• 文献检索
  • 文档翻译
  • 深度研究
  • 学术资讯
  • Suppr Zotero 插件Zotero 插件
  • 邀请有礼
  • 套餐&价格
  • 历史记录
应用&插件
Suppr Zotero 插件Zotero 插件浏览器插件Mac 客户端Windows 客户端微信小程序
定价
高级版会员购买积分包购买API积分包
服务
文献检索文档翻译深度研究API 文档MCP 服务
关于我们
关于 Suppr公司介绍联系我们用户协议隐私条款
关注我们

Suppr 超能文献

核心技术专利:CN118964589B侵权必究
粤ICP备2023148730 号-1Suppr @ 2026

文献检索

告别复杂PubMed语法,用中文像聊天一样搜索,搜遍4000万医学文献。AI智能推荐,让科研检索更轻松。

立即免费搜索

文件翻译

保留排版,准确专业,支持PDF/Word/PPT等文件格式,支持 12+语言互译。

免费翻译文档

深度研究

AI帮你快速写综述,25分钟生成高质量综述,智能提取关键信息,辅助科研写作。

立即免费体验

民族研究增加了长期的学术参与度和成就。

Ethnic studies increases longer-run academic engagement and attainment.

机构信息

College of Education, Center for Student Success Research, University of Massachusetts, Amherst, MA 01003;

Graduate School of Education, Stanford University, Stanford, CA 94305.

出版信息

Proc Natl Acad Sci U S A. 2021 Sep 14;118(37). doi: 10.1073/pnas.2026386118.

DOI:10.1073/pnas.2026386118
PMID:34493663
原文链接:https://pmc.ncbi.nlm.nih.gov/articles/PMC8449416/
Abstract

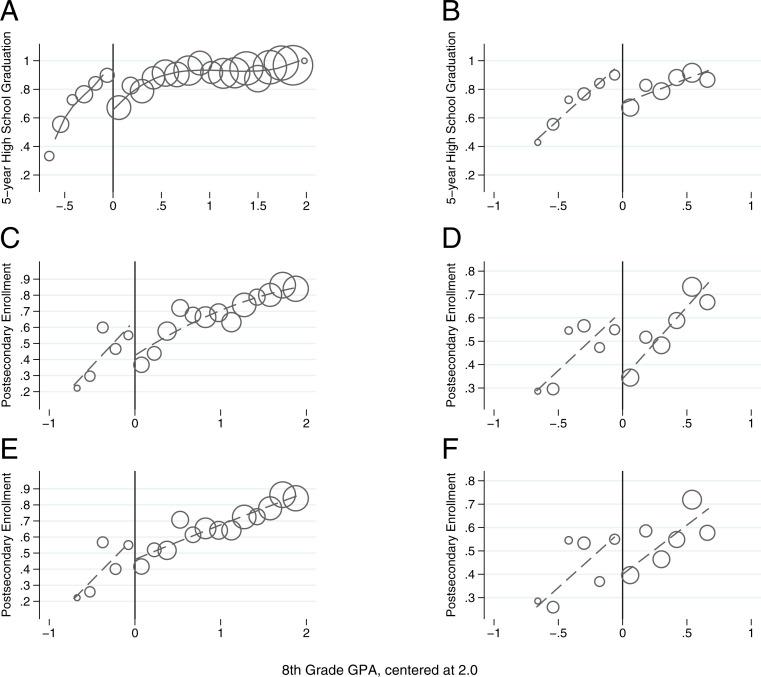
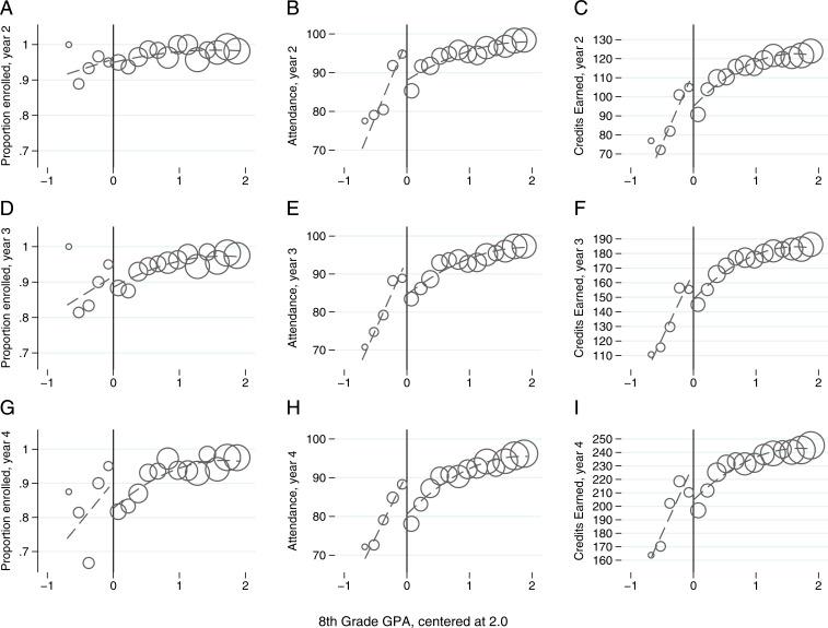
Increased interest in anti-racist education has motivated the rapidly growing but politically contentious adoption of ethnic studies (ES) courses in US public schools. A long-standing rationale for ES courses is that their emphasis on culturally relevant and critically engaged content (e.g., social justice, anti-racism, stereotypes, contemporary social movements) has potent effects on student engagement and outcomes. However, the quantitative evidence supporting this claim is limited. In this preregistered regression-discontinuity study, we examine the longer-run impact of a grade 9 ES course offered in the San Francisco Unified School District. Our key confirmatory finding is that assignment to this course significantly increased the probability of high school graduation among students near the grade 8 2.0 grade point average (GPA) threshold used for assigning students to the course. Our exploratory analyses also indicate that assignment increased measures of engagement throughout high school (e.g., attendance) as well as the probability of postsecondary matriculation.

摘要

对反种族主义教育的兴趣日益浓厚,促使美国公立学校越来越多地开设具有争议的种族研究(Ethnic Studies,简称 ES)课程。ES 课程长期以来的一个基本原理是,它们强调与文化相关且批判性参与的内容(例如社会正义、反种族主义、刻板印象、当代社会运动),对学生的参与和成果有很大的影响。然而,支持这一说法的定量证据有限。在这项预先注册的回归不连续性研究中,我们研究了旧金山联合学区提供的 9 年级 ES 课程的长期影响。我们的关键确认性发现是,在用于分配学生的 8 年级 2.0 绩点(GPA)阈值附近,选修这门课程的学生,其高中毕业的概率显著增加。我们的探索性分析还表明,选修该课程增加了整个高中阶段的参与度(例如出勤率),以及进入高等教育的概率。

https://cdn.ncbi.nlm.nih.gov/pmc/blobs/caf2/8449416/90c19d87d481/pnas.2026386118fig02.jpg
https://cdn.ncbi.nlm.nih.gov/pmc/blobs/caf2/8449416/8e52de611742/pnas.2026386118fig01.jpg
https://cdn.ncbi.nlm.nih.gov/pmc/blobs/caf2/8449416/90c19d87d481/pnas.2026386118fig02.jpg
https://cdn.ncbi.nlm.nih.gov/pmc/blobs/caf2/8449416/8e52de611742/pnas.2026386118fig01.jpg
https://cdn.ncbi.nlm.nih.gov/pmc/blobs/caf2/8449416/90c19d87d481/pnas.2026386118fig02.jpg

相似文献

1
Ethnic studies increases longer-run academic engagement and attainment.民族研究增加了长期的学术参与度和成就。
Proc Natl Acad Sci U S A. 2021 Sep 14;118(37). doi: 10.1073/pnas.2026386118.
2
Psychological and Academic Adaptation Through Universal Ethnic Studies Classes: Results of a Natural Experiment.通过普遍民族研究课程实现心理和学术适应:自然实验的结果。
J Youth Adolesc. 2024 Nov;53(11):2572-2588. doi: 10.1007/s10964-024-02039-x. Epub 2024 Jun 29.
3
Ethnic/racial discrimination moderates the effect of sleep quality on school engagement across high school.种族歧视调节了睡眠质量对高中学生学业投入的影响。
Cultur Divers Ethnic Minor Psychol. 2017 Oct;23(4):527-540. doi: 10.1037/cdp0000146. Epub 2017 Apr 10.
4
Experiences of racism, racial/ethnic attitudes, motivated fairness and mental health outcomes among primary and secondary school students.中小学生的种族主义经历、种族/民族态度、动机性公平与心理健康结果
J Youth Adolesc. 2014 Oct;43(10):1672-87. doi: 10.1007/s10964-014-0140-9. Epub 2014 Jun 6.
5
Adolescents' educational outcomes: racial and ethnic variations in peer network importance.青少年的教育成果:同伴网络重要性中的种族和族裔差异。
J Youth Adolesc. 2009 Oct;38(9):1264-79. doi: 10.1007/s10964-009-9418-8. Epub 2009 Jun 3.
6
Out-of-school settings as a developmental context for children and youth.校外环境作为儿童和青少年的发展背景。
Adv Child Dev Behav. 2005;33:43-77. doi: 10.1016/s0065-2407(05)80004-7.
7
Measuring school climate in high schools: a focus on safety, engagement, and the environment.高中学校氛围的测量:聚焦安全、参与度与环境。
J Sch Health. 2014 Sep;84(9):593-604. doi: 10.1111/josh.12186.
8
A tier 1 intervention to increase ninth grade engagement and success: Results from a randomized controlled trial.提高九年级参与度和成功率的一级干预措施:一项随机对照试验的结果。
Sch Psychol. 2020 Jan;35(1):88-98. doi: 10.1037/spq0000347. Epub 2019 Dec 12.
9
Early high school engagement in students with attention/deficit hyperactivity disorder.患有注意力缺陷多动障碍的学生早期高中阶段的参与情况。
Br J Educ Psychol. 2017 Jun;87(2):127-145. doi: 10.1111/bjep.12140. Epub 2017 Jan 5.
10
Teacher support within an ecological model of adolescent development: Predictors of school engagement.生态模式下青少年发展中的教师支持:对学校参与度的预测。
J Sch Psychol. 2018 Aug;69:1-15. doi: 10.1016/j.jsp.2018.04.003. Epub 2018 Apr 23.

引用本文的文献

1
Promoting Identity Development, Multicultural Attitudes, and Civic Engagement Through Ethnic Studies: Evidence From a Natural Experiment.通过民族研究促进身份认同发展、多元文化态度和公民参与:来自一项自然实验的证据。
Child Dev. 2025 May-Jun;96(3):966-979. doi: 10.1111/cdev.14219. Epub 2025 Jan 20.
2
Identifying Culturally Relevant School Support Profiles and Links to Academic Functioning in Adolescents.识别与青少年文化相关的学校支持模式及其与学业表现的关联。
J Youth Adolesc. 2025 Mar;54(3):785-806. doi: 10.1007/s10964-024-02098-0. Epub 2024 Oct 9.
3
It's not what you say it's what you do: School diversity ideologies and adolescent mental health and academic engagement.

本文引用的文献

1
A national experiment reveals where a growth mindset improves achievement.一项全国性实验揭示了成长型思维模式在哪里提高了成绩。
Nature. 2019 Sep;573(7774):364-369. doi: 10.1038/s41586-019-1466-y. Epub 2019 Aug 7.
2
Thinking, Fast and Slow? Some Field Experiments to Reduce Crime and Dropout in Chicago.《思考,快与慢》?芝加哥一些减少犯罪和辍学率的实地实验
Q J Econ. 2017 Feb;132(1):1-54. doi: 10.1093/qje/qjw033. Epub 2016 Oct 10.
3
Persistence and Fadeout in the Impacts of Child and Adolescent Interventions.儿童和青少年干预措施影响的持续性与消退
关键不在于你说了什么,而在于你做了什么:学校的多元理念与青少年心理健康及学业投入。
J Res Adolesc. 2025 Mar;35(1):e12998. doi: 10.1111/jora.12998. Epub 2024 Jul 11.
4
Ethnic-Racial Identity Developmental Trajectories Across the Transition to College.种族认同发展轨迹在向大学过渡过程中的变化。
J Youth Adolesc. 2023 Apr;52(4):880-898. doi: 10.1007/s10964-022-01724-z. Epub 2023 Jan 21.
5
Enhancing empowerment in young adults during the COVID-19 era in Italy through the Photovoice technique.在意大利新冠疫情期间,通过摄影发声法增强年轻人的权能。
Curr Psychol. 2022 Aug 31:1-14. doi: 10.1007/s12144-022-03635-5.
J Res Educ Eff. 2017;10(1):7-39. doi: 10.1080/19345747.2016.1232459. Epub 2016 Nov 14.
4
How does your kindergarten classroom affect your earnings? Evidence from Project Star.你们幼儿园的教室是如何影响你们的收入的?来自“明星计划”的证据。
Q J Econ. 2011;126(4):1593-660. doi: 10.1093/qje/qjr041.
5
Critical consciousness: current status and future directions.批判意识:现状与未来方向。
New Dir Child Adolesc Dev. 2011 Winter;2011(134):43-57. doi: 10.1002/cd.310.
6
A brief social-belonging intervention improves academic and health outcomes of minority students.一项简短的社会归属干预措施可改善少数族裔学生的学业和健康成绩。
Science. 2011 Mar 18;331(6023):1447-51. doi: 10.1126/science.1198364.
7
Reducing the racial achievement gap: a social-psychological intervention.缩小种族成就差距:一项社会心理干预措施。
Science. 2006 Sep 1;313(5791):1307-10. doi: 10.1126/science.1128317.
8
Knowing is half the battle: teaching stereotype threat as a means of improving women's math performance.了解就成功了一半:将刻板印象威胁作为提高女性数学成绩的一种方式来教授。
Psychol Sci. 2005 Mar;16(3):175-9. doi: 10.1111/j.0956-7976.2005.00799.x.
9
Sociopolitical development.社会政治发展
Am J Community Psychol. 2003 Mar;31(1-2):185-94. doi: 10.1023/a:1023091024140.