Suppr超能文献

具有轴向激励的双端夹紧柔性压电能量收集器的解析建模及其实验表征

Analytical Modeling of a Doubly Clamped Flexible Piezoelectric Energy Harvester with Axial Excitation and Its Experimental Characterization.

作者信息

Mei Jie, Fan Qiong, Li Lijie, Chen Dingfang, Xu Lin, Dai Qingyang, Liu Qi

机构信息

Institute of Intelligent Manufacturing and Control, Wuhan University of Technology, Wuhan 430063, China.

College of Engineering, Swansea University, Swansea SA1 8EN, UK.

出版信息

Sensors (Basel). 2021 Jun 3;21(11):3861. doi: 10.3390/s21113861.

Abstract

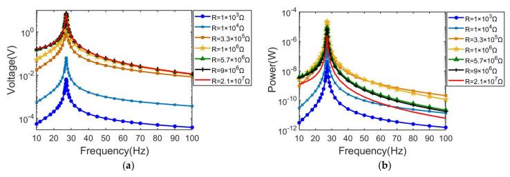
With the rapid development of wearable electronics, novel power solutions are required to adapt to flexible surfaces for widespread applications, thus flexible energy harvesters have been extensively studied for their flexibility and stretchability. However, poor power output and insufficient sensitivity to environmental changes limit its widespread application in engineering practice. A doubly clamped flexible piezoelectric energy harvester (FPEH) with axial excitation is therefore proposed for higher power output in a low-frequency vibration environment. Combining the Euler-Bernoulli beam theory and the D'Alembert principle, the differential dynamic equation of the doubly clamped energy harvester is derived, in which the excitation mode of axial load with pre-deformation is considered. A numerical solution of voltage amplitude and average power is obtained using the Rayleigh-Ritz method. Output power of 22.5 μW at 27.1 Hz, with the optimal load resistance being 1 MΩ, is determined by the frequency sweeping analysis. In order to power electronic devices, the converted alternating electric energy should be rectified into direct current energy. By connecting to the MDA2500 standard rectified electric bridge, a rectified DC output voltage across the 1 MΩ load resistor is characterized to be 2.39 V. For further validation of the mechanical-electrical dynamical model of the doubly clamped flexible piezoelectric energy harvester, its output performances, including both its frequency response and resistance load matching performances, are experimentally characterized. From the experimental results, the maximum output power is 1.38 μW, with a load resistance of 5.7 MΩ at 27 Hz, and the rectified DC output voltage reaches 1.84 V, which shows coincidence with simulation results and is proved to be sufficient for powering LED electronics.

摘要

随着可穿戴电子设备的快速发展,需要新颖的电源解决方案来适应柔性表面以实现广泛应用,因此柔性能量采集器因其灵活性和可拉伸性而受到广泛研究。然而,功率输出不佳以及对环境变化的敏感度不足限制了其在工程实践中的广泛应用。因此,提出了一种具有轴向激励的双端夹紧柔性压电能量采集器(FPEH),以在低频振动环境中实现更高的功率输出。结合欧拉 - 伯努利梁理论和达朗贝尔原理,推导了双端夹紧能量采集器的微分动力学方程,其中考虑了具有预变形的轴向载荷激励模式。使用瑞利 - 里兹法获得了电压幅值和平均功率的数值解。通过扫频分析确定,在27.1Hz时输出功率为22.5μW,最佳负载电阻为1MΩ。为了给电子设备供电,转换后的交流电应整流为直流电。通过连接到MDA2500标准整流电桥,表征了1MΩ负载电阻两端的整流直流输出电压为2.39V。为了进一步验证双端夹紧柔性压电能量采集器的机电动力学模型,对其输出性能进行了实验表征,包括频率响应和电阻负载匹配性能。从实验结果来看,最大输出功率为1.38μW,在27Hz时负载电阻为5.7MΩ,整流直流输出电压达到1.84V,这与仿真结果相符,并被证明足以驱动LED电子设备。

https://cdn.ncbi.nlm.nih.gov/pmc/blobs/355e/8199891/a0ff77460e27/sensors-21-03861-g001.jpg

文献AI研究员

20分钟写一篇综述,助力文献阅读效率提升50倍。

立即体验

用中文搜PubMed

大模型驱动的PubMed中文搜索引擎

马上搜索

文档翻译

学术文献翻译模型,支持多种主流文档格式。

立即体验