• 文献检索
  • 文档翻译
  • 深度研究
  • 学术资讯
  • Suppr Zotero 插件Zotero 插件
  • 邀请有礼
  • 套餐&价格
  • 历史记录
应用&插件
Suppr Zotero 插件Zotero 插件浏览器插件Mac 客户端Windows 客户端微信小程序
定价
高级版会员购买积分包购买API积分包
服务
文献检索文档翻译深度研究API 文档MCP 服务
关于我们
关于 Suppr公司介绍联系我们用户协议隐私条款
关注我们

Suppr 超能文献

核心技术专利:CN118964589B侵权必究
粤ICP备2023148730 号-1Suppr @ 2026

文献检索

告别复杂PubMed语法,用中文像聊天一样搜索,搜遍4000万医学文献。AI智能推荐,让科研检索更轻松。

立即免费搜索

文件翻译

保留排版,准确专业,支持PDF/Word/PPT等文件格式,支持 12+语言互译。

免费翻译文档

深度研究

AI帮你快速写综述,25分钟生成高质量综述,智能提取关键信息,辅助科研写作。

立即免费体验

HPV16 型的突变谱、糖基化位点分布和密码子使用偏性

Mutation Profiles, Glycosylation Site Distribution and Codon Usage Bias of Human Papillomavirus Type 16.

机构信息

School of Biology and Biological Engineering, South China University of Technology, Guangzhou 510000, China.

BGI-Shenzhen, Shenzhen 518083, China.

出版信息

Viruses. 2021 Jun 30;13(7):1281. doi: 10.3390/v13071281.

DOI:10.3390/v13071281
PMID:34209097
原文链接:https://pmc.ncbi.nlm.nih.gov/articles/PMC8310365/
Abstract

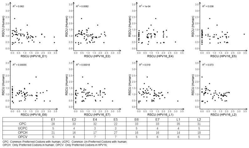
Human papillomavirus type 16 (HPV16) is the most prevalent HPV type causing cervical cancers. Herein, using 1597 full genomes, we systemically investigated the mutation profiles, surface protein glycosylation sites and the codon usage bias (CUB) of HPV16 from different lineages and sublineages. Multiple lineage- or sublineage-conserved mutation sites were identified. Glycosylation analysis showed that HPV16 lineage D contained the highest number of different glycosylation sites from lineage A in both L1 and L2 capsid proteins, which might lead to their antigenic distances between the two lineages. CUB analysis showed that the HPV16 open reading frames (ORFs) preferred codons ending with A/T. The CUB of HPV16 ORFs was mainly affected by natural selection except for E1, E5 and L2. HPV16 only shared some of the preferred codons with humans, which might help reduce competition in translational resources. These findings increase our understanding of the heterogeneity between HPV16 lineages and sublineages, and the adaptation mechanism of HPV in human cells. In summary, this study might facilitate HPV classification and improve vaccine development and application.

摘要

人乳头瘤病毒 16 型(HPV16)是导致宫颈癌最常见的 HPV 类型。在此,我们使用 1597 个全长基因组,系统地研究了来自不同谱系和亚谱系的 HPV16 的突变谱、表面蛋白糖基化位点和密码子使用偏性(CUB)。鉴定出多个谱系或亚谱系保守的突变位点。糖基化分析表明,HPV16 谱系 D 在 L1 和 L2 衣壳蛋白中包含比谱系 A 更多的不同糖基化位点,这可能导致它们在两个谱系之间具有抗原距离。CUB 分析表明,HPV16 的开放阅读框(ORF)偏爱以 A/T 结尾的密码子。除了 E1、E5 和 L2 之外,HPV16 ORFs 的 CUB 主要受自然选择的影响。HPV16 只与人类共享一些优选密码子,这可能有助于减少翻译资源中的竞争。这些发现增加了我们对 HPV16 谱系和亚谱系之间异质性以及 HPV 在人类细胞中的适应机制的理解。总之,本研究可能有助于 HPV 的分类,并改进疫苗的开发和应用。

https://cdn.ncbi.nlm.nih.gov/pmc/blobs/99ae/8310365/fffb0c9b4095/viruses-13-01281-g006.jpg
https://cdn.ncbi.nlm.nih.gov/pmc/blobs/99ae/8310365/7f3a4453d242/viruses-13-01281-g001.jpg
https://cdn.ncbi.nlm.nih.gov/pmc/blobs/99ae/8310365/e5810209f750/viruses-13-01281-g002.jpg
https://cdn.ncbi.nlm.nih.gov/pmc/blobs/99ae/8310365/706eee891c7d/viruses-13-01281-g003.jpg
https://cdn.ncbi.nlm.nih.gov/pmc/blobs/99ae/8310365/a3c1f925df76/viruses-13-01281-g004.jpg
https://cdn.ncbi.nlm.nih.gov/pmc/blobs/99ae/8310365/6d0b6c2a840c/viruses-13-01281-g005.jpg
https://cdn.ncbi.nlm.nih.gov/pmc/blobs/99ae/8310365/fffb0c9b4095/viruses-13-01281-g006.jpg
https://cdn.ncbi.nlm.nih.gov/pmc/blobs/99ae/8310365/7f3a4453d242/viruses-13-01281-g001.jpg
https://cdn.ncbi.nlm.nih.gov/pmc/blobs/99ae/8310365/e5810209f750/viruses-13-01281-g002.jpg
https://cdn.ncbi.nlm.nih.gov/pmc/blobs/99ae/8310365/706eee891c7d/viruses-13-01281-g003.jpg
https://cdn.ncbi.nlm.nih.gov/pmc/blobs/99ae/8310365/a3c1f925df76/viruses-13-01281-g004.jpg
https://cdn.ncbi.nlm.nih.gov/pmc/blobs/99ae/8310365/6d0b6c2a840c/viruses-13-01281-g005.jpg
https://cdn.ncbi.nlm.nih.gov/pmc/blobs/99ae/8310365/fffb0c9b4095/viruses-13-01281-g006.jpg

相似文献

1
Mutation Profiles, Glycosylation Site Distribution and Codon Usage Bias of Human Papillomavirus Type 16.HPV16 型的突变谱、糖基化位点分布和密码子使用偏性
Viruses. 2021 Jun 30;13(7):1281. doi: 10.3390/v13071281.
2
Comprehensive Assessment of the Antigenic Impact of Human Papillomavirus Lineage Variation on Recognition by Neutralizing Monoclonal Antibodies Raised against Lineage A Major Capsid Proteins of Vaccine-Related Genotypes.全面评估人乳头瘤病毒谱系变异对基于疫苗相关基因型主要衣壳蛋白的中和单克隆抗体识别的抗原性影响
J Virol. 2020 Nov 23;94(24). doi: 10.1128/JVI.01236-20.
3
Differential expression of HPV16 L2 gene in cervical cancers harboring episomal HPV16 genomes: influence of synonymous and non-coding region variations.HPV16 L2 基因在携带游离型 HPV16 基因组的宫颈癌中的差异表达:同义及非编码区变异的影响。
PLoS One. 2013 Jun 6;8(6):e65647. doi: 10.1371/journal.pone.0065647. Print 2013.
4
Genetic signatures for lineage/sublineage classification of HPV16, 18, 52 and 58 variants.HPV16、18、52 和 58 变体的谱系/亚谱系分类的遗传特征。
Virology. 2021 Jan 15;553:62-69. doi: 10.1016/j.virol.2020.11.003. Epub 2020 Nov 16.
5
Methylation at 3'LCR of HPV16 can be affected by patient age and disruption of E1 or E2 genes.人乳头瘤病毒16型(HPV16)3'长控制区(LCR)的甲基化会受到患者年龄以及E1或E2基因破坏的影响。
Virus Res. 2017 Mar 15;232:48-53. doi: 10.1016/j.virusres.2017.01.022. Epub 2017 Jan 29.
6
Codon usage bias and A+T content variation in human papillomavirus genomes.人乳头瘤病毒基因组中的密码子使用偏好与A+T含量变异
Virus Res. 2003 Dec;98(2):95-104. doi: 10.1016/j.virusres.2003.08.019.
7
Diversifying selection in human papillomavirus type 16 lineages based on complete genome analyses.基于全基因组分析的16型人乳头瘤病毒谱系中的多样化选择
J Virol. 2005 Jun;79(11):7014-23. doi: 10.1128/JVI.79.11.7014-7023.2005.
8
Identification of human papillomavirus type 16 variants circulating in the Calabria region by sequencing and phylogenetic analysis of HPV16 from cervical smears.通过对宫颈涂片 HPV16 进行测序和系统进化分析,鉴定卡拉布里亚地区流行的人乳头瘤病毒 16 型变异体。
Infect Genet Evol. 2019 Mar;68:185-193. doi: 10.1016/j.meegid.2018.12.024. Epub 2018 Dec 20.
9
Evolution and taxonomic classification of human papillomavirus 16 (HPV16)-related variant genomes: HPV31, HPV33, HPV35, HPV52, HPV58 and HPV67.人乳头瘤病毒 16 型(HPV16)相关变异基因组的进化和分类:HPV31、HPV33、HPV35、HPV52、HPV58 和 HPV67。
PLoS One. 2011;6(5):e20183. doi: 10.1371/journal.pone.0020183. Epub 2011 May 27.
10
Whole-Genome Sequencing and Variant Analysis of Human Papillomavirus 16 Infections.人乳头瘤病毒16型感染的全基因组测序与变异分析
J Virol. 2017 Sep 12;91(19). doi: 10.1128/JVI.00844-17. Print 2017 Oct 1.

引用本文的文献

1
Comprehensive Analysis of Codon Usage Bias in Human Papillomavirus Type 51.人乳头瘤病毒51型密码子使用偏好性的综合分析
Pol J Microbiol. 2024 Oct 28;73(4):455-465. doi: 10.33073/pjm-2024-036. eCollection 2024 Dec 1.
2
Distinguishing Genetic Drift from Selection in Papillomavirus Evolution.区分 HPV 进化中的遗传漂变和选择。
Viruses. 2023 Jul 26;15(8):1631. doi: 10.3390/v15081631.
3
Differences in HPV-specific antibody Fc-effector functions following Gardasil® and Cervarix® vaccination.接种加德西(Gardasil®)和卉妍康(Cervarix®)疫苗后HPV特异性抗体Fc效应器功能的差异。

本文引用的文献

1
Evolutionary and codon usage preference insights into spike glycoprotein of SARS-CoV-2.对 SARS-CoV-2 刺突糖蛋白的进化和密码子使用偏好的深入了解。
Brief Bioinform. 2021 Mar 22;22(2):1006-1022. doi: 10.1093/bib/bbaa383.
2
Vaccination Strategies for the Control and Treatment of HPV Infection and HPV-Associated Cancer.HPV 感染及相关癌症的控制和治疗疫苗策略。
Recent Results Cancer Res. 2021;217:157-195. doi: 10.1007/978-3-030-57362-1_8.
3
APOBEC: A molecular driver in cervical cancer pathogenesis.APOBEC:宫颈癌发病机制中的分子驱动因素。
NPJ Vaccines. 2023 Mar 15;8(1):39. doi: 10.1038/s41541-023-00628-8.
Cancer Lett. 2021 Jan 1;496:104-116. doi: 10.1016/j.canlet.2020.10.004. Epub 2020 Oct 7.
4
Virus-like Particle-Based L2 Vaccines against HPVs: Where Are We Today?基于病毒样颗粒的抗人乳头瘤病毒疫苗:我们如今进展如何?
Viruses. 2019 Dec 23;12(1):18. doi: 10.3390/v12010018.
5
Analysis of Synonymous Codon Usage Bias in Potato Virus M and Its Adaption to Hosts.马铃薯 Y 病毒同义密码子使用偏性分析及其对宿主的适应性。
Viruses. 2019 Aug 14;11(8):752. doi: 10.3390/v11080752.
6
Sensitivity of Human Papillomavirus (HPV) Lineage and Sublineage Variant Pseudoviruses to Neutralization by Nonavalent Vaccine Antibodies.九价疫苗抗体对人乳头瘤病毒(HPV)谱系和亚谱系变体假病毒中和的敏感性。
J Infect Dis. 2019 Nov 6;220(12):1940-1945. doi: 10.1093/infdis/jiz401.
7
The neuraminidase of A(H3N2) influenza viruses circulating since 2016 is antigenically distinct from the A/Hong Kong/4801/2014 vaccine strain.自 2016 年以来流行的 A(H3N2) 流感病毒的神经氨酸酶与 A/香港/4801/2014 疫苗株在抗原性上有明显差异。
Nat Microbiol. 2019 Dec;4(12):2216-2225. doi: 10.1038/s41564-019-0522-6. Epub 2019 Aug 12.
8
Genetic variations in E6, E7 and the long control region of human papillomavirus type 16 among patients with cervical lesions in Xinjiang, China.中国新疆宫颈病变患者中16型人乳头瘤病毒E6、E7及长控制区的基因变异
Cancer Cell Int. 2019 Mar 20;19:65. doi: 10.1186/s12935-019-0774-5. eCollection 2019.
9
Genetic Evolution and Molecular Selection of the HE Gene of Influenza C Virus.流感 C 病毒 HE 基因的遗传进化与分子选择
Viruses. 2019 Feb 19;11(2):167. doi: 10.3390/v11020167.
10
Human papillomavirus 16 sub-lineage dispersal and cervical cancer risk worldwide: Whole viral genome sequences from 7116 HPV16-positive women.全球人乳头瘤病毒16型亚谱系传播与宫颈癌风险:来自7116名HPV16阳性女性的全病毒基因组序列
Papillomavirus Res. 2019 Jun;7:67-74. doi: 10.1016/j.pvr.2019.02.001. Epub 2019 Feb 6.