Suppr超能文献

一种新型非散焦性矫正老视的人工晶状体的多国临床疗效。

Multicountry clinical outcomes of a new nondiffractive presbyopia-correcting IOL.

机构信息

From PersonalEyes, Sydney, Australia (Bala); Miranza IOA Madrid Innova Ocular, Madrid, Spain (Poyales); OMIQ-Hospital General de Catalunya, Barcelona, Spain (Guarro); Hospital General de Granollers, Granollers, Spain (Guarro); Oftalvist CIO Jerez, Puerta del Sur Hospital, Cádiz, Spain (Mesa); Imperial College Healthcare NHS Trust & Ophthalmic Consultants of London, London, United Kingdom (Mearza); Department of Ophthalmology and Vision Sciences, University of Toronto, Toronto, Ontario, Canada (Varma); Prism Eye Institute, Oakville, Ontario, Canada (Varma); Trillium Health Partners, Mississauga, Ontario, Canada (Varma); Alcon Laboratories, Inc., Fort Worth, Texas (Jasti, Lemp-Hull).

出版信息

J Cataract Refract Surg. 2022 Feb 1;48(2):136-143. doi: 10.1097/j.jcrs.0000000000000712.

Abstract

PURPOSE

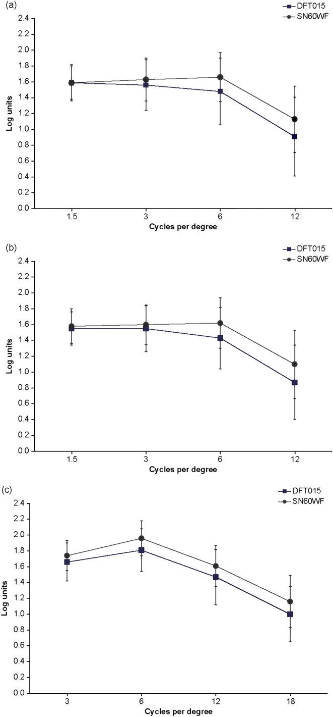
To evaluate the effectiveness and safety of a new presbyopia-correcting intraocular lens (IOL) with a nondiffractive design, DFT015, compared with an aspheric monofocal IOL, SN60WF.

SETTING

19 investigational sites in 4 countries: Australia, Canada, Spain, and the United Kingdom.

DESIGN

Prospective, randomized, parallel-group, controlled, assessor- and patient-masked clinical study.

METHODS

Participants aged ≥22 years with bilateral cataracts were randomized to DFT015 or SN60WF in a 5:4 ratio and masked until final postoperative follow-up at month 6. The primary effectiveness objective was superiority of DFT015 over SN60WF in mean monocular photopic distance-corrected intermediate visual acuity (DCIVA) at month 3. Secondary effectiveness objectives included noninferiority of DFT015 to SN60WF in mean monocular photopic corrected distance visual acuity (CDVA) and superiority in the mean monocular photopic distance-corrected near visual acuity (DCNVA) at month 3. Visual disturbances were assessed at month 6.

RESULTS

282 patients were randomized to DFT015 (n = 159) or SN60WF (n = 123). All effectiveness objectives were achieved at month 3 in first eyes. For monocular photopic results in first eyes, DFT015 demonstrated superior mean DCIVA (least squares means of -0.139 logMAR in favor of DFT015, P < .001), noninferior mean CDVA (97.5% upper confidence limit [UCL] of the difference was <0.1 logMAR) and superior mean DCNVA (95% UCL of the difference was <0.0 logMAR) compared with SN60WF at month 6. DFT015 exhibited a similar visual disturbance profile to that of SN60WF.

CONCLUSIONS

DFT015 provided superior intermediate and near vision and a similar visual disturbance profile compared with an aspheric monofocal IOL.

摘要

目的

评估具有非弥散设计的新型矫正老视的眼内透镜(IOL)DFT015 与非球面单焦点 IOL SN60WF 的有效性和安全性。

设置

4 个国家的 19 个研究点:澳大利亚、加拿大、西班牙和英国。

设计

前瞻性、随机、平行组、对照、评估者和患者盲法临床研究。

方法

参与者年龄≥22 岁,患有双侧白内障,以 5:4 的比例随机分为 DFT015 或 SN60WF 组,并在最终术后 6 个月随访时保持盲法。主要有效性指标是 DFT015 在第 3 个月时平均单眼明视距离校正中间视力(DCIVA)优于 SN60WF。次要有效性指标包括 DFT015 在平均单眼明视校正远视力(CDVA)和第 3 个月时平均单眼明视距离校正近视力(DCNVA)方面不劣于 SN60WF,以及在第 3 个月时优于 SN60WF。在第 6 个月评估视觉障碍。

结果

282 名患者被随机分为 DFT015 组(n = 159)或 SN60WF 组(n = 123)。在第一眼,所有有效性指标在第 3 个月时均达到。对于第一眼明视结果,DFT015 表现出优越的平均 DCIVA(DFT015 为 -0.139 对数最小二乘均数,优势比为 0.001),非劣效性平均 CDVA(差异的 97.5%置信上限[UCL]小于 0.1 对数 MAR)和优越的平均 DCNVA(差异的 95%UCL 小于 0.0 对数 MAR),优于 SN60WF 在第 6 个月。DFT015 表现出与 SN60WF 相似的视觉干扰特征。

结论

与非球面单焦点 IOL 相比,DFT015 提供了更好的中间和近视力,以及相似的视觉干扰特征。

https://cdn.ncbi.nlm.nih.gov/pmc/blobs/8a19/8845530/604f69c86c09/jcrs-48-136-g001.jpg

文献检索

告别复杂PubMed语法,用中文像聊天一样搜索,搜遍4000万医学文献。AI智能推荐,让科研检索更轻松。

立即免费搜索

文件翻译

保留排版,准确专业,支持PDF/Word/PPT等文件格式,支持 12+语言互译。

免费翻译文档

深度研究

AI帮你快速写综述,25分钟生成高质量综述,智能提取关键信息,辅助科研写作。

立即免费体验