Suppr超能文献

不同水环境下基于微胶囊的胶结珊瑚砂的力学行为与愈合效率

Mechanical Behavior and Healing Efficiency of Microcapsule-Based Cemented Coral Sand under Various Water Environments.

作者信息

Qin Yue, Wang Qiankun, Xu Dongsheng, Chen Wei

机构信息

School of Civil Engineering and Architecture, Wuhan University of Technology, Wuhan 430070, China.

出版信息

Materials (Basel). 2021 Sep 25;14(19):5571. doi: 10.3390/ma14195571.

Abstract

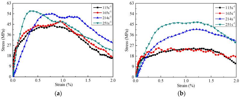
The cracks in the cemented coral sand (CCS) would result in significant damage for the marine structures. In this study, the effective and efficiency of microcapsules in self-healing CCS under various water environments were investigated with a series of experimental tests. Firstly, a new preparation method was proposed to fabricate the microcapsules with a wide particle size distribution, which was adapted to the high porosity, large difference in pore size, and uneven distribution of CCS. Secondly, the mechanical properties of microcapsule-based CCS were examined by the uniaxial compressive tests and split Hopkinson pressure bar (SHPB) tests. The results indicated that the microcapsule could improve the initial strength of CCS. The CCS mixed with 3% of the microcapsule that synthesized under a rotating speed of 450 rmp had the highest compressive strength at the initial strain state. Finally, the healing efficiency of microcapsule for CCS was investigated in various environmental conditions, which were freshwater, seawater, and water of various pH values. The non-destructive experiment approach of the piezoelectric transducer (PZT) test was adopted to evaluate the healing efficiency of microcapsules. Experimental results indicated that the healing efficiency of microcapsules in freshwater and seawater were 75% and 59.56%, respectively. In contrast, the acid and alkali water environment would greatly reduce the healing efficiency of microcapsules in CCS.

摘要

胶结珊瑚砂(CCS)中的裂缝会对海洋结构造成严重破坏。在本研究中,通过一系列实验测试,研究了微胶囊在不同水环境下对胶结珊瑚砂的自修复效果和效率。首先,提出了一种新的制备方法来制造粒径分布广泛的微胶囊,该方法适用于胶结珊瑚砂孔隙率高、孔径差异大且分布不均的特点。其次,通过单轴压缩试验和分离式霍普金森压杆(SHPB)试验研究了基于微胶囊的胶结珊瑚砂的力学性能。结果表明,微胶囊可以提高胶结珊瑚砂的初始强度。在450转/分钟转速下合成的3%微胶囊与胶结珊瑚砂混合,在初始应变状态下具有最高的抗压强度。最后,在淡水、海水和不同pH值的水等各种环境条件下研究了微胶囊对胶结珊瑚砂的修复效率。采用压电换能器(PZT)试验的无损实验方法来评估微胶囊的修复效率。实验结果表明,微胶囊在淡水和海水中的修复效率分别为75%和59.56%。相比之下,酸碱水环境会大大降低微胶囊对胶结珊瑚砂的修复效率。

https://cdn.ncbi.nlm.nih.gov/pmc/blobs/d3c2/8509439/bb3460c8212f/materials-14-05571-g001.jpg

文献检索

告别复杂PubMed语法,用中文像聊天一样搜索,搜遍4000万医学文献。AI智能推荐,让科研检索更轻松。

立即免费搜索

文件翻译

保留排版,准确专业,支持PDF/Word/PPT等文件格式,支持 12+语言互译。

免费翻译文档

深度研究

AI帮你快速写综述,25分钟生成高质量综述,智能提取关键信息,辅助科研写作。

立即免费体验