Suppr超能文献

尝试合成一系列吡唑类化合物,得到了具有抗真菌活性的新型腙类化合物,包括对唑类耐药的 菌株。

Attempts to Access a Series of Pyrazoles Lead to New Hydrazones with Antifungal Potential against species including Azole-Resistant Strains.

机构信息

Faculty of Chemistry, "Alexandru Ioan Cuza" University of Iași, Bd. Carol I 11, 700506 Iași, Romania.

Inserm U1285, CHU Lille, UGSF UMR CNRS 8576, Glycobiology in Fungal and Clinical Applications, Unité de Glycobiologie Structurale et Fonctionnelle, University of Lille, 59000 Lille, France.

出版信息

Molecules. 2021 Sep 27;26(19):5861. doi: 10.3390/molecules26195861.

Abstract

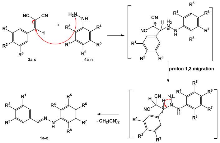
The treatment of benzylidenemalononitriles with phenylhydrazines in refluxing ethanol did not provide pyrazole derivatives, but instead furnished hydrazones. The structure of hydrazones was secured by X-ray analysis. The chemical proof was also obtained by direct reaction of 3,4,5-trimethoxybenzaldehyde with 2,4-dichlorophenylhydrazine. Newly synthesized hydrazones were tested against eight spp. strains in a dose response assay to determine the minimum inhibitory concentration (MIC). Five compounds were identified as promising antifungal agents against spp. ( SC5314, , , and (R azoles)), with MIC values ranging from 16 to 32 µg/mL and selective antifungal activity over cytotoxicity.

摘要

用苯肼回流乙醇处理亚苄基丙二腈并没有得到吡唑衍生物,而是得到了腙。通过 X 射线分析确定了腙的结构。通过 3,4,5-三甲氧基苯甲醛与 2,4-二氯苯肼的直接反应也得到了化学证据。新合成的腙在剂量反应测定中针对 8 株 spp. 菌株进行了测试,以确定最小抑菌浓度(MIC)。五种化合物被鉴定为有希望的抗 spp. (SC5314、、、和 (唑类))的抗真菌剂,其 MIC 值范围为 16 至 32 µg/mL,对细胞毒性具有选择性抗真菌活性。

https://cdn.ncbi.nlm.nih.gov/pmc/blobs/7dae/8512829/4d48ca9da473/molecules-26-05861-g001.jpg

文献AI研究员

20分钟写一篇综述,助力文献阅读效率提升50倍。

立即体验

用中文搜PubMed

大模型驱动的PubMed中文搜索引擎

马上搜索

文档翻译

学术文献翻译模型,支持多种主流文档格式。

立即体验