Zoology, Department of Environmental Sciences, University of Basel, Basel, Switzerland.
Mol Biol Evol. 2021 Oct 27;38(11):4918-4933. doi: 10.1093/molbev/msab217.
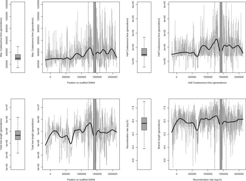
The link between long-term host-parasite coevolution and genetic diversity is key to understanding genetic epidemiology and the evolution of resistance. The model of Red Queen host-parasite coevolution posits that high genetic diversity is maintained when rare host resistance variants have a selective advantage, which is believed to be the mechanistic basis for the extraordinarily high levels of diversity at disease-related genes such as the major histocompatibility complex in jawed vertebrates and R-genes in plants. The parasites that drive long-term coevolution are, however, often elusive. Here we present evidence for long-term balancing selection at the phenotypic (variation in resistance) and genomic (resistance locus) level in a particular host-parasite system: the planktonic crustacean Daphnia magna and the bacterium Pasteuria ramosa. The host shows widespread polymorphisms for pathogen resistance regardless of geographic distance, even though there is a clear genome-wide pattern of isolation by distance at other sites. In the genomic region of a previously identified resistance supergene, we observed consistent molecular signals of balancing selection, including higher genetic diversity, older coalescence times, and lower differentiation between populations, which set this region apart from the rest of the genome. We propose that specific long-term coevolution by negative-frequency-dependent selection drives this elevated diversity at the host's resistance loci on an intercontinental scale and provide an example of a direct link between the host's resistance to a virulent pathogen and the large-scale diversity of its underlying genes.
长期宿主-寄生虫协同进化与遗传多样性之间的联系是理解遗传流行病学和抗性进化的关键。红皇后宿主-寄生虫协同进化模型假定,当稀有宿主抗性变异具有选择优势时,遗传多样性就会得到维持,这被认为是有颌脊椎动物主要组织相容性复合体和植物 R 基因等与疾病相关基因中高度多样性的机制基础。然而,推动长期协同进化的寄生虫往往难以捉摸。在这里,我们提出了在特定的宿主-寄生虫系统中表型(抗性变异)和基因组(抗性基因座)水平上长期平衡选择的证据:浮游甲壳动物大型溞和细菌粘孢子虫。无论地理距离如何,宿主对病原体抗性都表现出广泛的多态性,尽管在其他位点存在明显的全基因组距离隔离模式。在先前确定的抗性超基因的基因组区域,我们观察到了平衡选择的一致分子信号,包括更高的遗传多样性、更古老的聚合并集时间和种群间更低的分化,这使该区域与基因组的其余部分区分开来。我们提出,特定的、长期的负频率依赖性选择导致了宿主抗性基因座在洲际范围内的这种升高的多样性,并提供了一个宿主对毒力病原体的抗性与其基础基因的大规模多样性之间直接联系的例子。