Nafi Asif Shahriar, Krishnan Krishnamoorthy, Debnath Anup K, Hackett Erin E, Gurka Roi
Department of Coastal and Marine System Science, Coastal Carolina University, Conway, SC, USA.
Department of Physics and Engineering Science, Coastal Carolina University, Conway, SC, USA.
R Soc Open Sci. 2021 Jul 7;8(7):210779. doi: 10.1098/rsos.210779. eCollection 2021 Jul.
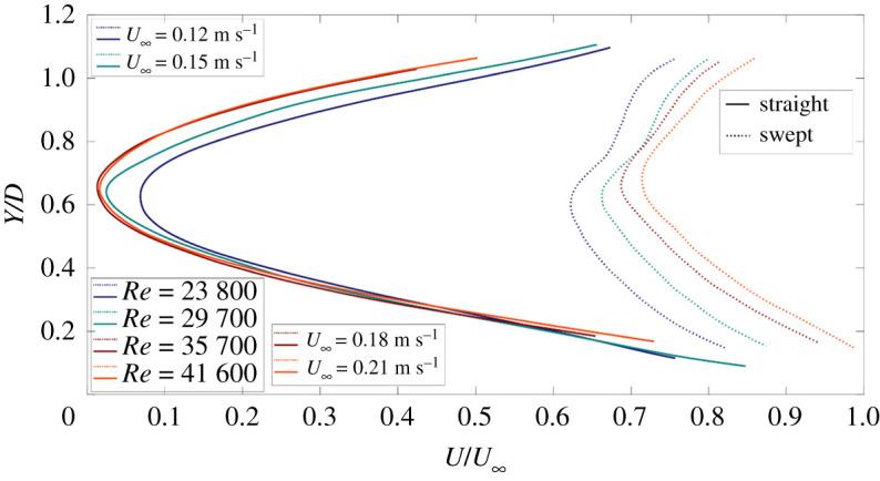
Rotor blades can be found in many engineering applications, mainly associated with converting energy from fluids to work (or electricity). Rotor blade geometry is a key factor in the mechanical efficiency of the energy conversion process. For example, wind turbines' performance directly depends on the blade geometry and the wake flow formed behind them. We suggest to use a bioinspired blade based on the common swift wing. Common swift () is known to be a long-distance flyer, able to stay aloft for long periods of time by maintaining high lift and low drag. We study the near-wake flow characteristics of a freely rotating rotor with swept blades and its aerodynamic loads. These are compared with a straight-bladed rotor. The experiments were conducted in a water flume using particle image velocimetry (PIV) technique. Both blades were studied for four different flow speeds with freestream Reynolds numbers ranging from 23 000 to 41 000. Our results show that the near wake developed behind the swept-back blade was significantly different from the straight blade configuration. The near wake developed behind the swept-back blade exhibited relatively lower momentum loss and suppressed turbulent activity (mixing and production) compared with the straight blade. Comparing the aerodynamic characteristics, though the swept-back blade generated relatively less lift than the straight blade, the drag was relatively low. Thus, the swept-back blade produced two to three times higher lift-to-drag ratio than the straight blade. Based on these observations, we suggest that, with improved design optimizations, using the swept-back configuration in rotor blades (specifically used in wind turbines) can improve mechanical efficiency and reduce the energy loss during the conversion process.
转子叶片在许多工程应用中都能见到,主要与将流体能量转化为功(或电能)相关。转子叶片的几何形状是能量转换过程机械效率的关键因素。例如,风力涡轮机的性能直接取决于叶片几何形状以及其后方形成的尾流。我们建议使用基于常见雨燕翅膀的仿生叶片。众所周知,普通雨燕()是长途飞行者,能够通过保持高升力和低阻力长时间停留在高空。我们研究了带有后掠叶片的自由旋转转子的近尾流流动特性及其气动载荷。并将其与直叶片转子进行比较。实验在水槽中使用粒子图像测速(PIV)技术进行。对两种叶片在四种不同流速下进行了研究,自由流雷诺数范围为23000至41000。我们的结果表明,后掠叶片后方形成的近尾流与直叶片构型有显著不同。与直叶片相比,后掠叶片后方形成的近尾流表现出相对较低的动量损失和受抑制的湍流活动(混合和生成)。比较气动特性,尽管后掠叶片产生的升力比直叶片相对较小,但其阻力相对较低。因此,后掠叶片产生的升阻比比直叶片高两到三倍。基于这些观察结果,我们建议,通过改进设计优化,在转子叶片(特别是用于风力涡轮机的叶片)中使用后掠构型可以提高机械效率并减少转换过程中的能量损失。