Division of Medicine, Department of Inflammation, Centre for Rheumatology and Connective Tissue Diseases, Royal Free and University College Medical School, University College London, London, UK.
Department of Rheumatology and Clinical Immunology, University Medical Centre Utrecht, Utrecht, The Netherlands.
Rheumatology (Oxford). 2022 May 5;61(5):1948-1956. doi: 10.1093/rheumatology/keab604.
The aim of this study was to explore outcomes in a cohort of dcSSc patients fulfilling eligibility criteria for stem cell transplantation (SCT) studies but receiving standard immunosuppression.
From a large single-centre dcSSc cohort (n = 636), patients were identified using the published SCT trials' inclusion criteria. Patients meeting the trials' exclusion criteria were excluded.
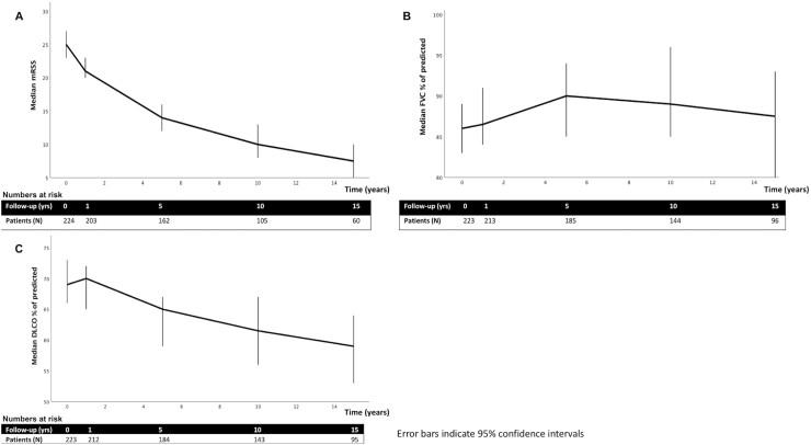
Of the 227 eligible patients, 214 met the inclusion criteria for ASTIS (Autologous Stem Cell Transplantation International Scleroderma), 82 for SCOT (Scleroderma: Cyclophosphamide Or Transplantation) and 185 for the UPSIDE (UPfront autologous haematopoietic Stem cell transplantation vs Immunosuppressive medication in early DiffusE cutaneous systemic sclerosis) trial, and 66 were excluded based on age >65 years, low diffusing capacity of the lungs for carbon monoxide (DLco), pulmonary hypertension or creatinine clearance <40 ml/min. The mean follow-up time was 12 years (s.d. 7). Among the eligible patients, 103 (45.4%) died. Survival was 96% at 2 years, 88% at 5 years, 73% at 10 years and 43% at 20 years. Compared with this 'SCT-eligible' cohort, those patients who would have been excluded from SCT trials had a worse long-term survival (97% at 2 years, 77% at 5 years, 52% at 10 years and 15% at 20 years, log rank P < 0.001). Excluded patients also had a significantly worse long-term event-free survival. Hazard of death was higher in patients with higher age at onset [hazard ratio (HR) 1.05, P < 0.001], higher ESR at baseline (HR 1.01, P = 0.025) and males (HR 2.12, P = 0.008).
SCT inclusion criteria identify patients with poor outcome despite current best practice treatment. Patients meeting the inclusion criteria for SCT but who would have been excluded from the trials because of age, pulmonary hypertension, poor kidney function or DLco <40% had worse outcomes.
本研究旨在探讨符合干细胞移植(SCT)研究入选标准但接受标准免疫抑制治疗的弥漫性硬皮病(dcSSc)患者的结局。
从一个大型单中心 dcSSc 队列(n=636)中,根据已发表的 SCT 试验纳入标准确定患者。排除不符合试验排除标准的患者。
在 227 名符合条件的患者中,214 名符合 ASTIS(自身干细胞移植国际硬皮病)、82 名符合 SCOT(硬皮病:环磷酰胺或移植)和 185 名符合 UPSIDE(早期弥漫性皮肤系统性硬皮病前瞻性自体造血干细胞移植与免疫抑制药物治疗)试验的纳入标准,66 名因年龄>65 岁、一氧化碳弥散量(DLco)低、肺动脉高压或肌酐清除率<40ml/min 而被排除。中位随访时间为 12 年(标准差 7 年)。在符合条件的患者中,103 例(45.4%)死亡。2 年生存率为 96%,5 年生存率为 88%,10 年生存率为 73%,20 年生存率为 43%。与这一“适合 SCT”队列相比,那些本应被 SCT 试验排除的患者的长期生存率更差(2 年生存率为 97%,5 年生存率为 77%,10 年生存率为 52%,20 年生存率为 15%,对数秩 P<0.001)。被排除的患者也有更差的长期无事件生存率。发病年龄较高(风险比 [HR] 1.05,P<0.001)、基线时 ESR 较高(HR 1.01,P=0.025)和男性(HR 2.12,P=0.008)的患者死亡风险更高。
尽管采用了目前最佳的治疗方法,SCT 的纳入标准仍能识别出预后不良的患者。符合 SCT 纳入标准但因年龄、肺动脉高压、肾功能差或 DLco<40%而被排除在试验之外的患者结局更差。