Nieroda Paweł, Kusior Anna, Leszczyński Juliusz, Rutkowski Paweł, Koleżyński Andrzej
Department of Inorganic Chemistry, Faculty of Materials Science and Ceramics, AGH University of Science and Technology, al. A. Mickiewicza 30, 30-059 Krakow, Poland.
Department of Ceramics and Refractories, Faculty of Materials Science and Ceramics, AGH University of Science and Technology, al. A. Mickiewicza 30, 30-059 Krakow, Poland.
Materials (Basel). 2021 Jun 30;14(13):3650. doi: 10.3390/ma14133650.
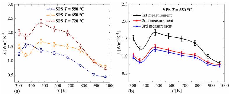
The aim of the work was to obtain copper (I) selenide CuSe material with excellent thermoelectric properties, synthesized using the hydrothermal method and densified by the spark plasma sintering (SPS) method. Chemical and phase composition studies were carried out by X-ray diffraction (XRD), scanning electron microscopy (SEM), and transmission electron microscopy (TEM) methods. Measurements of thermoelectric transport properties, i.e., electrical conductivity, the Seebeck coefficient, and thermal conductivity in the temperature range from 300 to 965 K were carried out. Based on these results, the temperature dependence of the thermoelectric figure of merit as a function of temperature was determined. The obtained, very high parameter (~1.75, = 965 K) is one of the highest obtained so far for undoped CuSe.
这项工作的目的是获得具有优异热电性能的硒化亚铜(CuSe)材料,采用水热法合成并通过放电等离子烧结(SPS)法致密化。通过X射线衍射(XRD)、扫描电子显微镜(SEM)和透射电子显微镜(TEM)方法进行了化学和相组成研究。在300至965 K的温度范围内进行了热电输运性质的测量,即电导率、塞贝克系数和热导率。基于这些结果,确定了热电优值随温度的变化关系。所获得的非常高的优值参数(~1.75,T = 965 K)是迄今为止未掺杂CuSe所获得的最高值之一。