Suppr超能文献

儿童手足口病临床评分系统。

A clinical scoring system for pediatric hand-foot-mouth disease.

机构信息

Department of Infectious Diseases, The Affiliated Children's Hospital, Capital Institute of Pediatrics, Beijing, China.

出版信息

BMC Infect Dis. 2021 Jul 31;21(1):722. doi: 10.1186/s12879-021-06424-w.

Abstract

BACKGROUND

The aim of the present study was to develop a clinical scoring system for the diagnosis of hand-foot-mouth disease (HFMD) with improved accuracy.

METHODS

A retrospective analysis was performed on standardized patient history and clinical examination data obtained from 1435 pediatric patients under the age of three years who presented with acute rash illness and underwent enterovirus nucleic acid detection. Patients were then divided into the HFMD (1094 patients) group or non-HFMD (341 patients) group based on a positive or a negative result from the assay, respectively. We then divided the data into a training set (1004 cases, 70%) and a test set (431 cases, 30%) using a random number method. Multivariate logistic regression was performed on 15 clinical variables (e.g. age, exposure history, number of rash spots in a single body region) to identify variables highly predictive of a positive diagnosis in the training set. Using the variables with high impact on the diagnostic accuracy, we generated a scoring system for predicting HFMD and subsequently evaluated this system in the test set by receiver operating characteristic curve (ROC curve).

RESULTS

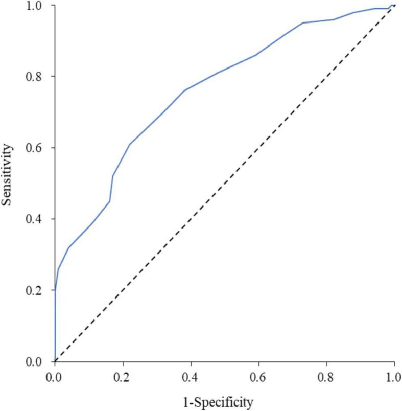
Using the logistic model, we identified seven clinical variables (age, exposure history, and rash density at specific regions of the body) to be included into the scoring system. The final scores ranged from - 5 to 24 (higher scores positively predicted HFMD diagnosis). Through our training set, a cutoff score of 7 resulted in a sensitivity of 0.76 and specificity of 0.68. The area under the receiver operating characteristic curve (AUC) was 0.804 (95% confidence interval [CI]: 0.773-0.835) (P < 0.001). Using the test set, we obtained an AUC of 0.76 (95% CI: 0.710-0.810) with a sensitivity of 0.76 and a specificity of 0.62. These results from the test set were consistent with those from the training set.

CONCLUSIONS

This study establishes an objective scoring system for the diagnosis of typical and atypical HFMD using measures accessible through routine clinical encounters. Due to the accuracy and sensitivity achieved by this scoring system, it can be employed as a rapid, low-cost method for establishing diagnoses in children with acute rash illness.

摘要

背景

本研究旨在开发一种更准确的手足口病(HFMD)临床评分系统。

方法

对 1435 名三岁以下急性皮疹患儿的标准化病史和临床检查数据进行回顾性分析,并进行肠道病毒核酸检测。根据检测结果将患者分为手足口病(HFMD)组(1094 例)或非手足口病(HFMD)组(341 例)。然后,我们使用随机数法将数据分为训练集(1004 例,70%)和测试集(431 例,30%)。在训练集中,我们对 15 个临床变量(如年龄、暴露史、单个身体区域的皮疹数量)进行多变量逻辑回归,以确定对阳性诊断具有高度预测性的变量。使用对诊断准确性影响较大的变量,我们生成了预测 HFMD 的评分系统,并随后通过受试者工作特征曲线(ROC 曲线)在测试集中评估该系统。

结果

使用逻辑模型,我们确定了 7 个临床变量(年龄、暴露史和身体特定区域的皮疹密度)纳入评分系统。最终评分范围为-5 至 24 分(得分越高,HFMD 诊断阳性的可能性越大)。通过我们的训练集,截值为 7 时,敏感性为 0.76,特异性为 0.68。ROC 曲线下面积(AUC)为 0.804(95%置信区间[CI]:0.773-0.835)(P<0.001)。使用测试集,我们获得了 AUC 为 0.76(95%CI:0.710-0.810),敏感性为 0.76,特异性为 0.62。测试集的这些结果与训练集的结果一致。

结论

本研究建立了一种使用常规临床接触即可获得的指标对手足口病的典型和非典型病例进行诊断的客观评分系统。由于该评分系统具有较高的准确性和敏感性,因此可作为一种快速、低成本的方法,用于诊断急性皮疹患儿的疾病。

https://cdn.ncbi.nlm.nih.gov/pmc/blobs/4fc4/8325785/f45934bb6139/12879_2021_6424_Fig1_HTML.jpg

文献AI研究员

20分钟写一篇综述,助力文献阅读效率提升50倍。

立即体验

用中文搜PubMed

大模型驱动的PubMed中文搜索引擎

马上搜索

文档翻译

学术文献翻译模型,支持多种主流文档格式。

立即体验