Suppr超能文献

具有定制光催化活性用于四环素降解的选定混合氧化物材料的合成

Synthesis of Selected Mixed Oxide Materials with Tailored Photocatalytic Activity in the Degradation of Tetracycline.

作者信息

Siwińska-Ciesielczyk Katarzyna, Andrzejczak Angelika, Paukszta Dominik, Piasecki Adam, Moszyński Dariusz, Zgoła-Grześkowiak Agnieszka, Jesionowski Teofil

机构信息

Institute of Chemical Technology and Engineering, Faculty of Chemical Technology, Poznan University of Technology, Berdychowo 4, PL-60965 Poznan, Poland.

Institute of Materials Science and Engineering, Faculty of Mechanical Engineering and Management, Poznan University of Technology, Jana Pawla II 24, PL-60965 Poznan, Poland.

出版信息

Materials (Basel). 2021 Sep 17;14(18):5361. doi: 10.3390/ma14185361.

Abstract

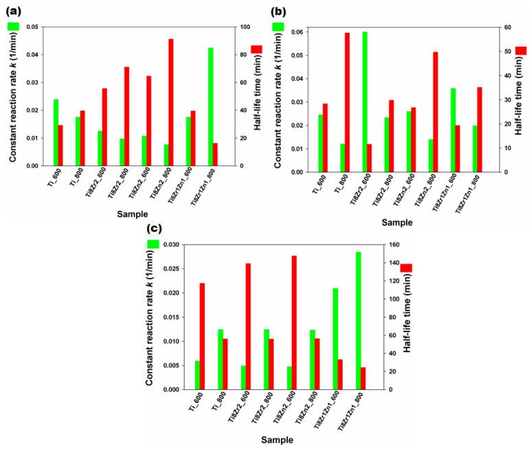
The elimination of antibiotics occurring in the natural environment has become a great challenge in recent years. Among other techniques, the photocatalytic degradation of this type of pollutant seems to be a promising approach. Thus, the search for new photoactive materials is currently of great importance. The present study concerns the sol-gel synthesis of mono, binary and ternary TiO-based materials, which are used as active photocatalysts. The main goal was to evaluate how the addition of selected components-zirconium dioxide (ZrO) and/or zinc oxide (ZnO)-during the synthesis of TiO-based materials and the temperature of thermal treatment affect the materials' physicochemical and photocatalytic properties. The fabricated mixed oxide materials underwent detailed physicochemical analysis, utilizing scanning-electron microscopy (SEM), X-ray diffraction (XRD), diffuse reflectance spectroscopy (DRS), energy-dispersive X-ray spectroscopy (EDS), low-temperature N sorption (BET model), X-ray photoelectron spectroscopy (XPS) and Fourier transform infrared spectroscopy (FTIR). The synthesized mixed oxide materials were used as photocatalysts in the heterogeneous photodegradation of tetracycline (TC). The physicochemical properties of the fabricated photocatalysts, including morphology, crystalline and textural structure, as well as the pH of the reaction system in the photocatalytic tests, were taken into account in determining their photo-oxidation activity. LC-MS/MS analysis was used to identify the possible degradation products of the selected antibiotic.

摘要

近年来,消除自然环境中的抗生素已成为一项巨大挑战。在诸多技术中,光催化降解这类污染物似乎是一种很有前景的方法。因此,目前寻找新型光活性材料至关重要。本研究涉及基于TiO的一元、二元和三元材料的溶胶 - 凝胶合成,这些材料用作活性光催化剂。主要目标是评估在基于TiO的材料合成过程中添加选定成分——二氧化锆(ZrO)和/或氧化锌(ZnO)以及热处理温度如何影响材料的物理化学和光催化性能。制备的混合氧化物材料采用扫描电子显微镜(SEM)、X射线衍射(XRD)、漫反射光谱(DRS)、能量色散X射线光谱(EDS)、低温N吸附(BET模型)、X射线光电子能谱(XPS)和傅里叶变换红外光谱(FTIR)进行了详细的物理化学分析。合成的混合氧化物材料用作光催化剂,用于四环素(TC)的多相光降解。在确定其光氧化活性时,考虑了制备的光催化剂的物理化学性质,包括形态、晶体和纹理结构,以及光催化测试中反应体系的pH值。采用LC-MS/MS分析来鉴定所选抗生素的可能降解产物。

https://cdn.ncbi.nlm.nih.gov/pmc/blobs/53e0/8471185/9317a71236f8/materials-14-05361-g001.jpg

文献检索

告别复杂PubMed语法,用中文像聊天一样搜索,搜遍4000万医学文献。AI智能推荐,让科研检索更轻松。

立即免费搜索

文件翻译

保留排版,准确专业,支持PDF/Word/PPT等文件格式,支持 12+语言互译。

免费翻译文档

深度研究

AI帮你快速写综述,25分钟生成高质量综述,智能提取关键信息,辅助科研写作。

立即免费体验