Suppr超能文献

利妥昔单抗治疗肾病综合征特发性膜性肾病的系统评价和荟萃分析。

Rituximab for the treatment of idiopathic membranous nephropathy with nephrotic syndrome: a systematic review and meta-analysis.

机构信息

Department of Nephrology, The First People's Hospital of Foshan, Foshan, Guangdong, China.

Department of Hematology, Affiliated Nanhai Hospital of Southern Medical University, Foshan, Guangdong, China.

出版信息

Turk J Med Sci. 2021 Dec 13;51(6):2870-2880. doi: 10.3906/sag-2104-177.

Abstract

BACKGROUND/AIM: This meta-analysis comprehensively investigated the efficacy and safety of rituximab (RTX) in patients with idiopathic membranous nephropathy (IMN).

MATERIALS AND METHODS

We searched the MEDLINE, EMBASE and Cochrane Registry of Controlled Trials databases from January 2000 to January 2020. Studies evaluating the efficacy and safety of RTX in the treatment of IMN with nephrotic syndrome (NS) were included.

RESULTS

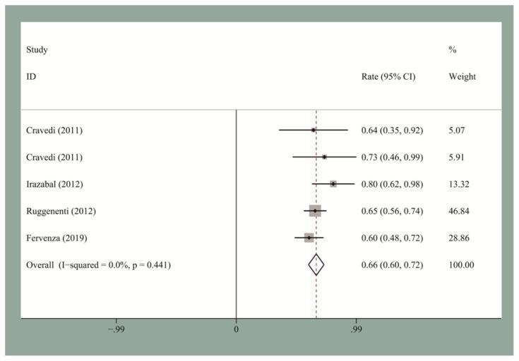
Nine studies (total of 357 patients) were included in the meta-analysis. The pooled complete response and overall response (OR) rates at 12 months were 13.2% [95% con fidence interval (CI), 0.09–0.18] and 60% (95% CI, 0.48–0.72), and those at 24 months were 27.8% (95% CI, 0.22–0.34) and 66% (95% CI, 0.6–0.72), respectively. The pooled OR rates for the low-, standard-, and high-dose groups were 39.3%, 64%, and 60%, respectively, and those for the first-line and second-line groups were 58% and 54%, respectively.

CONCLUSION

Treatment of IMN with RTX has comparable efficacy to other immunosuppressive treatments (ISTs). RTX has the advantages of no requirement for steroids and lower rates adverse event and relapse rates. Patients who relapse or are resistant to other IST agents also respond to RTX. RTX-based regimens and other B-cell-targeted therapies may represent the future of IMN therapy.

摘要

背景/目的:本荟萃分析全面研究了利妥昔单抗(RTX)治疗特发性膜性肾病(IMN)的疗效和安全性。

材料和方法

我们检索了 MEDLINE、EMBASE 和 Cochrane 对照试验登记库,检索时间从 2000 年 1 月到 2020 年 1 月。纳入评估利妥昔单抗治疗肾病综合征(NS)特发性膜性肾病患者的疗效和安全性的研究。

结果

荟萃分析纳入了 9 项研究(共 357 例患者)。12 个月时完全缓解和总缓解(OR)率的合并值分别为 13.2%(95%置信区间,0.09-0.18)和 60%(95%置信区间,0.48-0.72),24 个月时的合并值分别为 27.8%(95%置信区间,0.22-0.34)和 66%(95%置信区间,0.6-0.72)。低剂量、标准剂量和高剂量组的 OR 率分别为 39.3%、64%和 60%,一线和二线治疗组的 OR 率分别为 58%和 54%。

结论

RTX 治疗 IMN 的疗效与其他免疫抑制治疗(IST)相当。RTX 具有无需使用类固醇和较低的不良反应及复发率的优势。对其他 IST 药物产生耐药或复发的患者也对 RTX 有反应。基于 RTX 的方案和其他 B 细胞靶向治疗可能代表了 IMN 治疗的未来。

https://cdn.ncbi.nlm.nih.gov/pmc/blobs/ccac/10734821/4c1a6ae6c55f/turkjmedsci-51-6-2870f1.jpg

文献AI研究员

20分钟写一篇综述,助力文献阅读效率提升50倍。

立即体验

用中文搜PubMed

大模型驱动的PubMed中文搜索引擎

马上搜索

文档翻译

学术文献翻译模型,支持多种主流文档格式。

立即体验