC/a-C:H Coatings Deposited with Anode Assisted Reactive Magnetron Sputtering Combined with DC-Pulsed Plasma Enhanced Chemical Vapor Deposition.采用阳极辅助反应磁控溅射与直流脉冲等离子体增强化学气相沉积相结合的方法制备CrC/a-C:H涂层的附着力研究
Materials (Basel). 2021 May 30;14(11):2954. doi: 10.3390/ma14112954.

引用本文的文献

1
From Basics to Frontiers: A Comprehensive Review of Plasma-Modified and Plasma-Synthesized Polymer Films.从基础到前沿:等离子体改性与等离子体合成聚合物薄膜综述
Polymers (Basel). 2023 Aug 30;15(17):3607. doi: 10.3390/polym15173607.
2
Effects of MWCNTs on Char Layer Structure and Physicochemical Reaction in Ethylene Propylene Diene Monomer Insulators.多壁碳纳米管对三元乙丙橡胶绝缘子中炭层结构及物理化学反应的影响
Polymers (Basel). 2022 Jul 26;14(15):3016. doi: 10.3390/polym14153016.
3
Polymer Dynamics: Bulk and Nanoconfined Polymers.聚合物动力学:本体与纳米受限聚合物

本文引用的文献

1
Refinement of Sustainable Polybutylene Adipate Terephthalate (PBAT) with Amorphous Hydrogenated Carbon Films (a-C:H) Revealing Film Instabilities Influenced by a Thickness-Dependent Change of sp/sp Ratio.
Materials (Basel). 2020 Feb 28;13(5):1077. doi: 10.3390/ma13051077.
2
Morphological and Chemical Evolution of Gradually Deposited Diamond-Like Carbon Films on Polyethylene Terephthalate: From Subplantation Processes to Structural Reorganization by Intrinsic Stress Release Phenomena.聚对苯二甲酸乙二酯上逐渐沉积的类金刚石碳膜的形态学和化学演化:从亚植入过程到通过内应力释放现象进行的结构重组
ACS Appl Mater Interfaces. 2016 Apr 27;8(16):10636-46. doi: 10.1021/acsami.6b02113. Epub 2016 Apr 14.
3
Adlayers of dimannoside thiols on gold: surface chemical analysis.金表面上二甘露硫醇的自组装膜:表面化学分析。
Polymers (Basel). 2022 Mar 22;14(7):1271. doi: 10.3390/polym14071271.
Langmuir. 2011 Apr 19;27(8):4808-15. doi: 10.1021/la104038q. Epub 2011 Mar 21.
4
Applications and societal benefits of plastics.塑料的应用及社会效益。
Philos Trans R Soc Lond B Biol Sci. 2009 Jul 27;364(1526):1977-84. doi: 10.1098/rstb.2008.0304.
5
Identification and migration of degradation compounds from irradiation of multilayer polyamide 6 films for meat foodstuffs and cheese.肉类食品和奶酪多层聚酰胺6薄膜辐照降解产物的鉴定与迁移
Anal Bioanal Chem. 2008 Jun;391(3):847-57. doi: 10.1007/s00216-008-1893-3. Epub 2008 Feb 12.
6
Water contact angles and hysteresis of polyamide surfaces.聚酰胺表面的水接触角和滞后现象。
J Colloid Interface Sci. 2002 Apr 1;248(1):136-42. doi: 10.1006/jcis.2001.8172.