• 文献检索
  • 文档翻译
  • 深度研究
  • 学术资讯
  • Suppr Zotero 插件Zotero 插件
  • 邀请有礼
  • 套餐&价格
  • 历史记录
应用&插件
Suppr Zotero 插件Zotero 插件浏览器插件Mac 客户端Windows 客户端微信小程序
定价
高级版会员购买积分包购买API积分包
服务
文献检索文档翻译深度研究API 文档MCP 服务
关于我们
关于 Suppr公司介绍联系我们用户协议隐私条款
关注我们

Suppr 超能文献

核心技术专利:CN118964589B侵权必究
粤ICP备2023148730 号-1Suppr @ 2026

文献检索

告别复杂PubMed语法,用中文像聊天一样搜索,搜遍4000万医学文献。AI智能推荐,让科研检索更轻松。

立即免费搜索

文件翻译

保留排版,准确专业,支持PDF/Word/PPT等文件格式,支持 12+语言互译。

免费翻译文档

深度研究

AI帮你快速写综述,25分钟生成高质量综述,智能提取关键信息,辅助科研写作。

立即免费体验

‘Apple’芒果的角质层沉积速率低会增加弹性应变,削弱角质层并增加麻点。

Low cuticle deposition rate in 'Apple' mango increases elastic strain, weakens the cuticle and increases russet.

机构信息

Institute for Horticultural Production Systems, Leibniz-University Hannover, Hannover, Germany.

出版信息

PLoS One. 2021 Oct 13;16(10):e0258521. doi: 10.1371/journal.pone.0258521. eCollection 2021.

DOI:10.1371/journal.pone.0258521
PMID:34644345
原文链接:https://pmc.ncbi.nlm.nih.gov/articles/PMC8513900/
Abstract

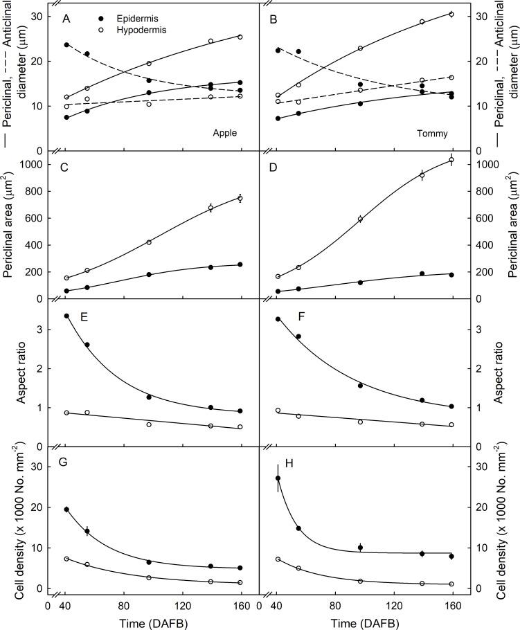
Russeting compromises appearance and downgrades the market value of many fruitcrops, including of the mango cv. 'Apple'. The objective was to identify the mechanistic basis of 'Apple' mango's high susceptibility to russeting. We focused on fruit growth, cuticle deposition, stress/strain relaxation analysis and the mechanical properties of the cuticle. The non-susceptible mango cv. 'Tommy Atkins' served for comparison. Compared with 'Tommy Atkins', fruit of 'Apple' had a lower mass, a smaller surface area and a lower growth rate. There were little differences between the epidermal and hypodermal cells of 'Apple' and 'Tommy Atkins' including cell size, cell orientation and cell number. Lenticel density decreased during development, being lower in 'Apple' than in 'Tommy Atkins'. The mean lenticel area increased during development but was consistently greater in 'Apple' than in 'Tommy Atkins'. The deposition rate of the cuticular membrane was initially rapid but later slowed till it matched the area expansion rate, thereafter mass per unit area was effectively constant. The cuticle of 'Apple' is thinner than that of 'Tommy Atkins'. Cumulative strain increased sigmoidally with fruit growth. Strains released stepwise on excision and isolation (εexc+iso), and on wax extraction (εextr) were higher in 'Apple' than in 'Tommy Atkins'. Membrane stiffness increased during development being consistently lower in 'Apple' than in 'Tommy Atkins'. Membrane fracture force (Fmax) was low and constant in developing 'Apple' but increased in 'Tommy Atkin'. Membrane strain at fracture (εmax) decreased linearly during development but was lower in 'Apple' than in 'Tommy Atkins'. Frequency of membrane failure associated with lenticels increased during development and was consistently higher in 'Apple' than in 'Tommy Atkins'. The lower rate of cuticular deposition, the higher strain releases on excision, isolation and wax extraction and the weaker cuticle account for the high russet susceptibility of 'Apple' mango.

摘要

皱皮降低了许多水果作物的外观和市场价值,包括芒果 cv. 'Apple'。本研究旨在确定 'Apple'芒果高度易皱皮的机制基础。我们专注于果实生长、角质层沉积、应力/应变松弛分析和角质层的机械性能。非易感芒果 cv. 'Tommy Atkins' 作为对照。与 'Tommy Atkins' 相比,'Apple' 果实的质量较低,表面积较小,生长速度较慢。'Apple'和 'Tommy Atkins' 的表皮和下皮细胞几乎没有差异,包括细胞大小、细胞方向和细胞数量。气腔密度在发育过程中下降,'Apple'中的气腔密度低于 'Tommy Atkins'。平均气腔面积在发育过程中增加,但 'Apple'中的面积始终大于 'Tommy Atkins'。角质层膜的沉积速率最初很快,但后来减慢,直到与面积扩张速率相匹配,此后单位面积的质量基本保持不变。'Apple'的角质层比 'Tommy Atkins'薄。随着果实生长,累积应变呈 S 形增加。在切除和隔离(ε exc+iso)以及蜡提取(ε extr)时释放的应变(ε exc+iso)在 'Apple'中高于 'Tommy Atkins'。在发育过程中,膜硬度增加,'Apple'中的膜硬度始终低于 'Tommy Atkins'。膜断裂力(Fmax)在发育中的 'Apple'中较低且恒定,但在 'Tommy Atkin'中增加。膜断裂时的应变(ε max)在发育过程中呈线性下降,但 'Apple'中的应变低于 'Tommy Atkins'。与气腔相关的膜失效频率在发育过程中增加,且在 'Apple'中始终高于 'Tommy Atkins'。角质层沉积率较低、切除、隔离和蜡提取时释放的应变较高以及角质层较弱是 'Apple'芒果高度易皱皮的原因。

https://cdn.ncbi.nlm.nih.gov/pmc/blobs/d982/8513900/4817280338cf/pone.0258521.g010.jpg
https://cdn.ncbi.nlm.nih.gov/pmc/blobs/d982/8513900/533477e5b9c9/pone.0258521.g001.jpg
https://cdn.ncbi.nlm.nih.gov/pmc/blobs/d982/8513900/8cc12131cca3/pone.0258521.g002.jpg
https://cdn.ncbi.nlm.nih.gov/pmc/blobs/d982/8513900/45bfb0ed2059/pone.0258521.g003.jpg
https://cdn.ncbi.nlm.nih.gov/pmc/blobs/d982/8513900/450d06f9d936/pone.0258521.g004.jpg
https://cdn.ncbi.nlm.nih.gov/pmc/blobs/d982/8513900/5090eb6eb9ef/pone.0258521.g005.jpg
https://cdn.ncbi.nlm.nih.gov/pmc/blobs/d982/8513900/1594816cad11/pone.0258521.g006.jpg
https://cdn.ncbi.nlm.nih.gov/pmc/blobs/d982/8513900/83a70564ffd7/pone.0258521.g007.jpg
https://cdn.ncbi.nlm.nih.gov/pmc/blobs/d982/8513900/3b90bcd4bdeb/pone.0258521.g008.jpg
https://cdn.ncbi.nlm.nih.gov/pmc/blobs/d982/8513900/a1f0847f07fa/pone.0258521.g009.jpg
https://cdn.ncbi.nlm.nih.gov/pmc/blobs/d982/8513900/4817280338cf/pone.0258521.g010.jpg
https://cdn.ncbi.nlm.nih.gov/pmc/blobs/d982/8513900/533477e5b9c9/pone.0258521.g001.jpg
https://cdn.ncbi.nlm.nih.gov/pmc/blobs/d982/8513900/8cc12131cca3/pone.0258521.g002.jpg
https://cdn.ncbi.nlm.nih.gov/pmc/blobs/d982/8513900/45bfb0ed2059/pone.0258521.g003.jpg
https://cdn.ncbi.nlm.nih.gov/pmc/blobs/d982/8513900/450d06f9d936/pone.0258521.g004.jpg
https://cdn.ncbi.nlm.nih.gov/pmc/blobs/d982/8513900/5090eb6eb9ef/pone.0258521.g005.jpg
https://cdn.ncbi.nlm.nih.gov/pmc/blobs/d982/8513900/1594816cad11/pone.0258521.g006.jpg
https://cdn.ncbi.nlm.nih.gov/pmc/blobs/d982/8513900/83a70564ffd7/pone.0258521.g007.jpg
https://cdn.ncbi.nlm.nih.gov/pmc/blobs/d982/8513900/3b90bcd4bdeb/pone.0258521.g008.jpg
https://cdn.ncbi.nlm.nih.gov/pmc/blobs/d982/8513900/a1f0847f07fa/pone.0258521.g009.jpg
https://cdn.ncbi.nlm.nih.gov/pmc/blobs/d982/8513900/4817280338cf/pone.0258521.g010.jpg

相似文献

1
Low cuticle deposition rate in 'Apple' mango increases elastic strain, weakens the cuticle and increases russet.‘Apple’芒果的角质层沉积速率低会增加弹性应变,削弱角质层并增加麻点。
PLoS One. 2021 Oct 13;16(10):e0258521. doi: 10.1371/journal.pone.0258521. eCollection 2021.
2
Lenticels are sites of initiation of microcracking and russeting in 'Apple' mango.气生根是‘苹果’芒果微裂和皱皮的起始部位。
PLoS One. 2023 Sep 1;18(9):e0291129. doi: 10.1371/journal.pone.0291129. eCollection 2023.
3
The 'Tommy Atkins' mango genome reveals candidate genes for fruit quality.《汤米·阿特金斯》芒果基因组揭示了果实品质的候选基因。
BMC Plant Biol. 2021 Feb 22;21(1):108. doi: 10.1186/s12870-021-02858-1.
4
Russeting in 'Apple' Mango: Triggers and Mechanisms.“苹果”芒的锈斑:触发因素与机制
Plants (Basel). 2020 Jul 16;9(7):898. doi: 10.3390/plants9070898.
5
Rapid and non-destructive determination of quality parameters in the 'Tommy Atkins' mango using a novel handheld near infrared spectrometer.使用新型手持式近红外光谱仪快速无损测定“汤米·阿特金斯”芒果的品质参数
Food Chem. 2016 Apr 15;197 Pt B:1207-14. doi: 10.1016/j.foodchem.2015.11.080. Epub 2015 Nov 24.
6
Impact of electrolyzed water as pre-treatments on drying properties and total colour difference of fresh-cut 'Tommy Atkins' mangoes.电解水预处理对鲜切‘汤米·阿特金斯’芒果干燥特性和总色差的影响。
Heliyon. 2023 Jul 26;9(8):e18555. doi: 10.1016/j.heliyon.2023.e18555. eCollection 2023 Aug.
7
Metabolite profiling of the ripening of Mangoes L. cv. 'Tommy Atkins' by real-time measurement of volatile organic compounds.通过实时测量挥发性有机化合物对芒果品种‘汤米·阿特金斯’成熟过程进行代谢物分析。
Metabolomics. 2016;12:57. doi: 10.1007/s11306-016-0973-1. Epub 2016 Feb 18.
8
Mismatch between cuticle deposition and area expansion in fruit skins allows potentially catastrophic buildup of elastic strain.果皮角质层沉积与面积扩张之间的不匹配会导致弹性应变潜在地灾难性累积。
Planta. 2016 Nov;244(5):1145-1156. doi: 10.1007/s00425-016-2572-9. Epub 2016 Jul 28.
9
Fruit Growth Stage Transitions in Two Mango Cultivars Grown in a Mediterranean Environment.地中海环境下两种芒果品种的果实生长阶段转变
Plants (Basel). 2021 Jun 29;10(7):1332. doi: 10.3390/plants10071332.
10
Effect of Resin Ducts and Sap Content on Infestation and Development of Immature Stages of Anastrepha obliqua and Anastrepha ludens (Diptera: Tephritidae) in Four Mango (Sapindales: Anacardiaceae) Cultivars.树脂道和树液含量对斜纹果实蝇和拉美实蝇未成熟阶段在四个芒果品种(无患子目:漆树科)上的侵染及发育的影响
J Econ Entomol. 2017 Apr 1;110(2):719-730. doi: 10.1093/jee/tow279.

引用本文的文献

1
Naturally russeted and wound russeted skins of mango (cv. 'Apple') show no differences in anatomy, chemical composition or gene expression.芒果(品种‘苹果芒’)的自然锈皮和伤口锈皮在解剖结构、化学成分或基因表达方面没有差异。
Sci Rep. 2025 Jan 18;15(1):2366. doi: 10.1038/s41598-025-86563-1.
2
Cuticle deposition ceases during strawberry fruit development.角质层在草莓果实发育过程中停止沉积。
BMC Plant Biol. 2024 Jun 29;24(1):623. doi: 10.1186/s12870-024-05327-7.
3
Microscopic and metabolic investigations disclose the factors that lead to skin cracking in chili-type pepper fruit varieties.

本文引用的文献

1
Russeting in Apple Is Initiated After Exposure to Moisture Ends-I. Histological Evidence.苹果的锈斑在接触水分结束后开始形成——I. 组织学证据。
Plants (Basel). 2020 Sep 30;9(10):1293. doi: 10.3390/plants9101293.
2
Surface moisture increases microcracking and water vapour permeance of apple fruit skin.表面水分会增加苹果果皮的微裂纹和水蒸气透过率。
Plant Biol (Stuttg). 2021 Jan;23(1):74-82. doi: 10.1111/plb.13178. Epub 2020 Oct 28.
3
Russet Susceptibility in Apple is Associated with Skin Cells that Are Larger, More Variable in Size, and of Reduced Fracture Strain.
微观和代谢研究揭示了导致辣椒型辣椒果实品种出现果皮开裂的因素。
Hortic Res. 2023 Feb 28;10(4):uhad036. doi: 10.1093/hr/uhad036. eCollection 2023 Apr.
4
Lenticels are sites of initiation of microcracking and russeting in 'Apple' mango.气生根是‘苹果’芒果微裂和皱皮的起始部位。
PLoS One. 2023 Sep 1;18(9):e0291129. doi: 10.1371/journal.pone.0291129. eCollection 2023.
5
Advances in Understanding the Causes, Molecular Mechanism, and Perspectives of Russeting on Tree Fruit.果树锈斑形成原因、分子机制及研究展望的进展
Front Plant Sci. 2022 Feb 28;13:834109. doi: 10.3389/fpls.2022.834109. eCollection 2022.
苹果对赤褐色病的易感性与更大、大小更不均一且断裂应变降低的表皮细胞有关。
Plants (Basel). 2020 Aug 29;9(9):1118. doi: 10.3390/plants9091118.
4
Russeting in 'Apple' Mango: Triggers and Mechanisms.“苹果”芒的锈斑:触发因素与机制
Plants (Basel). 2020 Jul 16;9(7):898. doi: 10.3390/plants9070898.
5
Cuticular Fractures Promote Postharvest Fruit Rot in Sweet Cherries.表皮破裂促进甜樱桃采后果实腐烂。
Plant Dis. 2000 Nov;84(11):1180-1184. doi: 10.1094/PDIS.2000.84.11.1180.
6
Mechanical properties of cuticles and their primary determinants.表皮的力学性质及其主要决定因素。
J Exp Bot. 2017 Nov 9;68(19):5351-5367. doi: 10.1093/jxb/erx265.
7
Mismatch between cuticle deposition and area expansion in fruit skins allows potentially catastrophic buildup of elastic strain.果皮角质层沉积与面积扩张之间的不匹配会导致弹性应变潜在地灾难性累积。
Planta. 2016 Nov;244(5):1145-1156. doi: 10.1007/s00425-016-2572-9. Epub 2016 Jul 28.
8
Evidence for a radial strain gradient in apple fruit cuticles.苹果果实表皮中存在径向应变梯度的证据。
Planta. 2014 Oct;240(4):891-7. doi: 10.1007/s00425-014-2132-0. Epub 2014 Aug 20.
9
Intracuticular wax fixes and restricts strain in leaf and fruit cuticles.角质层内的蜡质固定并限制了叶片和果实角质层的张力。
New Phytol. 2013 Oct;200(1):134-143. doi: 10.1111/nph.12355. Epub 2013 Jun 10.
10
Russeting in apple and pear: a plastic periderm replaces a stiff cuticle.苹果和梨的果锈:一种柔韧的周皮替代了刚性的角质层。
AoB Plants. 2013;5:pls048. doi: 10.1093/aobpla/pls048. Epub 2013 Jan 23.