Food Security and Safety Niche Area, Faculty of Natural and Agricultural Sciences, North-West University, Private Bag, X2046, Mmabatho 2735, South Africa.
Genes (Basel). 2021 Sep 17;12(9):1431. doi: 10.3390/genes12091431.
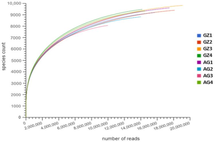
Many studies have shown that the maize rhizosphere comprises several plant growth-promoting microbes, but there is little or no study on the effects of land-use and management histories on microbial functional gene diversity in the maize rhizosphere soils in Africa. Analyzing microbial genes in the rhizosphere of plants, especially those associated with plant growth promotion and carbon cycling, is important for improving soil fertility and crop productivity. Here, we provide a comparative analysis of microbial genes present in the rhizosphere samples of two maize fields with different agricultural histories using shotgun metagenomics. Genes involved in the nutrient mobilization, including A, J, B, A, A and B, and B were significantly more abundant (α = 0.05) in former grassland (F1) rhizosphere soils. Among the carbon-cycling genes, the abundance of 12 genes, including all those involved in the degradation of methane were more significant (α = 0.05) in the F1 soils, whereas only five genes were significantly more abundant in the F2 soils. α-diversity indices were different across the samples and significant differences were observed in the β diversity of plant growth-promoting and carbon-cycling genes between the fields (ANOSIM, = 0.01 and = 0.52). Nitrate-nitrogen (N-NO) was the most influential physicochemical parameter ( 0.05 and contribution = 31.3%) that affected the distribution of the functional genes across the samples. The results indicate that land-use and management histories impact the composition and diversity of plant growth-promoting and carbon-cycling genes in the plant rhizosphere. The study widens our understanding of the effects of anthropogenic activities on plant health and major biogeochemical processes in soils.
许多研究表明,玉米根际包含几种促进植物生长的微生物,但关于土地利用和管理历史对非洲玉米根际土壤微生物功能基因多样性的影响,几乎没有研究。分析植物根际中的微生物基因,特别是那些与植物生长促进和碳循环有关的基因,对于提高土壤肥力和作物生产力非常重要。在这里,我们使用高通量宏基因组学对具有不同农业历史的两个玉米田的根际样本中的微生物基因进行了比较分析。参与养分动员的基因,包括 A、J、B、A、A 和 B,以及 B,在前草原(F1)根际土壤中更为丰富(α = 0.05)。在碳循环基因中,包括所有参与甲烷降解的基因在内的 12 个基因的丰度在 F1 土壤中更为显著(α = 0.05),而在 F2 土壤中只有 5 个基因更为丰富。α多样性指数在样本之间存在差异,并且在两个田间的植物生长促进和碳循环基因的β多样性方面观察到显著差异(ANOSIM, = 0.01 和 = 0.52)。硝酸盐氮(N-NO)是影响功能基因在样本中分布的最具影响力的理化参数( 0.05 和贡献 = 31.3%)。结果表明,土地利用和管理历史会影响植物根际中促进植物生长和碳循环的基因的组成和多样性。该研究拓宽了我们对人为活动对植物健康和土壤中主要生物地球化学过程影响的认识。