Suppr超能文献

行为减肥干预期间长期体重减轻轨迹的预测因素:一项探索性分析。

Predictors of long-term weight loss trajectories during a behavioral weight loss intervention: An exploratory analysis.

作者信息

Ostendorf Danielle M, Blankenship Jennifer M, Grau Laura, Arbet Jaron, Mitchell Nia S, Creasy Seth A, Caldwell Ann E, Melanson Edward L, Phelan Suzanne, Bessesen Daniel H, Catenacci Victoria A

机构信息

Department of Medicine Anschutz Health and Wellness Center University of Colorado Anschutz Medical Campus Aurora Colorado USA.

Department of Medicine Division of Endocrinology, Metabolism, and Diabetes University of Colorado Anschutz Medical Campus Aurora Colorado USA.

出版信息

Obes Sci Pract. 2021 May 19;7(5):569-582. doi: 10.1002/osp4.530. eCollection 2021 Oct.

Abstract

BACKGROUND

Substantial interindividual variability in response to behavioral weight loss interventions remains a critical challenge in obesity treatment. An improved understanding of the complex factors that contribute to this variability may improve obesity treatment outcomes.

OBJECTIVE

To identify weight change trajectories during a behavioral weight loss intervention and to explore differences between trajectory groups in sociodemographic, biologic, behavioral, and psychosocial factors.

METHODS

Adults ( = 170, 40 ± 9 years, BMI 34 ± 4 kg/m, 84% female) participated in an 18-month behavioral weight loss intervention. Weight was measured at 0, 3, 6, 9, 12, 15, 18, and 24 months. Among participants with at least two weights after baseline ( = 140), clusters of longitudinal trajectories of changes in weight were identified using a latent class growth mixture model. The association between baseline factors or changes in factors over time and trajectory group was examined.

RESULTS

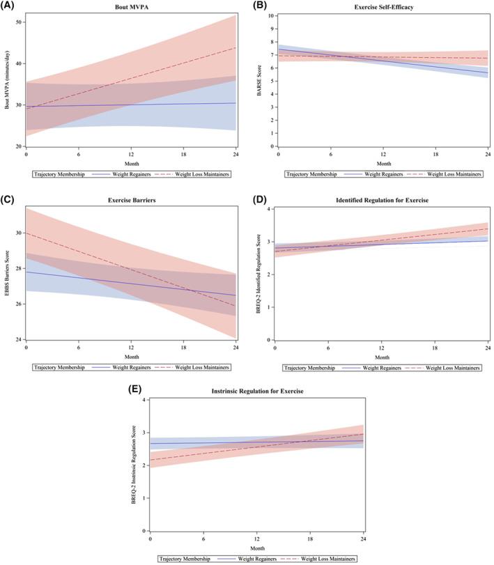
Two weight change trajectories were identified: "weight regainers" ( = 91) and "weight loss maintainers" ( = 49). Black participants (90%, 19/21) were more likely than non-Black participants to be regainers versus maintainers ( < 0.01). Maintainers demonstrated greater increases in device-measured physical activity, autonomous motivation for exercise, diet self-efficacy, cognitive restraint, and engagement in weight management behaviors and greater reductions in barriers for exercise, disinhibition, and depressive symptoms over 24 months versus regainers ( < 0.05).

CONCLUSION

Maintainers and regainers appear to be distinct trajectories that are associated with specific sociodemographic, behavioral, and psychosocial factors. Study results suggest potential targets for more tailored, multifaceted interventions to improve obesity treatment outcomes.

摘要

背景

在肥胖治疗中,个体对行为减肥干预的反应存在显著差异,这仍是一个关键挑战。更好地理解导致这种差异的复杂因素可能会改善肥胖治疗效果。

目的

确定行为减肥干预期间的体重变化轨迹,并探讨轨迹组在社会人口学、生物学、行为和心理社会因素方面的差异。

方法

成年人(n = 170,40±9岁,BMI 34±4 kg/m²,84%为女性)参加了为期18个月的行为减肥干预。在0、3、6、9、12,、15、18和24个月测量体重。在基线后至少有两次体重测量的参与者(n = 140)中,使用潜在类别增长混合模型确定体重变化的纵向轨迹聚类。检查基线因素或因素随时间的变化与轨迹组之间的关联。

结果

确定了两种体重变化轨迹:“体重反弹者”(n = 91)和“体重减轻维持者”(n = 49)。与非黑人参与者相比,黑人参与者(90%,19/21)成为体重反弹者而非维持者的可能性更高(P < 0.01)。与体重反弹者相比,维持者在24个月内表现出设备测量的身体活动、运动的自主动机、饮食自我效能、认知克制以及参与体重管理行为方面有更大的增加,并且在运动障碍、去抑制和抑郁症状方面有更大的减少(P < 0.05)。

结论

维持者和体重反弹者似乎是不同的轨迹,与特定的社会人口学、行为和心理社会因素相关。研究结果表明了更具针对性、多方面干预的潜在目标,以改善肥胖治疗效果。

https://cdn.ncbi.nlm.nih.gov/pmc/blobs/c415/8488452/2c05c66faeea/OSP4-7-569-g004.jpg

文献检索

告别复杂PubMed语法,用中文像聊天一样搜索,搜遍4000万医学文献。AI智能推荐,让科研检索更轻松。

立即免费搜索

文件翻译

保留排版,准确专业,支持PDF/Word/PPT等文件格式,支持 12+语言互译。

免费翻译文档

深度研究

AI帮你快速写综述,25分钟生成高质量综述,智能提取关键信息,辅助科研写作。

立即免费体验