Suppr超能文献

与媒介烟粉虱传双生病毒相关的病毒组的复杂性和局部特异性。

Complexity and Local Specificity of the Virome Associated with Tospovirus-Transmitting Thrips Species.

机构信息

Institute for Sustainable Plant Protection, CNR, Turin, Italy.

Dipartimento di Scienze Agrarie, Forestali e Alimentari, University of Turin, Grugliasco, Turin, Italy.

出版信息

J Virol. 2021 Oct 13;95(21):e0059721. doi: 10.1128/JVI.00597-21. Epub 2021 Jul 7.

Abstract

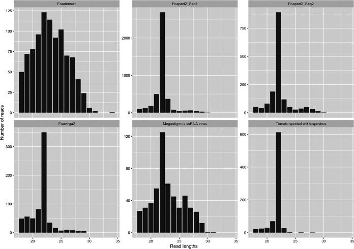
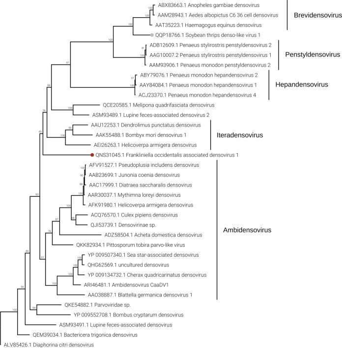
Frankliniella occidentalis (western flower thrips [WFT]) and Thrips tabaci (onion thrips [OT]) are insect species that greatly impact horticultural crops through direct damage and their efficient vectoring of tomato spotted wilt virus and iris yellow spot virus. In this study, we collected thrips of these species from 12 field populations in various regions in Italy. We also included one field population of Neohydatothrips variabilis (soybean thrips [ST]) from the United States. Total RNA data from high-throughput sequencing (HTS) were used to assemble the virome, and then we assigned putative viral contigs to each thrips sample by real-time reverse transcription-quantitative PCR (qRT-PCR). Excluding plant and fungal viruses, we were able to identify 61 viral segments, corresponding to 41 viruses: 14 were assigned to WFT, 17 to OT, and 1 to ST; 9 viruses could not be assigned to any species based on our stringent criteria. All these viruses are putative representative of new species (with only the exception of a sobemo-like virus that is 100% identical to a virus recently characterized in ST) and some belong to new higher-ranking taxa. These additions to the viral phylogeny suggest previously undescribed evolutionary niches. Most of Baltimore's classes of RNA viruses were present (positive- and minus-strand and double-stranded RNA viruses), but only one DNA virus was identified in our collection. Repeated sampling in a subset of locations in 2019 and 2020 and further virus characterization in a subset of four thrips populations maintained in the laboratory allowed us to provide evidence of a locally persistent thrips core virome that characterizes each population. Harnessing the insect microbiome can result in new approaches to contain their populations or the damage they cause vectoring viruses of medical, veterinary, or agricultural importance. Persistent insect viruses are a neglected component of their microbiota. In this study, for the first time, we characterize the virome associated with the two model systems for tospovirus-transmitting thrips species, of utmost importance for the direct and indirect damage they cause to a number of different crops. The thrips virome characterized includes several novel viruses, which in some cases reveal previously undescribed clades. More importantly, some of the viruses we describe are part of a core virome that is specific and consistently present in distinct geographical locations monitored over the years, hinting at a possible mutualistic symbiotic relationship with their host.

摘要

西方花蓟马(western flower thrips [WFT])和烟蓟马(onion thrips [OT])是两种严重影响园艺作物的昆虫物种,它们不仅会直接造成损害,而且还是番茄斑萎病毒和鸢尾黄点病毒的高效载体。在本研究中,我们从意大利不同地区的 12 个田间种群中采集了这些种类的蓟马。我们还包括来自美国的一个野生物种,即新变色蓟马(soybean thrips [ST])的田间种群。我们使用高通量测序(HTS)的总 RNA 数据来组装病毒组,然后通过实时逆转录定量 PCR(qRT-PCR)将推定的病毒序列分配给每个蓟马样本。排除植物和真菌病毒后,我们能够鉴定出 61 个病毒片段,对应 41 种病毒:14 种被分配给 WFT,17 种被分配给 OT,1 种被分配给 ST;9 种病毒根据我们严格的标准无法分配给任何物种。所有这些病毒都是新物种的代表(只有 sobemo 样病毒是最近在 ST 中鉴定的病毒的 100%相同),其中一些属于新的高级分类群。这些对病毒系统发育的补充表明了以前未描述的进化小生境。存在巴尔的摩的大多数 RNA 病毒类群(正链和负链以及双链 RNA 病毒),但我们的采集物中仅鉴定出一种 DNA 病毒。在 2019 年和 2020 年在部分地点的重复采样以及在实验室中维持的四个蓟马种群的进一步病毒特征分析,使我们能够提供证据证明存在一个局地持久的蓟马核心病毒组,该病毒组能够表征每个种群。利用昆虫微生物组可以为控制其种群或控制其传播对医学、兽医或农业重要的病毒造成的损害提供新的方法。持久的昆虫病毒是其微生物组中被忽视的组成部分。在这项研究中,我们首次对两种重要的传播番茄斑萎病毒的蓟马模型系统的病毒组进行了特征描述,这对它们直接和间接造成的多种不同作物的损害至关重要。所描述的蓟马病毒组包括几种新病毒,在某些情况下揭示了以前未描述的进化枝。更重要的是,我们描述的一些病毒是核心病毒组的一部分,该病毒组在多年来监测的不同地理位置中是特定且一致存在的,这暗示着它们与宿主之间可能存在一种互利共生的关系。

https://cdn.ncbi.nlm.nih.gov/pmc/blobs/5329/8513489/b4dabff79bab/jvi.00597-21-f001.jpg

文献AI研究员

20分钟写一篇综述,助力文献阅读效率提升50倍。

立即体验

用中文搜PubMed

大模型驱动的PubMed中文搜索引擎

马上搜索

文档翻译

学术文献翻译模型,支持多种主流文档格式。

立即体验