Suppr超能文献

1型和2型糖尿病在骨折易感性中的作用差异:一项系统评价和荟萃分析。

Differences in the roles of types 1 and 2 diabetes in the susceptibility to the risk of fracture: a systematic review and meta-analysis.

作者信息

Dou Jiaqing, Wang Jing, Zhang Qiu

机构信息

Department of Endocrinology, The First Affiliated Hospital of Anhui Medical University, 218 Jixi Road, Shushan District, Hefei, 230022, Anhui, China.

Department of Endocrinology, Chaohu Affiliated Hospital of Anhui Medical University, Hefei, China.

出版信息

Diabetol Metab Syndr. 2021 Aug 16;13(1):84. doi: 10.1186/s13098-021-00687-8.

Abstract

BACKGROUND

Diabetes mellitus (DM) causes excess risk of fracture at varied sites. Whereas, the difference between the roles of types 1 DM (T1DM) and 2 DM (T2DM) diabetes in the risk of fractures remains limited and inconclusive. We, therefore, conducted a meta-analysis to assess the differences for the associations of T1DM and T2DM with the risk of fractures.

METHODS

We systematically searched PubMed, Embase, and the Cochrane library for eligible studies until May 2021. The odds ratios (ORs) with 95% confidence intervals (CIs) were used to calculate the pooled effect estimates for the associations of T1DM and T2DM with the risk of fractures using the random-effects model. An indirect comparison results for the ratio of OR (ROR) with 95% CI were also applied to assess the difference between T1DM and T2DM with the risk of fractures.

RESULTS

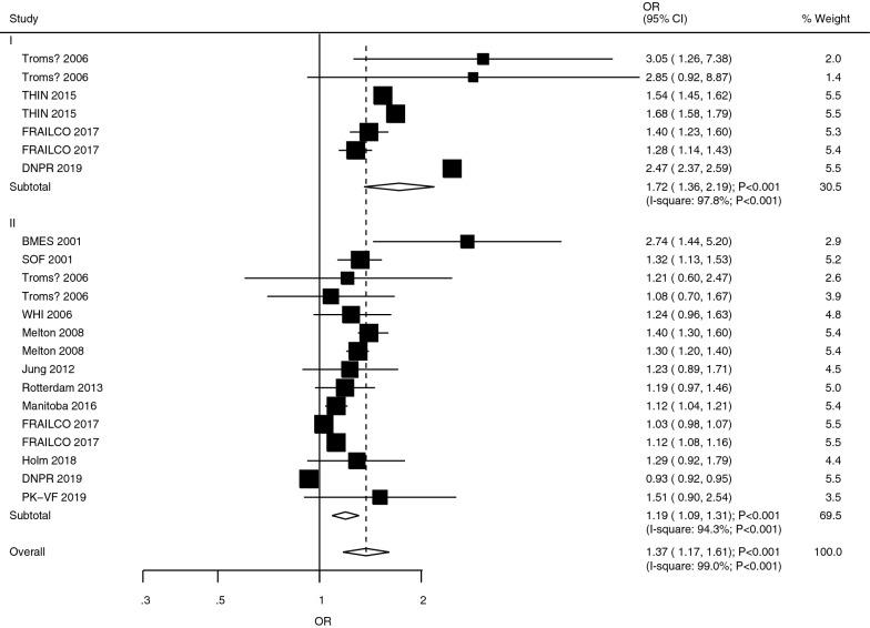
Twenty-two cohort studies involving a total of 6,484,851 individuals were selected for meta-analysis. We noted that T1DM was associated with an increased risk of all fractures (OR: 1.72; 95% CI 1.36-2.19; P < 0.001), and fractures at the hip (OR: 4.01; 95% CI 2.90-5.54; P < 0.001), upper arm (OR: 2.20; 95% CI 1.61-3.00; P < 0.001), ankle (OR: 1.97; 95% CI 1.24-3.14; P = 0.004), and vertebrae (OR: 2.18; 95% CI 1.85-2.57; P < 0.001). Moreover, T2DM induced excess risk to all fractures (OR: 1.19; 95% CI 1.09-1.31; P < 0.001), including fractures at the hip (OR: 1.25; 95% CI 1.15-1.35; P < 0.001), upper arm (OR: 1.42; 95% CI 1.20-1.67; P < 0.001), and ankle (OR: 1.15; 95% CI 1.01-1.31; P = 0.029). Furthermore, we noted that T1DM versus T2DM was associated with greater risk to all fractures (ROR: 1.45; 95% CI 1.12-1.87; P = 0.005), including fractures at the hip (ROR: 3.21; 95% CI 2.30-4.48; P < 0.001), upper arm (ROR: 1.55; 95% CI 1.09-2.20; P = 0.015), and ankle (ROR: 1.71; 95% CI 1.06-2.78; P = 0.029).

CONCLUSIONS

This study found that T1DM caused an excess risk to all fractures, including fractures at the hip, upper arm, and ankle than T2DM. Further studies should therefore be conducted to directly compare the differences between T1DM and T2DM with the risk of fractures at various sites.

摘要

背景

糖尿病(DM)会导致不同部位骨折风险增加。然而,1型糖尿病(T1DM)和2型糖尿病(T2DM)在骨折风险中的作用差异仍有限且尚无定论。因此,我们进行了一项荟萃分析,以评估T1DM和T2DM与骨折风险关联的差异。

方法

我们系统检索了PubMed、Embase和Cochrane图书馆,以获取截至2021年5月的符合条件的研究。使用随机效应模型,采用95%置信区间(CI)的比值比(OR)来计算T1DM和T2DM与骨折风险关联的合并效应估计值。还应用了95%CI的OR比值(ROR)的间接比较结果,以评估T1DM和T2DM在骨折风险方面的差异。

结果

22项队列研究共纳入6484851名个体,被选入荟萃分析。我们注意到,T1DM与所有骨折风险增加相关(OR:1.72;95%CI 1.36 - 2.19;P < 0.001),以及髋部骨折(OR:4.01;95%CI 2.90 - 5.54;P < 0.001)、上臂骨折(OR:2.20;95%CI 1.61 - 3.00;P < 0.001)、踝关节骨折(OR:1.97;95%CI 1.24 - 3.14;P = 0.004)和脊椎骨折(OR:2.18;95%CI 1.85 - 2.57;P < 0.001)。此外,T2DM会增加所有骨折风险(OR:1.19;95%CI 1.09 - 1.31;P < 0.001),包括髋部骨折(OR:1.25;95%CI 1.15 - 1.35;P < 0.001)、上臂骨折(OR:1.42;95%CI 1.20 - 1.67;P < 0.001)和踝关节骨折(OR:1.1 , 95%CI 1.01 - 1.31;P = 0.029)。此外,我们注意到与T2DM相比,T1DM与所有骨折风险更高相关(ROR:1.45;95%CI 1.12 - 1.87;P = 0.005),包括髋部骨折(ROR:3.21;95%CI 2.30 - 4.48;P < 0.001)、上臂骨折(ROR:1.55;95%CI 1.09 - 2.20;P = 0.015)和踝关节骨折(ROR:1.71;95%CI 1.06 - 2.78;P = 0.029)。

结论

本研究发现,与T2DM相比,T1DM会导致所有骨折风险增加,包括髋部、上臂和踝关节骨折。因此,应进一步开展研究,直接比较T1DM和T2DM在不同部位骨折风险方面的差异。

https://cdn.ncbi.nlm.nih.gov/pmc/blobs/605c/8369647/741024658c11/13098_2021_687_Fig1_HTML.jpg

文献AI研究员

20分钟写一篇综述,助力文献阅读效率提升50倍。

立即体验

用中文搜PubMed

大模型驱动的PubMed中文搜索引擎

马上搜索

文档翻译

学术文献翻译模型,支持多种主流文档格式。

立即体验