Suppr超能文献

仪器化袜子在健康受试者和伴足部关节炎的银屑病关节炎患者在跑步机和地面行走时步态时空参数的准确性和精密度。

The Accuracy and Precision of Gait Spatio-Temporal Parameters Extracted from an Instrumented Sock during Treadmill and Overground Walking in Healthy Subjects and Patients with a Foot Impairment Secondary to Psoriatic Arthritis.

机构信息

Faculty of Medicine and Health Sciences, Université de Sherbrooke, Sherbrooke, QC J1H 5N4, Canada.

Research Center on Aging, CIUSSS Estrie CHUS, Sherbrooke, QC J1H 4C4, Canada.

出版信息

Sensors (Basel). 2021 Sep 15;21(18):6179. doi: 10.3390/s21186179.

Abstract

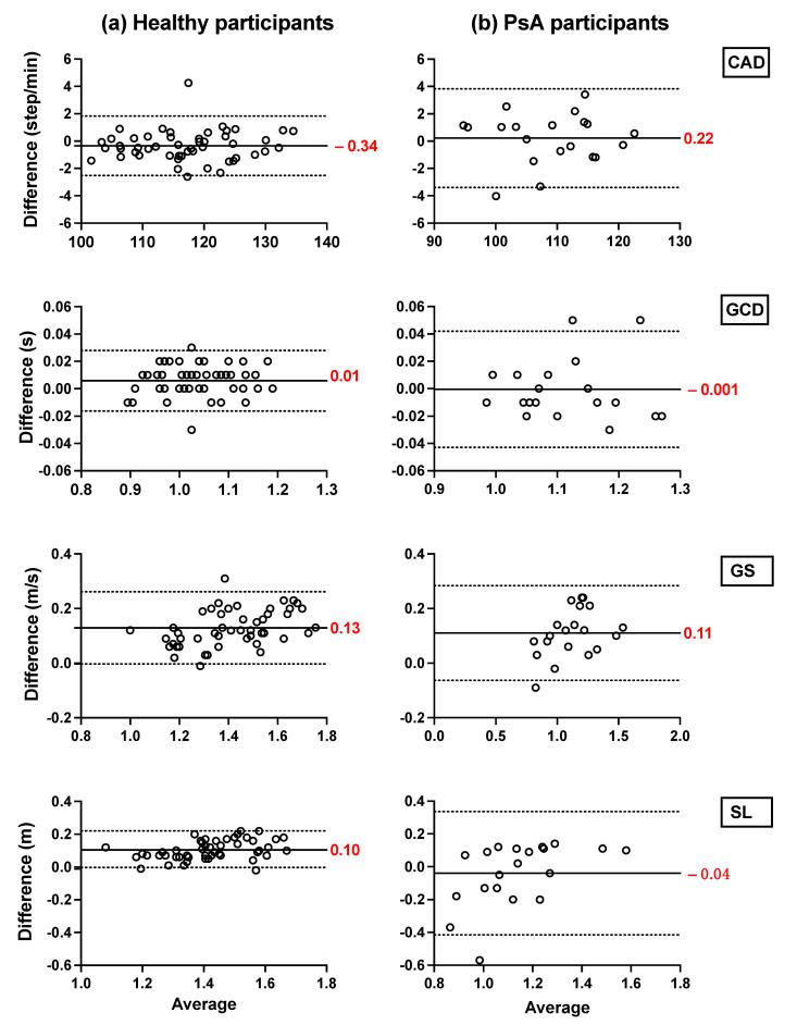
The objectives of this study were to assess the accuracy and precision of a system combining an IMU-instrumented sock and a validated algorithm for the estimation of the spatio-temporal parameters of gait. A total of 25 healthy participants (HP) and 21 patients with foot impairments secondary to psoriatic arthritis (PsA) performed treadmill walking at three different speeds and overground walking at a comfortable speed. HP performed the assessment over two sessions. The proposed system's estimations of cadence (CAD), gait cycle duration (GCD), gait speed (GS), and stride length (SL) obtained for treadmill walking were validated versus those estimated with a motion capture system. The system was also compared with a well-established multi-IMU-based system for treadmill and overground walking. The results showed a good agreement between the motion capture system and the IMU-instrumented sock in estimating the spatio-temporal parameters during the treadmill walking at normal and fast speeds for both HP and PsA participants. The accuracy of GS and SL obtained from the IMU-instrumented sock was better compared to the established multi-IMU-based system in both groups. The precision (inter-session reliability) of the gait parameter estimations obtained from the IMU-instrumented sock was good to excellent for overground walking and treadmill walking at fast speeds, but moderate-to-good for slow and normal treadmill walking. The proposed IMU-instrumented sock offers a novel form factor addressing the wearability issues of IMUs and could potentially be used to measure spatio-temporal parameters under clinical conditions and free-living conditions.

摘要

本研究的目的是评估一种将 IMU 传感器袜子和经过验证的算法相结合的系统的准确性和精密度,该系统用于估计步态的时空参数。共有 25 名健康参与者(HP)和 21 名因银屑病关节炎(PsA)而导致足部损伤的患者在三种不同速度的跑步机上和舒适速度的地面上进行行走。HP 在两次评估中进行了测试。所提出的系统对跑步机行走的步频(CAD)、步态周期持续时间(GCD)、行走速度(GS)和步长(SL)的估计与使用运动捕捉系统估计的结果进行了验证。该系统还与基于多 IMU 的跑步机和地面行走的成熟系统进行了比较。结果表明,在正常和快速速度下,运动捕捉系统和 IMU 传感器袜子在估计跑步机行走的时空参数方面具有良好的一致性,无论是对于 HP 还是 PsA 参与者。与基于多 IMU 的成熟系统相比,IMU 传感器袜子在两种人群中均能更好地获得 GS 和 SL 的准确性。与基于多 IMU 的成熟系统相比,IMU 传感器袜子在两种人群中均能更好地获得 GS 和 SL 的准确性。IMU 传感器袜子在高速跑步机和地面行走中的步态参数估计的精度(组内可靠性)良好至优秀,但在低速和正常跑步机行走中则为中等至良好。该新型 IMU 传感器袜子具有新颖的形式因素,解决了 IMU 的佩戴问题,并且有可能在临床和自由生活条件下用于测量时空参数。

https://cdn.ncbi.nlm.nih.gov/pmc/blobs/b6bd/8472002/22bbf7ff4191/sensors-21-06179-g001.jpg

文献AI研究员

20分钟写一篇综述,助力文献阅读效率提升50倍。

立即体验

用中文搜PubMed

大模型驱动的PubMed中文搜索引擎

马上搜索

文档翻译

学术文献翻译模型,支持多种主流文档格式。

立即体验