Suppr超能文献

循环 miR-497 和 Metadherin 在肝细胞癌中的表达:与肿瘤特征和患者生存的关系。

The Expression of Circulating miR-497 and Metadherin in Hepatocellular Carcinoma: Relation to the Tumor Characteristics and Patients' Survival.

机构信息

Clinical Pathology Department, Faculty of Medicine, Tanta University, Tanta 31527, Egypt.

Clinical Oncology Department, Faculty of Medicine, Tanta University, Tanta 31527, Egypt.

出版信息

Medicina (Kaunas). 2021 Aug 24;57(9):866. doi: 10.3390/medicina57090866.

Abstract

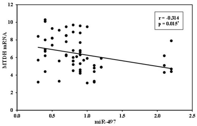
: This study aimed to evaluate the prognostic significance and relationship of miR-497 and metadherin to hepatocellular carcinoma (HCC) tumor characteristics and patients' survival. : This study enrolled 120 (60 HCC patients and 60 healthy) subjects. Serum miR-497 and metadherin mRNA relative expression were analyzed by real-time quantitative reverse transcription polymerase chain reaction. The overall survival (OS) of HCC patients was assessed using the Kaplan-Meier curve and log-rank test. : Serum miR-497 showed statistically significant downregulation in HCC patients compared to controls ( < 0.001). Serum metadherin mRNA relative expression was significantly upregulated in HCC patients compared to controls ( < 0.001). Both serum miR-497 and metadherin mRNA expression were significantly associated with the number of tumor foci ( = 0.028 and 0.001, respectively), tumor size ( = 0.022 and <0.001, respectively), nodal metastasis ( = 0.003 and 0.003, respectively), distant metastasis ( = 0.003 and 0.003, respectively), vascular invasion ( = 0.040 and <0.001, respectively), and BCLC staging ( = 0.043 and 0.004, respectively). The overall survival was lower in patients with low miR-497 expression ( = 0.046) and in patients with high metadherin expression ( < 0.001). : The expression levels of miR-497 showed downregulation in HCC patients, but metadherin expression showed upregulation. Both markers were inversely related and closely correlated with tumor characteristics and patients' survival.

摘要

本研究旨在评估 miR-497 和 metadherin 对肝细胞癌(HCC)肿瘤特征和患者生存的预后意义及相关性。

本研究纳入了 120 名受试者(60 名 HCC 患者和 60 名健康对照者)。采用实时定量逆转录聚合酶链反应分析血清 miR-497 和 metadherin mRNA 的相对表达。采用 Kaplan-Meier 曲线和对数秩检验评估 HCC 患者的总生存期(OS)。

与对照组相比,HCC 患者血清 miR-497 表达水平呈显著下调( < 0.001)。与对照组相比,HCC 患者血清 metadherin mRNA 相对表达水平显著上调( < 0.001)。血清 miR-497 和 metadherin mRNA 表达均与肿瘤灶数目( = 0.028 和 0.001)、肿瘤大小( = 0.022 和 <0.001)、淋巴结转移( = 0.003 和 0.003)、远处转移( = 0.003 和 0.003)、血管侵犯( = 0.040 和 <0.001)和 BCLC 分期( = 0.043 和 0.004)显著相关。miR-497 低表达( = 0.046)和 metadherin 高表达( < 0.001)的患者总生存期较低。

HCC 患者 miR-497 表达下调,而 metadherin 表达上调。这两个标志物呈负相关,与肿瘤特征和患者生存密切相关。

https://cdn.ncbi.nlm.nih.gov/pmc/blobs/7287/8468780/995aea9ccc66/medicina-57-00866-g001.jpg

文献AI研究员

20分钟写一篇综述,助力文献阅读效率提升50倍。

立即体验

用中文搜PubMed

大模型驱动的PubMed中文搜索引擎

马上搜索

文档翻译

学术文献翻译模型,支持多种主流文档格式。

立即体验