• 文献检索
  • 文档翻译
  • 深度研究
  • 学术资讯
  • Suppr Zotero 插件Zotero 插件
  • 邀请有礼
  • 套餐&价格
  • 历史记录
应用&插件
Suppr Zotero 插件Zotero 插件浏览器插件Mac 客户端Windows 客户端微信小程序
定价
高级版会员购买积分包购买API积分包
服务
文献检索文档翻译深度研究API 文档MCP 服务
关于我们
关于 Suppr公司介绍联系我们用户协议隐私条款
关注我们

Suppr 超能文献

核心技术专利:CN118964589B侵权必究
粤ICP备2023148730 号-1Suppr @ 2026

文献检索

告别复杂PubMed语法,用中文像聊天一样搜索,搜遍4000万医学文献。AI智能推荐,让科研检索更轻松。

立即免费搜索

文件翻译

保留排版,准确专业,支持PDF/Word/PPT等文件格式,支持 12+语言互译。

免费翻译文档

深度研究

AI帮你快速写综述,25分钟生成高质量综述,智能提取关键信息,辅助科研写作。

立即免费体验

前列腺癌肿瘤微环境分析显示,盆腔淋巴结转移肿瘤中基质CD4效应T细胞浸润减少。

Analysis of Prostate Cancer Tumor Microenvironment Identifies Reduced Stromal CD4 Effector T-cell Infiltration in Tumors with Pelvic Nodal Metastasis.

作者信息

Ntala Chara, Salji Mark, Salmond Jonathan, Officer Leah, Teodosio Ana Vieira, Blomme Arnaud, McGhee Ewan J, Powley Ian, Ahmad Imran, Kruithof-de Julio Marianna, Thalmann George, Roberts Ed, Goodyear Carl S, Jamaspishvili Tamara, Berman David M, Carlin Leo M, Le Quesne John, Leung Hing Y

机构信息

CRUK Beatson Institute, Glasgow, UK.

Institute of Cancer Sciences, University of Glasgow, Garscube Estate, Switchback Road, Glasgow, UK.

出版信息

Eur Urol Open Sci. 2021 May 25;29:19-29. doi: 10.1016/j.euros.2021.05.001. eCollection 2021 Jul.

DOI:10.1016/j.euros.2021.05.001
PMID:34337530
原文链接:https://pmc.ncbi.nlm.nih.gov/articles/PMC8317840/
Abstract

BACKGROUND

Pelvic nodal metastasis in prostate cancer impacts patient outcome negatively.

OBJECTIVE

To explore tumor-infiltrating immune cells as a potential predictive tool for regional lymph node (LN) metastasis.

DESIGN SETTING AND PARTICIPANTS

We applied multiplex immunofluorescence and targeted transcriptomic analysis on 94 radical prostatectomy specimens in patients with (LN+) or without (LN-) pelvic nodal metastases. Both intraepithelial and stromal infiltrations of immune cells and differentially expressed genes (mRNA and protein levels) were correlated with the nodal status.

OUTCOME MEASUREMENTS AND STATISTICAL ANALYSIS

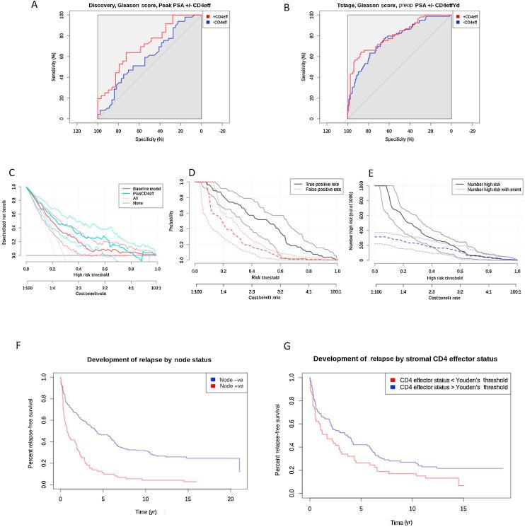
The identified CD4 effector cell signature of nodal metastasis was validated in a comparable independent patient cohort of 184 informative cases. Patient outcome analysis and decision curve analysis were performed with the CD4 effector cell density-based signature.

RESULTS AND LIMITATIONS

In the discovery cohort, both tumor epithelium and stroma from patients with nodal metastasis had significantly lower infiltration of multiple immune cell types, with stromal CD4 effector cells highlighted as the top candidate marker. Targeted gene expression analysis and confirmatory protein analysis revealed key alteration of extracellular matrix components in tumors with nodal metastasis. Of note, stromal CD4 immune cell density was a significant independent predictor of LN metastasis (odds ratio [OR] = 0.15,  = 0.004), and was further validated as a significant predictor of nodal metastasis in the validation cohort (OR = 0.26,  < 0.001).

CONCLUSIONS

Decreased T-cell infiltrates in the primary tumor (particularly CD4 effector cells) are associated with a higher risk of LN metastasis. Future evaluation of CD4-based assays on prostate cancer diagnostic biopsy materials may improve selection of at-risk patients for the treatment of LN metastasis.

PATIENT SUMMARY

In this report, we found that cancer showing evidence of cancer metastasis to the lymph nodes tends to have less immune cells present within the tumor. We conclude that the extent of immune cells present within a prostate tumor can help doctors determine the most appropriate treatment plan for individual patients.

摘要

背景

前列腺癌盆腔淋巴结转移对患者预后有负面影响。

目的

探讨肿瘤浸润免疫细胞作为区域淋巴结(LN)转移潜在预测工具的可能性。

设计、设置与参与者:我们对94例有(LN+)或无(LN-)盆腔淋巴结转移的前列腺癌根治术标本进行了多重免疫荧光和靶向转录组分析。免疫细胞的上皮内和基质浸润以及差异表达基因(mRNA和蛋白质水平)均与淋巴结状态相关。

结果测量与统计分析

在一个由184例信息完整病例组成的可比独立患者队列中验证了所确定的淋巴结转移CD4效应细胞特征。采用基于CD4效应细胞密度的特征进行患者预后分析和决策曲线分析。

结果与局限性

在发现队列中,有淋巴结转移患者的肿瘤上皮和基质中多种免疫细胞类型的浸润均显著减少,其中基质CD4效应细胞被突出显示为首要候选标志物。靶向基因表达分析和验证性蛋白质分析揭示了有淋巴结转移肿瘤中细胞外基质成分的关键改变。值得注意的是,基质CD4免疫细胞密度是LN转移的显著独立预测因子(比值比[OR]=0.15,P=0.004),并在验证队列中进一步验证为淋巴结转移的显著预测因子(OR=0.26,P<0.001)。

结论

原发肿瘤中T细胞浸润减少(尤其是CD4效应细胞)与LN转移风险较高相关。未来对前列腺癌诊断活检材料进行基于CD4的检测评估可能会改善LN转移高危患者的治疗选择。

患者总结

在本报告中,我们发现显示有癌症转移至淋巴结证据的癌症往往肿瘤内存在的免疫细胞较少。我们得出结论,前列腺肿瘤内免疫细胞的程度可帮助医生为个体患者确定最合适的治疗方案。

https://cdn.ncbi.nlm.nih.gov/pmc/blobs/294c/8317840/5081e32d361f/gr4.jpg
https://cdn.ncbi.nlm.nih.gov/pmc/blobs/294c/8317840/d7414c2c53a7/gr1.jpg
https://cdn.ncbi.nlm.nih.gov/pmc/blobs/294c/8317840/f1b400c23820/gr2.jpg
https://cdn.ncbi.nlm.nih.gov/pmc/blobs/294c/8317840/2781b1aadd13/gr3.jpg
https://cdn.ncbi.nlm.nih.gov/pmc/blobs/294c/8317840/56f652504743/gr5.jpg
https://cdn.ncbi.nlm.nih.gov/pmc/blobs/294c/8317840/5081e32d361f/gr4.jpg
https://cdn.ncbi.nlm.nih.gov/pmc/blobs/294c/8317840/d7414c2c53a7/gr1.jpg
https://cdn.ncbi.nlm.nih.gov/pmc/blobs/294c/8317840/f1b400c23820/gr2.jpg
https://cdn.ncbi.nlm.nih.gov/pmc/blobs/294c/8317840/2781b1aadd13/gr3.jpg
https://cdn.ncbi.nlm.nih.gov/pmc/blobs/294c/8317840/56f652504743/gr5.jpg
https://cdn.ncbi.nlm.nih.gov/pmc/blobs/294c/8317840/5081e32d361f/gr4.jpg

相似文献

1
Analysis of Prostate Cancer Tumor Microenvironment Identifies Reduced Stromal CD4 Effector T-cell Infiltration in Tumors with Pelvic Nodal Metastasis.前列腺癌肿瘤微环境分析显示,盆腔淋巴结转移肿瘤中基质CD4效应T细胞浸润减少。
Eur Urol Open Sci. 2021 May 25;29:19-29. doi: 10.1016/j.euros.2021.05.001. eCollection 2021 Jul.
2
Profile of immune cells in axillary lymph nodes predicts disease-free survival in breast cancer.腋窝淋巴结中免疫细胞的特征可预测乳腺癌的无病生存期。
PLoS Med. 2005 Sep;2(9):e284. doi: 10.1371/journal.pmed.0020284. Epub 2005 Sep 6.
3
Prediction of Biochemical Recurrence Based on Molecular Detection of Lymph Node Metastasis After Radical Prostatectomy.基于根治性前列腺切除术后淋巴结转移分子检测的生化复发预测
Eur Urol Open Sci. 2022 Aug 16;44:1-10. doi: 10.1016/j.euros.2022.07.005. eCollection 2022 Oct.
4
Diagnostic Accuracy of 68Ga-PSMA-11 PET for Pelvic Nodal Metastasis Detection Prior to Radical Prostatectomy and Pelvic Lymph Node Dissection: A Multicenter Prospective Phase 3 Imaging Trial.68Ga-PSMA-11 PET 对根治性前列腺切除术和盆腔淋巴结清扫术前盆腔淋巴结转移检测的诊断准确性:一项多中心前瞻性 3 期影像学试验。
JAMA Oncol. 2021 Nov 1;7(11):1635-1642. doi: 10.1001/jamaoncol.2021.3771.
5
Pathologic nodal staging scores in patients treated with radical prostatectomy: a postoperative decision tool.根治性前列腺切除术治疗患者的病理性淋巴结分期评分:一种术后决策工具。
Eur Urol. 2014 Sep;66(3):439-46. doi: 10.1016/j.eururo.2013.06.041. Epub 2013 Jul 2.
6
Does increasing the nodal yield improve outcomes in contemporary patients without nodal metastasis undergoing radical prostatectomy?提高淋巴结切除率是否能改善当代无淋巴结转移的前列腺癌根治术患者的预后?
Urol Oncol. 2014 Jan;32(1):47.e1-8. doi: 10.1016/j.urolonc.2013.06.013. Epub 2013 Sep 18.
7
Topography of lymph node metastases in prostate cancer patients undergoing radical prostatectomy and extended lymphadenectomy: results of a combined molecular and histopathologic mapping study.前列腺癌患者行根治性前列腺切除术和扩大淋巴结清扫术时淋巴结转移的分布:一项联合分子与组织病理学绘图研究的结果。
Eur Urol. 2014 Aug;66(2):222-9. doi: 10.1016/j.eururo.2013.02.007. Epub 2013 Feb 18.
8
Identification of the Optimal Candidates for Nodal Staging with Extended Pelvic Lymph Node Dissection Among Prostate Cancer Patients Who Underwent Preoperative Prostate-specific Membrane Antigen Positron Emission Tomography. External Validation of the Memorial Sloan Kettering Cancer Center and Briganti Nomograms and Development of a Novel Tool.基于术前前列腺特异膜抗原正电子发射断层扫描识别行扩大盆腔淋巴结清扫术的前列腺癌患者最佳淋巴结分期候选者:纪念斯隆凯特琳癌症中心和布里甘蒂列线图的外部验证及新型工具的开发。
Eur Urol Oncol. 2023 Dec;6(6):543-552. doi: 10.1016/j.euo.2023.05.003. Epub 2023 Jun 1.
9
Immune Escape Mechanism is Impaired in the Microenvironment of Thyroid Lymph Node Metastasis.免疫逃逸机制在甲状腺淋巴结转移微环境中受损。
Endocr Pathol. 2017 Dec;28(4):369-372. doi: 10.1007/s12022-017-9495-2.
10
Development and Internal Validation of a Novel Model to Identify the Candidates for Extended Pelvic Lymph Node Dissection in Prostate Cancer.开发并内部验证一种新型模型,以确定前列腺癌患者行扩大盆腔淋巴结清扫术的候选者。
Eur Urol. 2017 Oct;72(4):632-640. doi: 10.1016/j.eururo.2017.03.049. Epub 2017 Apr 12.

引用本文的文献

1
Transcriptomic miRNA and mRNA signatures in primary prostate cancer that are associated with lymph-node invasion.原发性前列腺癌中与淋巴结浸润相关的转录组miRNA和mRNA特征。
Clin Transl Med. 2025 Apr;15(4):e70288. doi: 10.1002/ctm2.70288.
2
Obesity, dietary interventions and microbiome alterations in the development and progression of prostate cancer.肥胖、饮食干预与微生物群改变在前列腺癌发生发展中的作用
Front Immunol. 2025 Jan 7;15:1448116. doi: 10.3389/fimmu.2024.1448116. eCollection 2024.
3
Radiotherapy-resistant prostate cancer cells escape immune checkpoint blockade through the senescence-related ataxia telangiectasia and Rad3-related protein.

本文引用的文献

1
Epidemiology of Prostate Cancer.前列腺癌流行病学
World J Oncol. 2019 Apr;10(2):63-89. doi: 10.14740/wjon1191. Epub 2019 Apr 20.
2
Multispectral imaging for quantitative and compartment-specific immune infiltrates reveals distinct immune profiles that classify lung cancer patients.多光谱成像用于定量和特定区域免疫浸润物的分析,揭示了不同的免疫特征,可以对肺癌患者进行分类。
J Pathol. 2018 Apr;244(4):421-431. doi: 10.1002/path.5026. Epub 2018 Feb 5.
3
Prognostic role of tumour-associated macrophages and macrophage scavenger receptor 1 in prostate cancer: a systematic review and meta-analysis.
放疗抵抗性前列腺癌细胞通过衰老相关的共济失调毛细血管扩张症和Rad3相关蛋白逃避免疫检查点阻断。
Cancer Commun (Lond). 2025 Mar;45(3):218-244. doi: 10.1002/cac2.12636. Epub 2024 Dec 19.
4
Stroma-specific gene expression signature identifies prostate cancer subtype with high recurrence risk.基质特异性基因表达特征可识别出具有高复发风险的前列腺癌亚型。
NPJ Precis Oncol. 2024 Feb 23;8(1):48. doi: 10.1038/s41698-024-00540-x.
5
Evaluation of CD47 in the Suppressive Tumor Microenvironment and Immunotherapy in Prostate Cancer.评价 CD47 在前列腺癌抑制性肿瘤微环境和免疫治疗中的作用。
J Immunol Res. 2023 Sep 9;2023:2473075. doi: 10.1155/2023/2473075. eCollection 2023.
6
CHRM4/AKT/MYCN upregulates interferon alpha-17 in the tumor microenvironment to promote neuroendocrine differentiation of prostate cancer.CHRM4/AKT/MYCN 上调肿瘤微环境中的干扰素 α-17 以促进前列腺癌的神经内分泌分化。
Cell Death Dis. 2023 May 4;14(5):304. doi: 10.1038/s41419-023-05836-7.
7
Interfering HMGB3 release from cancer-associated fibroblasts by miR-200b represses chemoresistance and epithelial-mesenchymal transition of gastric cancer cells.通过miR-200b干扰癌症相关成纤维细胞中HMGB3的释放可抑制胃癌细胞的化疗耐药性和上皮-间质转化。
J Gastrointest Oncol. 2022 Oct;13(5):2197-2218. doi: 10.21037/jgo-22-723.
8
Tumor microenvironment heterogeneity an important mediator of prostate cancer progression and therapeutic resistance.肿瘤微环境异质性是前列腺癌进展和治疗抵抗的重要介导因素。
NPJ Precis Oncol. 2022 May 4;6(1):31. doi: 10.1038/s41698-022-00272-w.
肿瘤相关巨噬细胞和巨噬细胞清道夫受体1在前列腺癌中的预后作用:一项系统评价和荟萃分析。
Oncotarget. 2017 Jun 27;8(47):83261-83269. doi: 10.18632/oncotarget.18743. eCollection 2017 Oct 10.
4
Tumor-associated fibrosis as a regulator of tumor immunity and response to immunotherapy.肿瘤相关纤维化作为肿瘤免疫和免疫治疗反应的调节因子。
Cancer Immunol Immunother. 2017 Aug;66(8):1037-1048. doi: 10.1007/s00262-017-2003-1. Epub 2017 Apr 27.
5
Spatial computation of intratumoral T cells correlates with survival of patients with pancreatic cancer.肿瘤内 T 细胞的空间计算与胰腺癌患者的生存相关。
Nat Commun. 2017 Apr 27;8:15095. doi: 10.1038/ncomms15095.
6
PTEN Loss as Determined by Clinical-grade Immunohistochemistry Assay Is Associated with Worse Recurrence-free Survival in Prostate Cancer.通过临床级免疫组织化学检测确定的PTEN缺失与前列腺癌患者更差的无复发生存率相关。
Eur Urol Focus. 2016 Jun;2(2):180-188. doi: 10.1016/j.euf.2015.07.005.
7
Real-Time Imaging of Resident T Cells in Human Lung and Ovarian Carcinomas Reveals How Different Tumor Microenvironments Control T Lymphocyte Migration.人类肺癌和卵巢癌中驻留T细胞的实时成像揭示了不同肿瘤微环境如何控制T淋巴细胞迁移。
Front Immunol. 2015 Oct 12;6:500. doi: 10.3389/fimmu.2015.00500. eCollection 2015.
8
Immune signature of tumor infiltrating immune cells in renal cancer.肾癌中肿瘤浸润免疫细胞的免疫特征
Oncoimmunology. 2015 Feb 3;4(1):e985082. doi: 10.4161/2162402X.2014.985082. eCollection 2015 Jan.
9
Multiplexed quantitative analysis of CD3, CD8, and CD20 predicts response to neoadjuvant chemotherapy in breast cancer.CD3、CD8和CD20的多重定量分析可预测乳腺癌新辅助化疗的疗效。
Clin Cancer Res. 2014 Dec 1;20(23):5995-6005. doi: 10.1158/1078-0432.CCR-14-1622. Epub 2014 Sep 25.
10
Multiplexed immunohistochemistry, imaging, and quantitation: a review, with an assessment of Tyramide signal amplification, multispectral imaging and multiplex analysis.多重免疫组织化学、成像与定量分析:综述,兼对酪胺信号放大、多光谱成像及多重分析的评估
Methods. 2014 Nov;70(1):46-58. doi: 10.1016/j.ymeth.2014.08.016. Epub 2014 Sep 19.