• 文献检索
  • 文档翻译
  • 深度研究
  • 学术资讯
  • Suppr Zotero 插件Zotero 插件
  • 邀请有礼
  • 套餐&价格
  • 历史记录
应用&插件
Suppr Zotero 插件Zotero 插件浏览器插件Mac 客户端Windows 客户端微信小程序
定价
高级版会员购买积分包购买API积分包
服务
文献检索文档翻译深度研究API 文档MCP 服务
关于我们
关于 Suppr公司介绍联系我们用户协议隐私条款
关注我们

Suppr 超能文献

核心技术专利:CN118964589B侵权必究
粤ICP备2023148730 号-1Suppr @ 2026

文献检索

告别复杂PubMed语法,用中文像聊天一样搜索,搜遍4000万医学文献。AI智能推荐,让科研检索更轻松。

立即免费搜索

文件翻译

保留排版,准确专业,支持PDF/Word/PPT等文件格式,支持 12+语言互译。

免费翻译文档

深度研究

AI帮你快速写综述,25分钟生成高质量综述,智能提取关键信息,辅助科研写作。

立即免费体验

年轻男性组与老年男性组三维肩盂肱位置和肩胛运动学比较。

Comparison of Three-Dimensional Glenohumeral Positions and Scapular Kinematics between Young and Older Male Groups.

机构信息

Department of Orthopedic Surgery, Yonsei University Wonju College of Medicine, Wonju, Korea.

出版信息

Clin Orthop Surg. 2021 Sep;13(3):376-384. doi: 10.4055/cios20238. Epub 2021 Aug 17.

DOI:10.4055/cios20238
PMID:34484631
原文链接:https://pmc.ncbi.nlm.nih.gov/articles/PMC8380533/
Abstract

BACKGROUND

Many researchers have questioned whether shoulder kinematics such as the glenohumeral position and scapular kinematics would be different in different age groups. However, studies comparing shoulder kinematics between different age groups have been rare. The aim of this study was to analyze and compare the three-dimensional (3D) glenohumeral position, scapular kinematics, and scapulohumeral rhythm (SHR) during scapular plane arm abduction between a normal young male group and a normal older male group.

METHODS

Twenty normal men (10 young and 10 older) were enrolled in this controlled laboratory study. Fluoroscopic images were obtained using a single plane X-ray system. Bilateral computed tomography scans were taken to create a 3D model. A 3D-2D registration technique was used to determine the 3D position and orientation of the bones of the shoulder.

RESULTS

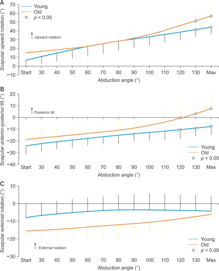
During scapular plane arm abduction, there were significant differences in scapular kinematics between the groups. The older male group showed more upward rotation, posterior tilt, and external rotation than the young male group. On the other hand, the glenohumeral position such as superior inferior translation, anterior posterior translation, and external rotation of the humeral head did not show significant difference between the groups. The mean value of SHR for the overall arm elevation range from start to maximum elevation angle for the older group and young group was 2.298 ± 0.964 and 2.622 ± 0.931, respectively, showing a significant difference between the two groups ( = 0.035).

CONCLUSIONS

Scapular kinematics and SHR were significantly different between the older male group and the young male group. Our study could provide reference values of shoulder kinematics for older men aged 55-65 years.

摘要

背景

许多研究人员质疑不同年龄组的肩部运动学(如盂肱关节位置和肩胛骨运动学)是否会有所不同。然而,比较不同年龄组肩部运动学的研究很少。本研究旨在分析和比较正常年轻男性组和正常老年男性组在肩胛骨平面臂外展过程中的三维(3D)盂肱关节位置、肩胛骨运动学和肩胛骨-肱骨节律(SHR)。

方法

本对照实验室研究纳入 20 名正常男性(10 名年轻男性和 10 名老年男性)。使用单平面 X 射线系统获取透视图像。进行双侧计算机断层扫描以创建 3D 模型。使用 3D-2D 配准技术确定肩部骨骼的 3D 位置和方向。

结果

在肩胛骨平面臂外展过程中,两组之间的肩胛骨运动学存在显著差异。老年男性组的肩胛骨旋转、后倾和外旋程度均高于年轻男性组。另一方面,盂肱关节位置(如肱骨头的上下平移、前后平移和外旋)在两组之间没有显著差异。从起始到最大抬高角度的整个手臂抬高范围内,老年组和年轻组的 SHR 的平均值分别为 2.298 ± 0.964 和 2.622 ± 0.931,两组之间存在显著差异(= 0.035)。

结论

老年男性组和年轻男性组之间的肩胛骨运动学和 SHR 存在显著差异。我们的研究可为 55-65 岁老年男性的肩部运动学提供参考值。

https://cdn.ncbi.nlm.nih.gov/pmc/blobs/69d5/8380533/58a7f2015896/cios-13-376-g004.jpg
https://cdn.ncbi.nlm.nih.gov/pmc/blobs/69d5/8380533/89dac5f264a3/cios-13-376-g001.jpg
https://cdn.ncbi.nlm.nih.gov/pmc/blobs/69d5/8380533/7630ef2f75be/cios-13-376-g002.jpg
https://cdn.ncbi.nlm.nih.gov/pmc/blobs/69d5/8380533/8c152948340d/cios-13-376-g003.jpg
https://cdn.ncbi.nlm.nih.gov/pmc/blobs/69d5/8380533/58a7f2015896/cios-13-376-g004.jpg
https://cdn.ncbi.nlm.nih.gov/pmc/blobs/69d5/8380533/89dac5f264a3/cios-13-376-g001.jpg
https://cdn.ncbi.nlm.nih.gov/pmc/blobs/69d5/8380533/7630ef2f75be/cios-13-376-g002.jpg
https://cdn.ncbi.nlm.nih.gov/pmc/blobs/69d5/8380533/8c152948340d/cios-13-376-g003.jpg
https://cdn.ncbi.nlm.nih.gov/pmc/blobs/69d5/8380533/58a7f2015896/cios-13-376-g004.jpg

相似文献

1
Comparison of Three-Dimensional Glenohumeral Positions and Scapular Kinematics between Young and Older Male Groups.年轻男性组与老年男性组三维肩盂肱位置和肩胛运动学比较。
Clin Orthop Surg. 2021 Sep;13(3):376-384. doi: 10.4055/cios20238. Epub 2021 Aug 17.
2
In vivo kinematic analysis of the glenohumeral joint during dynamic full axial rotation and scapular plane full abduction in healthy shoulders.健康肩部在动态全轴向旋转和肩胛平面全外展过程中盂肱关节的体内运动学分析。
Knee Surg Sports Traumatol Arthrosc. 2017 Jul;25(7):2032-2040. doi: 10.1007/s00167-016-4263-2. Epub 2016 Aug 10.
3
Three-dimensional in vivo scapular kinematics and scapulohumeral rhythm: a comparison between active and passive motion.三维体内肩胛骨运动学和肩胛胸节律:主动运动与被动运动的比较。
J Shoulder Elbow Surg. 2020 Jan;29(1):185-194. doi: 10.1016/j.jse.2019.05.036. Epub 2019 Aug 7.
4
In vivo 3-dimensional analysis of scapular and glenohumeral kinematics: comparison of symptomatic or asymptomatic shoulders with rotator cuff tears and healthy shoulders.肩胛骨和盂肱关节运动学的体内三维分析:有症状或无症状的肩袖撕裂肩与健康肩部的比较
J Shoulder Elbow Surg. 2015 Nov;24(11):1817-26. doi: 10.1016/j.jse.2015.06.003. Epub 2015 Jul 30.
5
Three-Dimensional Scapular Kinematics in Patients with Reverse Total Shoulder Arthroplasty during Arm Motion.反向全肩关节置换术患者手臂运动时的三维肩胛运动学
Clin Orthop Surg. 2016 Sep;8(3):316-24. doi: 10.4055/cios.2016.8.3.316. Epub 2016 Aug 10.
6
Dynamic in vivo glenohumeral kinematics during scapular plane abduction in healthy shoulders.健康肩部肩胛骨面外展过程中的动态盂肱关节运动学。
J Orthop Sports Phys Ther. 2012 Feb;42(2):96-104. doi: 10.2519/jospt.2012.3584. Epub 2011 Oct 25.
7
Dynamic scapulohumeral rhythm: Comparison between healthy shoulders and those with large or massive rotator cuff tear.动态肩肱节律:健康肩与大或巨大肩袖撕裂肩的比较。
J Orthop Surg (Hong Kong). 2020 Sep-Dec;28(3):2309499020981779. doi: 10.1177/2309499020981779.
8
Severity of rotator cuff disorders and additional load affect fluoroscopy-based shoulder kinematics during arm abduction.肩袖疾病的严重程度和额外的负荷会影响手臂外展时基于透视的肩部运动学。
J Orthop Traumatol. 2024 Jun 8;25(1):30. doi: 10.1186/s10195-024-00774-2.
9
Effect of plane of arm elevation on glenohumeral kinematics: a normative biplane fluoroscopy study.手臂抬高平面对盂肱关节运动学的影响:一项双平面荧光透视的正常标准研究。
J Bone Joint Surg Am. 2013 Feb 6;95(3):238-45. doi: 10.2106/JBJS.J.01875.
10
How Do Scapulothoracic Kinematics During Shoulder Elevation Differ Between Adults With and Without Rotator Cuff Arthropathy?患有和未患有肩袖关节病的成年人在肩部抬高过程中肩胛胸壁的运动学有何不同?
Clin Orthop Relat Res. 2020 Nov;478(11):2640-2649. doi: 10.1097/CORR.0000000000001406.

引用本文的文献

1
Scapular kinematics variability in individuals with and without rotator cuff-related shoulder pain: A systematic review with multilevel meta-regression.有和没有肩袖相关肩部疼痛的个体的肩胛骨运动学变异性:一项采用多水平元回归的系统评价
Braz J Phys Ther. 2025 Aug 21;29(6):101261. doi: 10.1016/j.bjpt.2025.101261.
2
Acute effects of lower trapezius activation exercises on shoulder muscle activation during overhead functional tasks in symptomatic and asymptomatic adults.下斜方肌激活练习对有症状和无症状成年人在过头功能任务期间肩部肌肉激活的急性影响。
PeerJ. 2025 Aug 6;13:e19861. doi: 10.7717/peerj.19861. eCollection 2025.
3

本文引用的文献

1
Differences in scapular kinematics and scapulohumeral rhythm during elevation and lowering of the arm between typical children and healthy adults.在手臂抬高和降低过程中,典型儿童与健康成年人的肩胛骨运动学和肩肱节律的差异。
J Electromyogr Kinesiol. 2014 Feb;24(1):78-83. doi: 10.1016/j.jelekin.2013.10.013. Epub 2013 Nov 11.
2
In vivo 3-dimensional analysis of scapular kinematics: comparison of dominant and nondominant shoulders.肩胛骨运动学的体内三维分析:优势肩与非优势肩的比较。
J Shoulder Elbow Surg. 2011 Jun;20(4):659-65. doi: 10.1016/j.jse.2010.09.012. Epub 2010 Dec 30.
3
Analysis of the scapulohumeral rhythm and electromyography of the shoulder muscles during elevation and lowering: comparison of dominant and nondominant shoulders.
Three-dimensional range of motion of the clavicle, scapula, and humerus during functional reach in adults aged 45-75.
45至75岁成年人功能性伸展过程中锁骨、肩胛骨和肱骨的三维活动范围。
Shoulder Elbow. 2025 Jul 2:17585732251352452. doi: 10.1177/17585732251352452.
4
The greater tuberosity version angle: a novel method of acquiring humeral alignment during intramedullary nailing.大结节旋转角度:一种在髓内钉固定过程中获取肱骨对线的新方法。
Bone Jt Open. 2024 Oct 22;5(10):929-936. doi: 10.1302/2633-1462.510.BJO-2024-0105.
上举和下降过程中肩肱节律及肩部肌肉肌电图分析:优势肩与非优势肩的比较
J Shoulder Elbow Surg. 2009 Sep-Oct;18(5):756-63. doi: 10.1016/j.jse.2009.02.021. Epub 2009 May 8.
4
Motion of the shoulder complex during multiplanar humeral elevation.多平面肱骨头抬高过程中肩部复合体的运动。
J Bone Joint Surg Am. 2009 Feb;91(2):378-89. doi: 10.2106/JBJS.G.01483.
5
The influence of handheld weight on the scapulohumeral rhythm.手持重物对肩肱节律的影响。
J Shoulder Elbow Surg. 2008 Nov-Dec;17(6):943-6. doi: 10.1016/j.jse.2008.05.047. Epub 2008 Sep 18.
6
Shoulder kinematics in 25 patients with impingement and 12 controls.25例撞击综合征患者与12例对照者的肩部运动学研究。
Clin Orthop Relat Res. 2006 Jul;448:22-7. doi: 10.1097/01.blo.0000224019.65540.d5.
7
Effects of shoulder muscle fatigue caused by repetitive overhead activities on scapulothoracic and glenohumeral kinematics.重复性上肢过顶活动引起的肩部肌肉疲劳对肩胛胸壁关节和盂肱关节运动学的影响。
J Electromyogr Kinesiol. 2006 Jun;16(3):224-35. doi: 10.1016/j.jelekin.2005.06.015. Epub 2005 Aug 24.
8
Scapular kinematics during humeral elevation in adults and children.成人和儿童肱骨抬高过程中的肩胛骨运动学
Clin Biomech (Bristol). 2005 Jul;20(6):600-6. doi: 10.1016/j.clinbiomech.2005.03.002.
9
Influence of age on scapulo-thoracic orientation.年龄对肩胛胸壁方向的影响。
Clin Biomech (Bristol). 2004 Dec;19(10):1009-13. doi: 10.1016/j.clinbiomech.2004.07.011.
10
A robust method for registration of three-dimensional knee implant models to two-dimensional fluoroscopy images.一种将三维膝关节植入模型与二维荧光透视图像配准的稳健方法。
IEEE Trans Med Imaging. 2003 Dec;22(12):1561-74. doi: 10.1109/TMI.2003.820027.