Suppr超能文献

通过检测前体血管加压素( copeptin )评估脓毒症风险: TRIAGE 研究的二次分析

Risk assessment of sepsis through measurement of proAVP (copeptin): a secondary analysis of the TRIAGE study.

作者信息

Kloter Milena, Gregoriano Claudia, Haag Ellen, Kutz Alexander, Mueller Beat, Schuetz Philipp

机构信息

Medical University Department of Medicine, Kantonsspital Aarau, Aarau, Switzerland.

Faculty of Medicine, University of Basel, Basel, Switzerland.

出版信息

Endocr Connect. 2021 Aug 24;10(9):995-1005. doi: 10.1530/EC-21-0211.

Abstract

OBJECTIVE

Systemic infections and sepsis lead to strong activation of the vasopressin system, which is pivotal for stimulation of the endocrine stress response and, in addition, has vasoconstrictive and immunomodulatory effects. Our aim was to assess the significance of the vasopressor system through measurement of C-terminal proAVP (copeptin) regarding mortality prediction in a large prospective cohort of patients with systemic infection.

DESIGN AND METHODS

This secondary analysis of the observational cohort TRIAGE study included consecutive, adult, medical patients with an initial diagnosis of infection seeking emergency department care. We used multivariable regression analysis to assess associations of copeptin levels in addition to the Sequential Organ Failure Assessment (SOFA) score with 30-day mortality. Discrimination was assessed by calculation of the area under the curve (AUC).

RESULTS

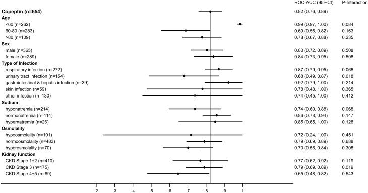
Overall, 45 of 609 (7.4%) patients with infection died within 30 days. Non-survivors had a marked upregulation of the vasopressin system with a more than four-fold increase in admission copeptin levels compared to non-survivors (199.9 ± 204.7 vs 46.6 ± 77.2 pmol/L). In a statistical model, copeptin was significantly associated with mortality (adjusted odds ratio of 1.04, 95% CI 1.01 to 1.07, P = 0.002). Regarding discrimination, copeptin alone showed an AUC of 0.82, while adding copeptin to the SOFA score significantly improved its prognostic ability (AUC 0.83 vs 0.86, P = 0.027).

CONCLUSION

Activation of the vasopressin system mirrored by an increase in copeptin levels provided significant information regarding mortality risk and improved the SOFA score for prediction of sepsis mortality.

摘要

目的

全身感染和脓毒症会导致血管加压素系统强烈激活,这对于刺激内分泌应激反应至关重要,此外还具有血管收缩和免疫调节作用。我们的目的是通过测量C末端前体血管加压素(copeptin)来评估血管加压素系统在一大组全身感染患者队列中预测死亡率方面的意义。

设计与方法

对观察性队列TRIAGE研究进行的这项二次分析纳入了因初始诊断为感染而到急诊科就诊的连续成年内科患者。我们使用多变量回归分析来评估copeptin水平以及序贯器官衰竭评估(SOFA)评分与30天死亡率之间的关联。通过计算曲线下面积(AUC)来评估辨别力。

结果

总体而言,609例感染患者中有45例(7.4%)在30天内死亡。与幸存者相比,非幸存者的血管加压素系统明显上调,入院时copeptin水平增加了四倍多(199.9±204.7 vs 46.6±77.2 pmol/L)。在一个统计模型中,copeptin与死亡率显著相关(调整后的优势比为1.04,95%可信区间为1.01至1.07,P = 0.002)。关于辨别力,单独的copeptin显示AUC为0.82,而将copeptin添加到SOFA评分中可显著提高其预后能力(AUC分别为0.83和0.86,P = 0.027)。

结论

copeptin水平升高反映的血管加压素系统激活提供了有关死亡风险的重要信息,并改善了SOFA评分对脓毒症死亡率预测的能力。

https://cdn.ncbi.nlm.nih.gov/pmc/blobs/001b/8428088/0b3011193ffb/EC-21-0211fig1.jpg

文献检索

告别复杂PubMed语法,用中文像聊天一样搜索,搜遍4000万医学文献。AI智能推荐,让科研检索更轻松。

立即免费搜索

文件翻译

保留排版,准确专业,支持PDF/Word/PPT等文件格式,支持 12+语言互译。

免费翻译文档

深度研究

AI帮你快速写综述,25分钟生成高质量综述,智能提取关键信息,辅助科研写作。

立即免费体验