Suppr超能文献

2019年亚洲肌少症工作组(AWGS2019)和欧洲老年人肌少症工作组(EWGSOP2)用于诊断肌少症以预测中国胃癌患者根治性胃切除术后的长期预后。

AWGS2019 EWGSOP2 for diagnosing sarcopenia to predict long-term prognosis in Chinese patients with gastric cancer after radical gastrectomy.

作者信息

Wu Wen-Yi, Dong Jiao-Jiao, Huang Xin-Ce, Chen Zhe-Jing, Chen Xiao-Lei, Dong Qian-Tong, Bai Yong-Yu

机构信息

Department of Gastrointestinal Surgery, The First Affiliated Hospital of Wenzhou Medical University, Wenzhou 325000, Zhejiang Province, China.

Department of Anesthesiology, The First Affiliated Hospital of Wenzhou Medical University, Wenzhou 325000, Zhejiang Province, China.

出版信息

World J Clin Cases. 2021 Jun 26;9(18):4668-4680. doi: 10.12998/wjcc.v9.i18.4668.

Abstract

BACKGROUND

Sarcopenia is a nutrition-related disease and has a profound effect on the long-term overall survival (OS) of patients with gastric cancer. Its diagnostic criterion is critical to clinical diagnosis and treatment. However, previous research reported widely differing sarcopenia prevalence due to different criteria. AWGS2019 and EWGSOP2 are the two latest and widely adopted criteria.

AIM

To compare the effects of AWGS2019 and EWGSOP2 on the long-term OS of Chinese gastric cancer patient after radical gastrectomy.

METHODS

An observational study was conducted from July 2014 to January 2017, which included 648 consecutive gastric cancer patients who underwent radical gastrectomy. The sarcopenia elements (skeletal muscle index, handgrip strength, and gait speed) were measured within 1 mo or 7 d before surgery. The patients were followed at fixed intervals to gain the outcomes. Multivariate Cox regression analysis was performed to determine the association between sarcopenia and the long-term OS of these patients according to the two criteria separately. The predictive performance of the models with AWGS2019 and EWGSOP2 were evaluated by the concordance index (C-index) and area under the time-dependent receiver operating characteristic curve (AUC). The Akaike information criterion (AIC) was applied to compare model fits.

RESULTS

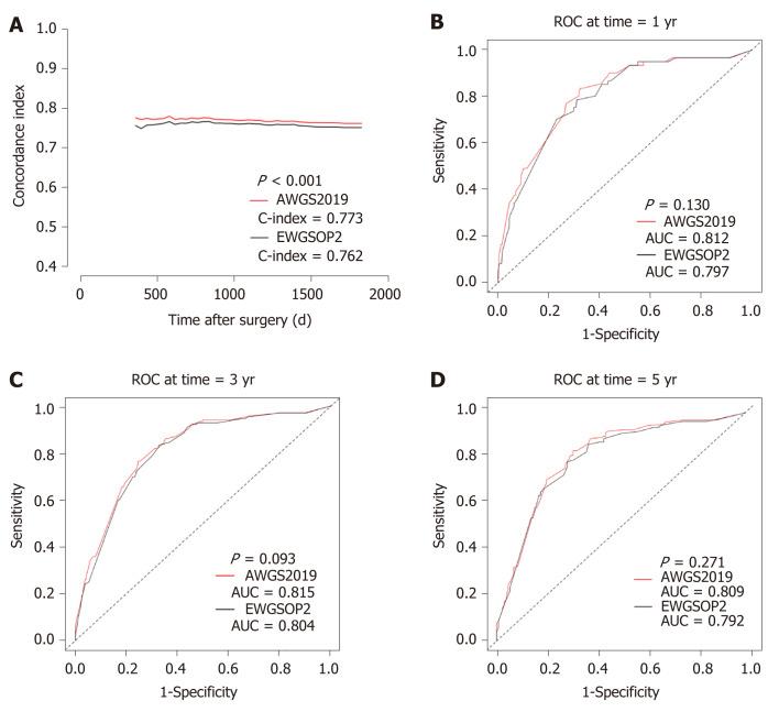
The prevalence of sarcopenia was 20.5% and 11.3% according to AWGS2019 and EWGSOP2, respectively. Sarcopenia was an independent risk factor for the long-term OS no matter based on AWGS2019 or EWGSOP2, but AWGS2019-sarcopenia in multivariate model had a higher hazard ratio (HR) [2.150 (1.547-2.988)] than EWGSOP2-sarcopenia [HR 1.599 (1.092-2.339)]. Meanwhile, the model with AWGS2019-sarcopenia [C-index 0.773 (0.742-0.804); AIC 2193.7; time-dependent AUC 0.812 (0.756-0.867) for 1-year OS, 0.815 (0.778-0.852) for 3-year OS, and 0.809 (0.759-0.859) for 5-year OS] had better predictive power and model fits than the model with EWGSOP2-sarcopenia [C-index 0.762 (0.729-0.795); AIC 2215.2; time-dependent AUC 0.797 (0.741-0.854) for 1-year OS, 0.804 (0.767-0.842) for 3-year OS, and 0.799 (0.748-0.850) for 5-year OS].

CONCLUSION

Sarcopenia is an independent risk factor for the long-term OS in Chinese gastric cancer patients undergoing radical gastrectomy. The prediction model with AWGS2019-sarcopenia has better predictive power and model fits than the prediction model with EWGSOP2-sarcopenia. AWGS2019 may be more appropriate for diagnosing sarcopenia in these Chinese patients than EWGSOP2.

摘要

背景

肌肉减少症是一种与营养相关的疾病,对胃癌患者的长期总生存期(OS)有深远影响。其诊断标准对临床诊断和治疗至关重要。然而,以往研究因标准不同,报道的肌肉减少症患病率差异很大。AWGS2019和EWGSOP2是两个最新且广泛采用的标准。

目的

比较AWGS2019和EWGSOP2对中国胃癌患者根治性胃切除术后长期OS的影响。

方法

2014年7月至2017年1月进行了一项观察性研究,纳入648例连续接受根治性胃切除术的胃癌患者。在手术前1个月内或7天内测量肌肉减少症相关指标(骨骼肌指数、握力和步速)。定期对患者进行随访以获取结果。分别根据这两个标准进行多因素Cox回归分析,以确定肌肉减少症与这些患者长期OS之间的关联。采用一致性指数(C指数)和时间依赖性受试者工作特征曲线下面积(AUC)评估AWGS2019和EWGSOP2模型的预测性能。应用赤池信息准则(AIC)比较模型拟合度。

结果

根据AWGS2019和EWGSOP2标准,肌肉减少症的患病率分别为20.5%和11.3%。无论基于AWGS2019还是EWGSOP2,肌肉减少症都是长期OS的独立危险因素,但多变量模型中AWGS2019定义的肌肉减少症的风险比(HR)[2.150(1.547 - 2.988)]高于EWGSOP2定义的肌肉减少症[HR 1.599(1.092 - 2.339)]。同时,AWGS2019定义的肌肉减少症模型[C指数0.773(0.742 - 0.804);AIC 2193.7;1年OS的时间依赖性AUC为0.812(0.756 - 0.867),3年OS为0.815(0.778 -

0.852),5年OS为0.809(0.759 - 0.859)]比EWGSOP2定义的肌肉减少症模型[C指数0.762(0.729 - 0.795);AIC 2215.2;1年OS的时间依赖性AUC为0.797(0.741 - 0.854),3年OS为0.804(0.767 - 0.842),5年OS为0.799(0.748 - 0.850)]具有更好的预测能力和模型拟合度。

结论

肌肉减少症是中国接受根治性胃切除术的胃癌患者长期OS的独立危险因素。与EWGSOP2定义的肌肉减少症预测模型相比,AWGS2019定义的肌肉减少症预测模型具有更好的预测能力和模型拟合度。对于这些中国患者,AWGS2019在诊断肌肉减少症方面可能比EWGSOP2更合适。

https://cdn.ncbi.nlm.nih.gov/pmc/blobs/9109/8223822/4d8bcd620ced/WJCC-9-4668-g001.jpg

文献AI研究员

20分钟写一篇综述,助力文献阅读效率提升50倍。

立即体验

用中文搜PubMed

大模型驱动的PubMed中文搜索引擎

马上搜索

文档翻译

学术文献翻译模型,支持多种主流文档格式。

立即体验