Suppr超能文献

使用分布滞后非线性模型研究吸烟率与肺癌发病率的暴露滞后反应。

Exposure-lag response of smoking prevalence on lung cancer incidence using a distributed lag non-linear model.

机构信息

Newcastle University Medicine Malaysia, No. 1, Jalan Sarjana 1, Kota Ilmu, EduCity@Iskandar, 79200, Iskandar Puteri, Johor, Malaysia.

Histopathology Department, Leeds Teaching Hospital, NHS Trust, Beckett Street, Leeds, LS9 7TF, West Yorkshire, UK.

出版信息

Sci Rep. 2021 Jul 14;11(1):14478. doi: 10.1038/s41598-021-91644-y.

Abstract

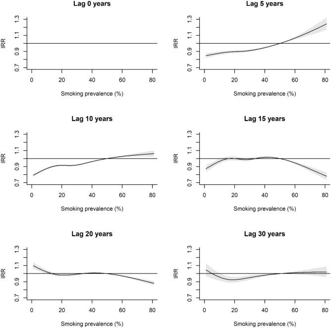
The prevalence of smokers is a major driver of lung cancer incidence in a population, though the "exposure-lag" effects are ill-defined. Here we present a multi-country ecological modelling study using a 30-year smoking prevalence history to quantify the exposure-lag response. To model the temporal dependency between smoking prevalence and lung cancer incidence, we used a distributed lag non-linear model (DLNM), controlling for gender, age group, country, outcome year, and population at risk, and presented the effects as the incidence rate ratio (IRR) and cumulative incidence rate ratio (IRR). The exposure-response varied by lag period, whilst the lag-response varied according to the magnitude and direction of changes in smoking prevalence in the population. For the cumulative lag-response, increments above and below the reference level was associated with an increased and decreased IRR respectively, with the magnitude of the effect varying across the lag period. Though caution should be exercised in interpretation of the IRR and IRR estimates reported herein, we hope our work constitutes a preliminary step towards providing policy makers with meaningful indicators to inform national screening programme developments. To that end, we have implemented our statistical model a shiny app and provide an example of its use.

摘要

吸烟者的流行率是人群中肺癌发病率的主要驱动因素,尽管“暴露-时滞”效应尚未明确。在这里,我们使用 30 年的吸烟流行率历史进行了一项多国生态建模研究,以量化暴露-时滞反应。为了对吸烟流行率和肺癌发病率之间的时间依赖性进行建模,我们使用了分布滞后非线性模型(DLNM),并控制了性别、年龄组、国家、结果年份和风险人群,将效应表示为发病率比(IRR)和累积发病率比(IRR)。暴露-反应随滞后期而变化,而时滞反应则根据人群中吸烟流行率的变化幅度和方向而变化。对于累积滞后反应,高于和低于参考水平的增量分别与发病率比(IRR)的增加和减少相关,其效应的大小在滞后期内有所不同。虽然在此报告的 IRR 和 IRR 估计值的解释应谨慎,但我们希望我们的工作为决策者提供有意义的指标,为国家筛查计划的发展提供信息,这是朝着这个方向迈出的初步步骤。为此,我们已经实现了我们的统计模型 shiny 应用程序,并提供了一个使用示例。

https://cdn.ncbi.nlm.nih.gov/pmc/blobs/eddf/8280159/2aec2fb5b4d9/41598_2021_91644_Fig1_HTML.jpg

文献AI研究员

20分钟写一篇综述,助力文献阅读效率提升50倍。

立即体验

用中文搜PubMed

大模型驱动的PubMed中文搜索引擎

马上搜索

文档翻译

学术文献翻译模型,支持多种主流文档格式。

立即体验