Suppr超能文献

配备多叶准直器的点扫描质子束疗法对小儿脑肿瘤的剂量分布影响

Dose distribution effects of spot-scanning proton beam therapy equipped with a multi-leaf collimator for pediatric brain tumors.

作者信息

Fukumitsu Nobuyoshi, Yamashita Tomohiro, Mima Masayuki, Demizu Yusuke, Suzuki Takeshi, Soejima Toshinori

机构信息

Department of Radiation Oncology, Kobe Proton Center, Kobe, Hyōgo 650-0047, Japan.

Division of Medical Physics, Kobe Proton Center, Kobe, Hyōgo 650-0047, Japan.

出版信息

Oncol Lett. 2021 Aug;22(2):635. doi: 10.3892/ol.2021.12896. Epub 2021 Jul 1.

Abstract

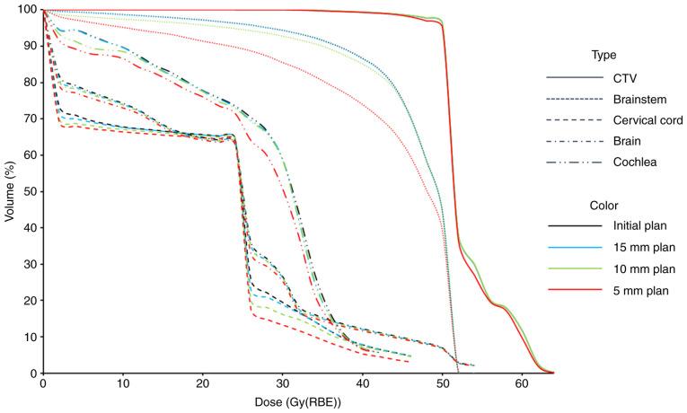
The present study simulated the effect of spot-scanning proton beam therapy (PBT) performed using a device equipped with a multi-leaf collimator (MLC) to calculate the dose distribution. Simulation studies using 18 pediatric patients with brain tumors in the posterior fossa were performed. Treatment plans were created for the MLC at different stages: Fully open (initial plan), fully closed to allow an irradiated area extending to 15 mm from the clinical target volume (CTV) (15-mm plan), or closing only the leaves where an organ at risk (OAR) overlapped with a border at 10 or 5 mm from the CTV (10- and 5-mm plans, respectively). The mean dose values for the brainstem, cervical cord, brain and cochlea in all MLC closure plans decreased as the MLC was closed (P=9.9×10, P=1.3×10, P=2.1×10 and P=2.0×10, respectively). The maximum dose (D) values of the cervical cord and cochlea in all MLC closure plans were also decreased as the MLC was closed (P=3.0×10 and P=1.1×10, respectively). The dose to the CTV was almost unchanged. In 10 patients, the D of the brain in all MLC-closure plans was higher than that of the initial plan, but the maximum increase was only 0.8 gray relative biological effectiveness [Gy(RBE)]. In conclusion, the existing MLC installed in the treatment device can be used to decrease the OAR dose significantly using spot-scanning PBT without a large capital investment. The dose from the scattered particles was small.

摘要

本研究模拟了使用配备多叶准直器(MLC)的设备进行的点扫描质子束治疗(PBT)的效果,以计算剂量分布。对18例后颅窝脑肿瘤患儿进行了模拟研究。针对MLC在不同阶段制定了治疗计划:完全打开(初始计划)、完全关闭以使照射区域从临床靶区(CTV)延伸至15毫米(15毫米计划),或仅关闭危及器官(OAR)与距CTV边界10或5毫米处重叠的叶片(分别为10毫米和5毫米计划)。在所有MLC关闭计划中,脑干、颈髓、脑和耳蜗的平均剂量值随着MLC关闭而降低(P分别为9.9×10、1.3×10、2.1×10和2.0×10)。在所有MLC关闭计划中,颈髓和耳蜗的最大剂量(D)值也随着MLC关闭而降低(P分别为3.0×10和1.1×10)。CTV的剂量几乎没有变化。在10例患者中,所有MLC关闭计划中脑的D均高于初始计划,但最大增加量仅为0.8格雷相对生物效应[Gy(RBE)]。总之,治疗设备中安装的现有MLC可用于在不进行大量资本投资的情况下,通过点扫描PBT显著降低OAR剂量。散射粒子的剂量很小。

https://cdn.ncbi.nlm.nih.gov/pmc/blobs/4d65/8273856/c9c1ba992fa1/ol-22-02-12896-g00.jpg

文献AI研究员

20分钟写一篇综述,助力文献阅读效率提升50倍。

立即体验

用中文搜PubMed

大模型驱动的PubMed中文搜索引擎

马上搜索

文档翻译

学术文献翻译模型,支持多种主流文档格式。

立即体验