• 文献检索
  • 文档翻译
  • 深度研究
  • 学术资讯
  • Suppr Zotero 插件Zotero 插件
  • 邀请有礼
  • 套餐&价格
  • 历史记录
应用&插件
Suppr Zotero 插件Zotero 插件浏览器插件Mac 客户端Windows 客户端微信小程序
定价
高级版会员购买积分包购买API积分包
服务
文献检索文档翻译深度研究API 文档MCP 服务
关于我们
关于 Suppr公司介绍联系我们用户协议隐私条款
关注我们

Suppr 超能文献

核心技术专利:CN118964589B侵权必究
粤ICP备2023148730 号-1Suppr @ 2026

文献检索

告别复杂PubMed语法,用中文像聊天一样搜索,搜遍4000万医学文献。AI智能推荐,让科研检索更轻松。

立即免费搜索

文件翻译

保留排版,准确专业,支持PDF/Word/PPT等文件格式,支持 12+语言互译。

免费翻译文档

深度研究

AI帮你快速写综述,25分钟生成高质量综述,智能提取关键信息,辅助科研写作。

立即免费体验

基于卤代硫醚和天然产物的硫环官能化反应实现新型功能化有机硫族化合物的区域选择性合成。

A Regioselective Synthesis of Novel Functionalized Organochalcogen Compounds by Chalcogenocyclofunctionalization Reactions Based on Chalcogen Halides and Natural Products.

机构信息

A. E. Favorsky Irkutsk Institute of Chemistry, Siberian Division of The Russian Academy of Sciences, 1 Favorsky Str., 664033 Irkutsk, Russia.

出版信息

Molecules. 2021 Jun 18;26(12):3729. doi: 10.3390/molecules26123729.

DOI:10.3390/molecules26123729
PMID:34207301
原文链接:https://pmc.ncbi.nlm.nih.gov/articles/PMC8234429/
Abstract

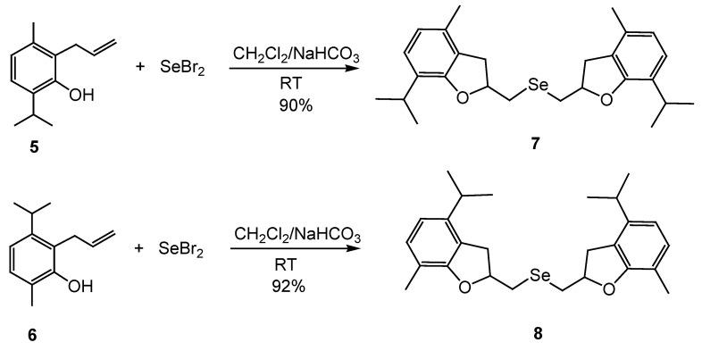
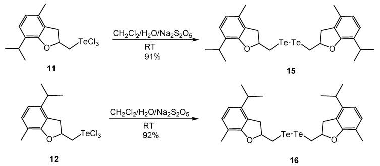
The regioselective synthesis of novel functionalized condensed organochalcogen compounds by chalcogenocyclofunctionalization reactions based on chalcogen halides and the natural products thymol and carvacrol has been developed. The reactions of selenium dibromide with allyl thymol and allyl carvacrol proceeded in methylene chloride at room temperature in the presence of NaHCO affording bis[(7-isopropyl-4-methyl-2,3-dihydro-1-benzofuran-2-yl)methyl] and bis[(4-isopropyl-7-methyl-2,3-dihydro-1-benzofuran-2-yl)methyl] selenides in 90-92% yield. Similar sulfides were obtained in 70-72% yields by the reaction of sulfur dichloride in chloroform under reflux. Trihalotellanes containing the same organic moieties were synthesized from allyl thymol, allyl carvacrol and tellurium tetrachloride or tetrabromide in quantitative yields. Corresponding functionalized ditellurides were prepared in 91-92% yields by the reduction of the trichlorotellanes with sodium metabisulfite in two-phase solvent system. The comparison of reactivity of sulfur, selenium and tellurium halides in chalcogenocyclofunctionalization and distinguishing features of each reaction were discussed.

摘要

新型功能化稠合有机硫化合物的区域选择性合成 通过基于卤代硫和天然产物百里酚和香芹酚的硫环官能化反应 已经开发出来。二溴化硒与烯丙基百里酚和烯丙基香芹酚在室温下在碳酸氢钠存在下在二氯甲烷中反应,以 90-92%的产率得到双[(7-异丙基-4-甲基-2,3-二氢-1-苯并呋喃-2-基)甲基]和双[(4-异丙基-7-甲基-2,3-二氢-1-苯并呋喃-2-基)甲基]硒醚。类似的硫醚通过回流氯仿中二氯化硫的反应以 70-72%的产率获得。含有相同有机部分的三卤代碲烷从烯丙基百里酚、烯丙基香芹酚和四氯化碲或四溴化碲以定量产率合成。用亚硫酸钠在两相溶剂体系中还原三氯化碲烷,以 91-92%的产率制备相应的功能化二碲化物。讨论了卤代硫、硒和碲在硫环官能化中的反应性比较以及每个反应的区别特征。

https://cdn.ncbi.nlm.nih.gov/pmc/blobs/8952/8234429/5932fcabf2b4/molecules-26-03729-sch008.jpg
https://cdn.ncbi.nlm.nih.gov/pmc/blobs/8952/8234429/9bbef9e82f54/molecules-26-03729-g001.jpg
https://cdn.ncbi.nlm.nih.gov/pmc/blobs/8952/8234429/49cc60cabaa7/molecules-26-03729-sch001.jpg
https://cdn.ncbi.nlm.nih.gov/pmc/blobs/8952/8234429/3f3bfbb2293d/molecules-26-03729-sch002.jpg
https://cdn.ncbi.nlm.nih.gov/pmc/blobs/8952/8234429/2ce65f03a6d7/molecules-26-03729-sch003.jpg
https://cdn.ncbi.nlm.nih.gov/pmc/blobs/8952/8234429/734041547a80/molecules-26-03729-sch004.jpg
https://cdn.ncbi.nlm.nih.gov/pmc/blobs/8952/8234429/63e5ef67e5e1/molecules-26-03729-sch005.jpg
https://cdn.ncbi.nlm.nih.gov/pmc/blobs/8952/8234429/4f3ea12968f1/molecules-26-03729-sch006.jpg
https://cdn.ncbi.nlm.nih.gov/pmc/blobs/8952/8234429/ca294fbbb065/molecules-26-03729-sch007.jpg
https://cdn.ncbi.nlm.nih.gov/pmc/blobs/8952/8234429/5932fcabf2b4/molecules-26-03729-sch008.jpg
https://cdn.ncbi.nlm.nih.gov/pmc/blobs/8952/8234429/9bbef9e82f54/molecules-26-03729-g001.jpg
https://cdn.ncbi.nlm.nih.gov/pmc/blobs/8952/8234429/49cc60cabaa7/molecules-26-03729-sch001.jpg
https://cdn.ncbi.nlm.nih.gov/pmc/blobs/8952/8234429/3f3bfbb2293d/molecules-26-03729-sch002.jpg
https://cdn.ncbi.nlm.nih.gov/pmc/blobs/8952/8234429/2ce65f03a6d7/molecules-26-03729-sch003.jpg
https://cdn.ncbi.nlm.nih.gov/pmc/blobs/8952/8234429/734041547a80/molecules-26-03729-sch004.jpg
https://cdn.ncbi.nlm.nih.gov/pmc/blobs/8952/8234429/63e5ef67e5e1/molecules-26-03729-sch005.jpg
https://cdn.ncbi.nlm.nih.gov/pmc/blobs/8952/8234429/4f3ea12968f1/molecules-26-03729-sch006.jpg
https://cdn.ncbi.nlm.nih.gov/pmc/blobs/8952/8234429/ca294fbbb065/molecules-26-03729-sch007.jpg
https://cdn.ncbi.nlm.nih.gov/pmc/blobs/8952/8234429/5932fcabf2b4/molecules-26-03729-sch008.jpg

相似文献

1
A Regioselective Synthesis of Novel Functionalized Organochalcogen Compounds by Chalcogenocyclofunctionalization Reactions Based on Chalcogen Halides and Natural Products.基于卤代硫醚和天然产物的硫环官能化反应实现新型功能化有机硫族化合物的区域选择性合成。
Molecules. 2021 Jun 18;26(12):3729. doi: 10.3390/molecules26123729.
2
Microwave-assisted copper-catalyzed preparation of diaryl chalcogenides.微波辅助铜催化制备二芳基硫族化合物。
J Org Chem. 2006 Jul 7;71(14):5400-3. doi: 10.1021/jo060690a.
3
Selenium- and tellurium-containing fluorescent molecular probes for the detection of biologically important analytes.含硒和碲的荧光分子探针用于检测生物重要分析物。
Acc Chem Res. 2014 Oct 21;47(10):2985-98. doi: 10.1021/ar500187v. Epub 2014 Sep 23.
4
Synthesis of organochalcogen propargyl aryl ethers and their application in the electrophilic cyclization reaction: an efficient preparation of 3-halo-4-chalcogen-2H-benzopyrans.有机硫属元素炔丙基芳基醚的合成及其在亲电环化反应中的应用:3-卤代-4-硫属元素-2H-苯并吡喃的高效制备
J Org Chem. 2009 May 1;74(9):3469-77. doi: 10.1021/jo900307k.
5
Isosteric replacement of sulfur with other chalcogens in peptides and proteins.在肽和蛋白质中用其他硫族元素对等取代硫。
J Pept Sci. 2005 Apr;11(4):187-214. doi: 10.1002/psc.654.
6
Regenerable antioxidants-introduction of chalcogen substituents into tocopherols.可再生抗氧化剂——将硫属元素取代基引入生育酚
Chemistry. 2015 Feb 2;21(6):2447-57. doi: 10.1002/chem.201405895. Epub 2014 Dec 11.
7
[Syntheses and Reactions of Chalcogen-containing Heterocycles].[含硫属元素杂环的合成与反应]
Yakugaku Zasshi. 2016;136(6):841-71. doi: 10.1248/yakushi.15-00208.
8
Comparative study of E⋯N (E=Se/Te) intramolecular interactions in organochalcogen compounds using density functional theory.采用密度泛函理论对有机硫属化合物中 E⋯N(E=Se/Te)分子内相互作用的比较研究。
J Hazard Mater. 2014 Mar 30;269:2-8. doi: 10.1016/j.jhazmat.2013.12.041. Epub 2013 Dec 27.
9
Remarkable effect of chalcogen substitution on an enzyme mimetic for deiodination of thyroid hormones. 硫属元素取代对甲状腺激素脱碘酶模拟物的显著影响。
Angew Chem Int Ed Engl. 2015 Jun 22;54(26):7674-8. doi: 10.1002/anie.201502762. Epub 2015 May 12.
10
Copper-catalyzed C-H bond direct chalcogenation of aromatic compounds leading to diaryl sulfides, selenides, and diselenides by using elemental sulfur and selenium as chalcogen sources under oxidative conditions.在氧化条件下,以元素硫和硒作为硫族元素源,通过铜催化芳族化合物的C-H键直接硫族化反应制备二芳基硫醚、二芳基硒醚和二硒醚。
Chem Asian J. 2014 Jan;9(1):237-44. doi: 10.1002/asia.201300882. Epub 2013 Nov 4.

引用本文的文献

1
Synthesis and Characterization of Bio-based Polybenzoxazine Hybrids From Vanillin, Thymol, and Carvacrol.由香草醛、百里香酚和香芹酚合成生物基聚苯并恶嗪杂化物及其表征
Chem Asian J. 2025 Jun;20(11):e202401777. doi: 10.1002/asia.202401777. Epub 2025 Apr 30.
2
Identification of Piperlongumine as Potent Inhibitor of Necroptosis.鉴定荜拨宁为有效的坏死性细胞凋亡抑制剂。
Drug Des Devel Ther. 2023 May 8;17:1387-1394. doi: 10.2147/DDDT.S397971. eCollection 2023.

本文引用的文献

1
Lignosulfonate Microcapsules for Delivery and Controlled Release of Thymol and Derivatives.木质素磺酸盐微胶囊用于百里香酚和衍生物的传递和控制释放。
Molecules. 2020 Feb 16;25(4):866. doi: 10.3390/molecules25040866.
2
Development and Therapeutic Potential of Selenazo Compounds.硒氮杂化合物的开发与治疗潜力。
J Med Chem. 2020 Feb 27;63(4):1473-1489. doi: 10.1021/acs.jmedchem.9b01152. Epub 2019 Nov 5.
3
Design and Synthesis of Novel 1,3-Thiazole and 2-Hydrazinyl-1,3-Thiazole Derivatives as Anti- Agents: In Vitro Antifungal Screening, Molecular Docking Study, and Spectroscopic Investigation of their Binding Interaction with Bovine Serum Albumin.
新型1,3-噻唑和2-肼基-1,3-噻唑衍生物作为抗真菌剂的设计与合成:体外抗真菌筛选、分子对接研究及其与牛血清白蛋白结合相互作用的光谱研究
Molecules. 2019 Sep 21;24(19):3435. doi: 10.3390/molecules24193435.
4
Antifungal effects of thymol and salicylic acid on cell membrane and mitochondria of Rhizopus stolonifer and their application in postharvest preservation of tomatoes.百里香酚和水杨酸对根霉细胞膜和线粒体的抗真菌作用及其在番茄采后保鲜中的应用。
Food Chem. 2019 Jul 1;285:380-388. doi: 10.1016/j.foodchem.2019.01.099. Epub 2019 Jan 23.
5
Preparation and biological evaluation of metronidazole derivatives with monoterpenes and eugenol.制备和生物评价具有单萜和丁香酚的甲硝唑衍生物。
Chem Biol Drug Des. 2018 Dec;92(6):1954-1962. doi: 10.1111/cbdd.13366. Epub 2018 Aug 5.
6
Recent trends in the structural revision of natural products.天然产物结构修饰的最新趋势。
Nat Prod Rep. 2018 Jun 20;35(6):514-531. doi: 10.1039/c8np00011e.
7
Antifungal activity of phenolic monoterpenes and structure-related compounds against plant pathogenic fungi.酚类单萜及其结构相关化合物对植物病原真菌的抗真菌活性
Nat Prod Res. 2019 May;33(10):1423-1430. doi: 10.1080/14786419.2017.1419232. Epub 2018 Jan 15.
8
Synthesis of Quaternary-Substituted Thiazolines via Halocyclization of S-Allyl Thioimidate Salts.通过 S-烯丙基硫代亚氨基盐的卤环化合成季铵取代的噻唑啉。
J Org Chem. 2018 Jan 5;83(1):12-22. doi: 10.1021/acs.joc.7b02299. Epub 2017 Oct 24.
9
Biological Activities of Three Essential Oils of the Lamiaceae Family.唇形科三种精油的生物活性
Medicines (Basel). 2017 Aug 23;4(3):63. doi: 10.3390/medicines4030063.
10
Pharmacological Properties and Molecular Mechanisms of Thymol: Prospects for Its Therapeutic Potential and Pharmaceutical Development.百里香酚的药理特性与分子机制:其治疗潜力与药物研发前景
Front Pharmacol. 2017 Jun 26;8:380. doi: 10.3389/fphar.2017.00380. eCollection 2017.