• 文献检索
  • 文档翻译
  • 深度研究
  • 学术资讯
  • Suppr Zotero 插件Zotero 插件
  • 邀请有礼
  • 套餐&价格
  • 历史记录
应用&插件
Suppr Zotero 插件Zotero 插件浏览器插件Mac 客户端Windows 客户端微信小程序
定价
高级版会员购买积分包购买API积分包
服务
文献检索文档翻译深度研究API 文档MCP 服务
关于我们
关于 Suppr公司介绍联系我们用户协议隐私条款
关注我们

Suppr 超能文献

核心技术专利:CN118964589B侵权必究
粤ICP备2023148730 号-1Suppr @ 2026

文献检索

告别复杂PubMed语法,用中文像聊天一样搜索,搜遍4000万医学文献。AI智能推荐,让科研检索更轻松。

立即免费搜索

文件翻译

保留排版,准确专业,支持PDF/Word/PPT等文件格式,支持 12+语言互译。

免费翻译文档

深度研究

AI帮你快速写综述,25分钟生成高质量综述,智能提取关键信息,辅助科研写作。

立即免费体验

德国脓毒症发病率与区域社会经济贫困程度和医疗保健能力的关系:一项生态学研究。

Association between sepsis incidence and regional socioeconomic deprivation and health care capacity in Germany - an ecological study.

机构信息

Center for Sepsis Control and Care, Jena University Hospital, Bachstraße 18, 07743, Jena, Germany.

Institute of Infectious Diseases and Infection Control, Jena University Hospital, Am Klinikum 1, 07747, Jena, Germany.

出版信息

BMC Public Health. 2021 Sep 7;21(1):1636. doi: 10.1186/s12889-021-11629-4.

DOI:10.1186/s12889-021-11629-4
PMID:34493250
原文链接:https://pmc.ncbi.nlm.nih.gov/articles/PMC8424852/
Abstract

BACKGROUND

Sepsis is a substantial health care burden. Data on regional variation in sepsis incidence in Germany and any possible associations with regional socioeconomic deprivation and health care capacity is lacking.

METHODS

Ecological study based on the nationwide hospital Diagnosis-related Groups (DRG) statistics data of 2016. We identified sepsis by ICD-10-codes and calculated crude and age-standardized incidence proportions in the 401 administrative German districts. Associations between socioeconomic and health care capacity indicators and crude and age-adjusted sepsis incidence were investigated by simple and multiple negative binomial (NB) regressions.

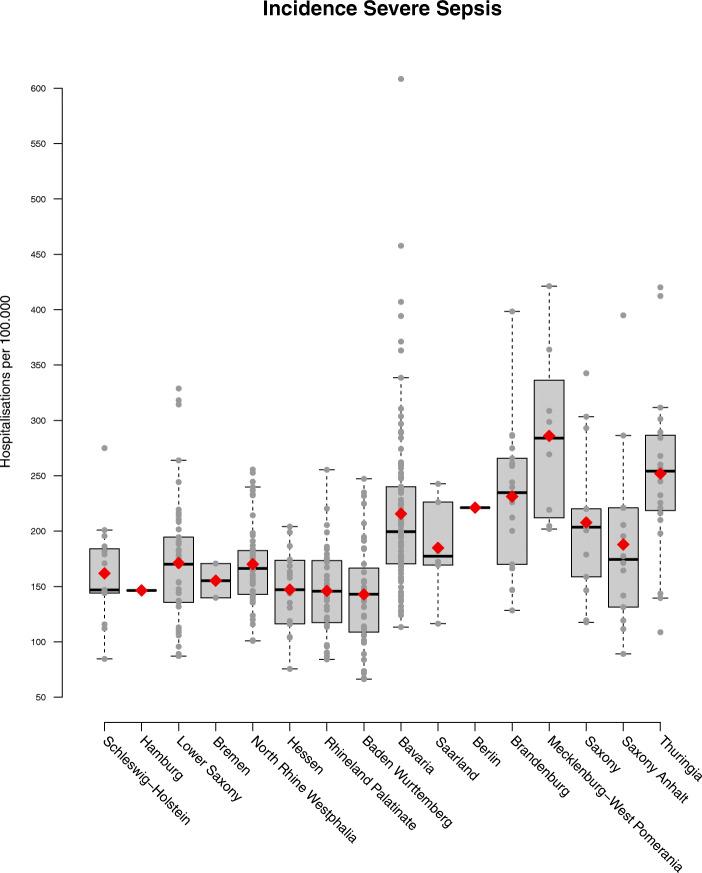
RESULTS

In 2016, sepsis incidence was 178 per 100,000 inhabitants and varied 10-fold between districts. We found that the rate of students leaving school without certificate was significantly associated with crude and age-standardized explicit sepsis incidence in the simple and multiple NB regressions. While we observed no evidence for an association to the capacity of hospital beds and general practitioners, the distance to the nearest pharmacy was associated with crude- and age-standardized sepsis incidence. In the multiple regression analyses, an increase of the mean distance + 1000 m was associated with an expected increase by 21.6 [95% CI, 10.1, 33.0] (p < 0.001), and 11.1 [95% CI, 1.0, 21.2]/100,000 population (p = .026) after adjusting for age differences between districts.

CONCLUSIONS

Residence in districts with lower socioeconomic status (e.g., less education) and further distance to pharmacies are both associated with an increased sepsis incidence. This warrants further research with individual-level patient data to better model and understand such dependencies and to ultimately design public health interventions to address the burden of sepsis in Germany.

摘要

背景

脓毒症是一个重大的医疗保健负担。缺乏关于德国脓毒症发病率的区域差异的数据,以及任何与区域社会经济贫困和医疗保健能力相关的可能关联。

方法

基于 2016 年全国医院诊断相关组(DRG)统计数据的生态研究。我们通过 ICD-10 编码确定了脓毒症,并计算了 401 个德国行政区的粗发病率和年龄标准化发病率。通过简单和多负二项式(NB)回归,研究了社会经济和医疗保健能力指标与粗发病率和年龄调整后脓毒症发病率之间的关联。

结果

2016 年,脓毒症发病率为每 10 万人 178 例,各区之间差异高达 10 倍。我们发现,辍学生比例与简单和多 NB 回归中的粗发病率和年龄标准化明确脓毒症发病率显著相关。虽然我们没有发现与医院床位和全科医生能力相关的证据,但与最近的药店的距离与粗发病率和年龄标准化脓毒症发病率相关。在多回归分析中,距离增加 +1000 米与预期增加 21.6[95%置信区间,10.1,33.0](p<0.001)和 11.1[95%置信区间,1.0,21.2]/100,000 人(p=0.026)相关,调整了各区之间的年龄差异。

结论

居住在社会经济地位较低(例如,教育程度较低)的地区以及距离药店较远的地区,脓毒症发病率都较高。这需要进一步研究以个体患者数据为基础,以更好地建立和理解这种相关性,并最终设计公共卫生干预措施来解决德国脓毒症的负担。

https://cdn.ncbi.nlm.nih.gov/pmc/blobs/69ec/8424852/2fd9636565c9/12889_2021_11629_Fig3_HTML.jpg
https://cdn.ncbi.nlm.nih.gov/pmc/blobs/69ec/8424852/b6e99773f06f/12889_2021_11629_Fig1_HTML.jpg
https://cdn.ncbi.nlm.nih.gov/pmc/blobs/69ec/8424852/faa0be19559f/12889_2021_11629_Fig2_HTML.jpg
https://cdn.ncbi.nlm.nih.gov/pmc/blobs/69ec/8424852/2fd9636565c9/12889_2021_11629_Fig3_HTML.jpg
https://cdn.ncbi.nlm.nih.gov/pmc/blobs/69ec/8424852/b6e99773f06f/12889_2021_11629_Fig1_HTML.jpg
https://cdn.ncbi.nlm.nih.gov/pmc/blobs/69ec/8424852/faa0be19559f/12889_2021_11629_Fig2_HTML.jpg
https://cdn.ncbi.nlm.nih.gov/pmc/blobs/69ec/8424852/2fd9636565c9/12889_2021_11629_Fig3_HTML.jpg

相似文献

1
Association between sepsis incidence and regional socioeconomic deprivation and health care capacity in Germany - an ecological study.德国脓毒症发病率与区域社会经济贫困程度和医疗保健能力的关系:一项生态学研究。
BMC Public Health. 2021 Sep 7;21(1):1636. doi: 10.1186/s12889-021-11629-4.
2
[Sepsis-associated deaths in Germany: characteristics and regional variation].[德国脓毒症相关死亡病例:特征与地区差异]
Bundesgesundheitsblatt Gesundheitsforschung Gesundheitsschutz. 2022 Mar;65(3):388-395. doi: 10.1007/s00103-021-03427-5. Epub 2021 Nov 8.
3
Comparing the validity of different ICD coding abstraction strategies for sepsis case identification in German claims data.比较不同 ICD 编码提取策略在德国索赔数据中脓毒症病例识别的有效性。
PLoS One. 2018 Jul 30;13(7):e0198847. doi: 10.1371/journal.pone.0198847. eCollection 2018.
4
Socioeconomic deprivation and cancer survival in Germany: an ecological analysis in 200 districts in Germany.社会经济剥夺与德国癌症患者生存状况:德国 200 个区的生态学分析
Int J Cancer. 2014 Jun 15;134(12):2951-60. doi: 10.1002/ijc.28624. Epub 2013 Dec 2.
5
Effects of short-term exposure to air pollution on hospital admissions of young children for acute lower respiratory infections in Ho Chi Minh City, Vietnam.越南胡志明市短期暴露于空气污染对幼儿急性下呼吸道感染住院率的影响。
Res Rep Health Eff Inst. 2012 Jun(169):5-72; discussion 73-83.
6
Regional health differences - developing a socioeconomic deprivation index for Germany.地区健康差异——为德国制定社会经济剥夺指数
J Health Monit. 2017 Jun 14;2(2):98-114. doi: 10.17886/RKI-GBE-2017-048.2. eCollection 2017 Jun.
7
Challenges in assessing the burden of sepsis and understanding the inequalities of sepsis outcomes between National Health Systems: secular trends in sepsis and infection incidence and mortality in Germany.评估脓毒症负担以及了解国家卫生系统之间脓毒症结局不平等方面的挑战:德国脓毒症和感染发病率及死亡率的长期趋势。
Intensive Care Med. 2018 Nov;44(11):1826-1835. doi: 10.1007/s00134-018-5377-4. Epub 2018 Oct 4.
8
Hospital Incidence and Mortality Rates of Sepsis.脓毒症的医院发病率和死亡率
Dtsch Arztebl Int. 2016 Mar 11;113(10):159-66. doi: 10.3238/arztebl.2016.0159.
9
[Regional Deprivation in Germany: Nation-wide Analysis of its Association with Mortality Using the German Index of Multiple Deprivation (GIMD)].[德国的地区贫困:使用德国多重贫困指数(GIMD)对其与死亡率的关联进行全国性分析]
Gesundheitswesen. 2016 Jan;78(1):42-8. doi: 10.1055/s-0034-1390421. Epub 2015 Feb 23.
10
Socioeconomic conditions and type 1 diabetes in childhood in North Rhine-Westphalia, Germany.德国北莱茵-威斯特法伦州儿童社会经济状况与1型糖尿病
Diabetologia. 2007 Apr;50(4):720-8. doi: 10.1007/s00125-007-0592-5. Epub 2007 Feb 9.

引用本文的文献

1
Transitional care after hospitalization for sepsis in Germany- results from the population-based AVENIR cohort study.德国脓毒症住院后的过渡性护理——基于人群的AVENIR队列研究结果
Infection. 2025 Jul 8. doi: 10.1007/s15010-025-02589-7.
2
Economic effects of next-generation sequencing diagnostics in unspecific sepsis patients - a budget impact analysis from the healthcare providers' perspective in Germany.下一代测序诊断在非特异性脓毒症患者中的经济影响 - 德国医疗保健提供者视角的预算影响分析。
Eur J Clin Microbiol Infect Dis. 2024 Dec;43(12):2311-2321. doi: 10.1007/s10096-024-04940-6. Epub 2024 Sep 24.
3
A causal relationship between educational attainment and risk of infectious diseases: A Mendelian randomisation study.

本文引用的文献

1
Spatial accessibility of general inpatient care in Germany: an analysis of surgery, internal medicine and neurology.德国普通住院护理的空间可及性:外科、内科和神经科分析
Sci Rep. 2020 Nov 5;10(1):19157. doi: 10.1038/s41598-020-76212-0.
2
Global, regional, and national sepsis incidence and mortality, 1990-2017: analysis for the Global Burden of Disease Study.全球、地区和国家脓毒症发病率和死亡率,1990-2017 年:全球疾病负担研究分析。
Lancet. 2020 Jan 18;395(10219):200-211. doi: 10.1016/S0140-6736(19)32989-7.
3
Regional differences of macrovascular disease in Northeast and South Germany: the population-based SHIP-TREND and KORA-F4 studies.
教育程度与传染病风险之间的因果关系:一项孟德尔随机化研究。
J Glob Health. 2024 Apr 26;14:04089. doi: 10.7189/jogh.14.04089.
4
Rapid systematic review on risks and outcomes of sepsis: the influence of risk factors associated with health inequalities.关于脓毒症风险和结局的快速系统评价:与健康不平等相关的危险因素的影响。
Int J Equity Health. 2024 Feb 21;23(1):34. doi: 10.1186/s12939-024-02114-6.
5
Clinical and health inequality risk factors for non-COVID-related sepsis during the global COVID-19 pandemic: a national case-control and cohort study.全球新冠疫情期间非新冠相关脓毒症的临床及健康不平等风险因素:一项全国性病例对照及队列研究
EClinicalMedicine. 2023 Nov 23;66:102321. doi: 10.1016/j.eclinm.2023.102321. eCollection 2023 Dec.
6
Understanding health care pathways of patients with sepsis: protocol of a mixed-methods analysis of health care utilization, experiences, and needs of patients with and after sepsis.了解脓毒症患者的医疗路径:一项混合方法分析脓毒症患者及其后医疗利用、体验和需求的研究方案。
BMC Health Serv Res. 2024 Jan 8;24(1):40. doi: 10.1186/s12913-023-10509-4.
7
Most patients with an increased risk for sepsis-related morbidity or death do not recognize sepsis as a medical emergency: results of a survey study using case vignettes.大多数有发生脓毒症相关发病率或死亡率增加风险的患者并未将脓毒症识别为医疗紧急情况:使用病例简述进行的调查研究结果。
Crit Care. 2023 Nov 17;27(1):446. doi: 10.1186/s13054-023-04733-x.
8
Challenges of assessing the burden of sepsis.评估脓毒症负担面临的挑战。
Med Klin Intensivmed Notfmed. 2023 Dec;118(Suppl 2):68-74. doi: 10.1007/s00063-023-01088-7. Epub 2023 Nov 17.
9
Population Sepsis Incidence, Mortality, and Trends in Hong Kong Between 2009 and 2018 Using Clinical and Administrative Data.利用临床和行政数据分析2009年至2018年香港人群的脓毒症发病率、死亡率及趋势
Clin Infect Dis. 2025 Feb 5;80(1):91-100. doi: 10.1093/cid/ciad491.
10
The effects of sociodemographic factors and comorbidities on sepsis: A nationwide Swedish cohort study.社会人口学因素和合并症对脓毒症的影响:一项瑞典全国队列研究。
Prev Med Rep. 2023 Jul 16;35:102326. doi: 10.1016/j.pmedr.2023.102326. eCollection 2023 Oct.
德国东北部和南部的大血管疾病的地域差异:基于人群的 SHIP-TREND 和 KORA-F4 研究。
BMC Public Health. 2018 Dec 3;18(1):1331. doi: 10.1186/s12889-018-6265-0.
4
Socioeconomic Inequalities in Total and Site-Specific Cancer Incidence in Germany: A Population-Based Registry Study.德国总体及特定部位癌症发病率的社会经济不平等:一项基于人群的登记研究
Front Oncol. 2018 Sep 25;8:402. doi: 10.3389/fonc.2018.00402. eCollection 2018.
5
Challenges in assessing the burden of sepsis and understanding the inequalities of sepsis outcomes between National Health Systems: secular trends in sepsis and infection incidence and mortality in Germany.评估脓毒症负担以及了解国家卫生系统之间脓毒症结局不平等方面的挑战:德国脓毒症和感染发病率及死亡率的长期趋势。
Intensive Care Med. 2018 Nov;44(11):1826-1835. doi: 10.1007/s00134-018-5377-4. Epub 2018 Oct 4.
6
Comparing the validity of different ICD coding abstraction strategies for sepsis case identification in German claims data.比较不同 ICD 编码提取策略在德国索赔数据中脓毒症病例识别的有效性。
PLoS One. 2018 Jul 30;13(7):e0198847. doi: 10.1371/journal.pone.0198847. eCollection 2018.
7
Progression into sepsis: an individualized process varying by the interaction of comorbidities with the underlying infection.进展为脓毒症:一种个体化的过程,其变化取决于合并症与基础感染的相互作用。
BMC Infect Dis. 2018 May 29;18(1):242. doi: 10.1186/s12879-018-3156-z.
8
Association of Neighborhood Socioeconomic Status With Risk of Infection and Sepsis.社区社会经济地位与感染和脓毒症风险的关联。
Clin Infect Dis. 2018 Jun 1;66(12):1940-1947. doi: 10.1093/cid/cix1109.
9
Associations between perceived stress, socioeconomic status, and health-risk behaviour in deprived neighbourhoods in Denmark: a cross-sectional study.丹麦贫困社区感知压力、社会经济地位与健康风险行为之间的关联:一项横断面研究。
BMC Public Health. 2018 Feb 13;18(1):250. doi: 10.1186/s12889-018-5170-x.
10
Socially disadvantaged city districts show a higher incidence of acute ST-elevation myocardial infarctions with elevated cardiovascular risk factors and worse prognosis.社会经济地位不利的城市地区急性ST段抬高型心肌梗死的发病率较高,心血管危险因素水平升高,预后较差。
BMC Cardiovasc Disord. 2017 Sep 22;17(1):254. doi: 10.1186/s12872-017-0683-2.