Suppr超能文献

硫酸氢三乙铵[EtNH][HSO]催化快速高效合成吡啶并[2,3 - ]嘧啶和吡唑并[3,4 - ]吡啶杂化物

Triethylammonium Hydrogen Sulfate [EtNH][HSO]-Catalyzed Rapid and Efficient Multicomponent Synthesis of Pyrido[2,3-]pyrimidine and Pyrazolo[3,4-]pyridine Hybrids.

作者信息

Jadhav Chetan, Nipate Amol, Chate Asha, Gill Charansingh

机构信息

Department of Chemistry, Dr. Babasaheb Ambedkar Marathwada University, Aurangabad 431004, Maharashtra, India.

出版信息

ACS Omega. 2021 Jul 2;6(28):18215-18225. doi: 10.1021/acsomega.1c02093. eCollection 2021 Jul 20.

Abstract

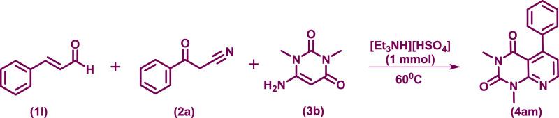
An operationally simple, one-pot multicomponent reaction has been developed for the assembly of pyrido[2,3-]pyrimidine and pyrazolo[3,4-]pyridine derivatives (-) in excellent yields (92-94%) with high purity. The reactions were easy to perform simply by mixing of electron-rich amino heterocycles (including aminouracils and aminopyrazoles), aldehyde, and acyl acetonitrile in the presence of [EtNH][HSO] under solvent-free conditions. The remarkable feature of the present approach is that the ionic liquid possesses dual solvent-catalytic engineering capability. Results of this study revealed that 1 mmol of the ionic liquid catalyst under solvent-free conditions at 60 °C is the best reaction parameter for the construction of fused pyridine and pyrimidine derivatives in excellent yields. The present methodology showed good results under gram-scale conditions, thereby indicating its applicability in industrial as well as academic settings in the near future.

摘要

已开发出一种操作简单的一锅多组分反应,用于组装吡啶并[2,3 - ]嘧啶和吡唑并[3,4 - ]吡啶衍生物(-),产率优异(92 - 94%)且纯度高。这些反应在无溶剂条件下,通过在[EtNH][HSO]存在下将富电子氨基杂环(包括氨基尿嘧啶和氨基吡唑)、醛和酰基乙腈简单混合即可轻松进行。本方法的显著特点是离子液体具有双重溶剂催化工程能力。该研究结果表明,在无溶剂条件下于60°C使用1 mmol离子液体催化剂是构建稠合吡啶和嘧啶衍生物并获得优异产率的最佳反应参数。本方法在克级规模条件下显示出良好的结果,从而表明其在不久的将来在工业和学术环境中的适用性。

https://cdn.ncbi.nlm.nih.gov/pmc/blobs/7b07/8296617/db5910511022/ao1c02093_0004.jpg

文献AI研究员

20分钟写一篇综述,助力文献阅读效率提升50倍。

立即体验

用中文搜PubMed

大模型驱动的PubMed中文搜索引擎

马上搜索

文档翻译

学术文献翻译模型,支持多种主流文档格式。

立即体验