• 文献检索
  • 文档翻译
  • 深度研究
  • 学术资讯
  • Suppr Zotero 插件Zotero 插件
  • 邀请有礼
  • 套餐&价格
  • 历史记录
应用&插件
Suppr Zotero 插件Zotero 插件浏览器插件Mac 客户端Windows 客户端微信小程序
定价
高级版会员购买积分包购买API积分包
服务
文献检索文档翻译深度研究API 文档MCP 服务
关于我们
关于 Suppr公司介绍联系我们用户协议隐私条款
关注我们

Suppr 超能文献

核心技术专利:CN118964589B侵权必究
粤ICP备2023148730 号-1Suppr @ 2026

文献检索

告别复杂PubMed语法,用中文像聊天一样搜索,搜遍4000万医学文献。AI智能推荐,让科研检索更轻松。

立即免费搜索

文件翻译

保留排版,准确专业,支持PDF/Word/PPT等文件格式,支持 12+语言互译。

免费翻译文档

深度研究

AI帮你快速写综述,25分钟生成高质量综述,智能提取关键信息,辅助科研写作。

立即免费体验

随风或随翼:园艺系统中的传粉综合征和异花授粉。

By wind or wing: pollination syndromes and alternate bearing in horticultural systems.

机构信息

Department of Biology, Tufts University, Medford MA 02155 USA.

出版信息

Philos Trans R Soc Lond B Biol Sci. 2021 Dec 6;376(1839):20200371. doi: 10.1098/rstb.2020.0371. Epub 2021 Oct 18.

DOI:10.1098/rstb.2020.0371
PMID:34657465
原文链接:https://pmc.ncbi.nlm.nih.gov/articles/PMC8520786/
Abstract

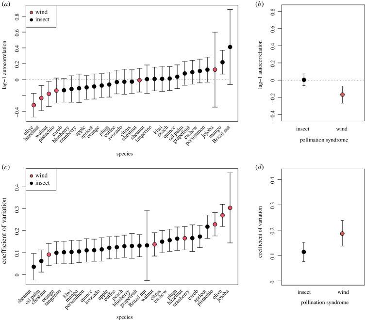
Cyclical fluctuations in reproductive output are widespread among perennial plants, from multi-year masting cycles in forest trees to alternate bearing in horticultural crops. In natural systems, ecological drivers such as climate and pollen limitation can result in synchrony among plants. Agricultural practices are generally assumed to outweigh ecological drivers that might synchronize alternate-bearing individuals, but this assumption has not been rigorously assessed and little is known about the role of pollen limitation as a driver of synchrony in alternate-bearing crops. We tested whether alternate-bearing perennial crops show signs of alternate bearing at a national scale and whether the magnitude of national-scale alternate bearing differs across pollination syndromes. We analysed the Food and Agriculture Organization of the United Nations time series (1961-2018) of national crop yields across the top-producing countries of 27 alternate-bearing taxa, 6 wind-pollinated and 21 insect-pollinated. Alternate bearing was common in these national data and more pronounced in wind-pollinated taxa, which exhibited a more negative lag-1 autocorrelation and a higher coefficient of variation (CV). We highlight the mutual benefits of integrating ecological theory and agricultural data for (i) advancing our understanding of perennial plant reproduction across time, space and taxa, and (ii) promoting stable farmer livelihoods and global food supply. This article is part of the theme issue 'The ecology and evolution of synchronized seed production in plants'.

摘要

周期性波动的生殖输出在多年生植物中普遍存在,从森林树木的多年结实周期到园艺作物的交替结实。在自然系统中,生态驱动因素如气候和花粉限制可能导致植物之间的同步性。农业实践通常被认为比可能使交替结实个体同步的生态驱动因素更为重要,但这一假设尚未经过严格评估,对于花粉限制作为交替结实作物同步的驱动因素的作用知之甚少。我们检验了在全国范围内,多年生的、具有周期性结实的作物是否存在周期性结实的迹象,以及在不同授粉综合征下,全国范围内的周期性结实程度是否存在差异。我们分析了联合国粮食及农业组织(FAO)在 27 个具有周期性结实的分类群的主要生产国家的时间序列(1961-2018 年),其中 6 个是风授粉的,21 个是虫媒授粉的。在这些国家数据中,周期性结实很常见,在风授粉的分类群中更为明显,它们表现出更负的滞后 1 自相关和更高的变异系数(CV)。我们强调了将生态理论和农业数据相结合的互惠互利,这对于(i)增进我们对跨时间、空间和分类群的多年生植物生殖的理解,以及(ii)促进稳定的农民生计和全球粮食供应,都具有重要意义。本文是主题为“植物中同步种子生产的生态和进化”的一部分。

https://cdn.ncbi.nlm.nih.gov/pmc/blobs/ab8d/8520786/ede24c75c8bf/rstb20200371f04.jpg
https://cdn.ncbi.nlm.nih.gov/pmc/blobs/ab8d/8520786/532363cd874b/rstb20200371f01.jpg
https://cdn.ncbi.nlm.nih.gov/pmc/blobs/ab8d/8520786/479ccf246f6e/rstb20200371f02.jpg
https://cdn.ncbi.nlm.nih.gov/pmc/blobs/ab8d/8520786/371a5ba280f1/rstb20200371f03.jpg
https://cdn.ncbi.nlm.nih.gov/pmc/blobs/ab8d/8520786/ede24c75c8bf/rstb20200371f04.jpg
https://cdn.ncbi.nlm.nih.gov/pmc/blobs/ab8d/8520786/532363cd874b/rstb20200371f01.jpg
https://cdn.ncbi.nlm.nih.gov/pmc/blobs/ab8d/8520786/479ccf246f6e/rstb20200371f02.jpg
https://cdn.ncbi.nlm.nih.gov/pmc/blobs/ab8d/8520786/371a5ba280f1/rstb20200371f03.jpg
https://cdn.ncbi.nlm.nih.gov/pmc/blobs/ab8d/8520786/ede24c75c8bf/rstb20200371f04.jpg

相似文献

1
By wind or wing: pollination syndromes and alternate bearing in horticultural systems.随风或随翼:园艺系统中的传粉综合征和异花授粉。
Philos Trans R Soc Lond B Biol Sci. 2021 Dec 6;376(1839):20200371. doi: 10.1098/rstb.2020.0371. Epub 2021 Oct 18.
2
Masting in wind-pollinated trees: system-specific roles of weather and pollination dynamics in driving seed production.风媒传粉树木中的结实性:天气和传粉动力在驱动种子产生方面的系统特异性作用。
Ecology. 2017 Oct;98(10):2615-2625. doi: 10.1002/ecy.1951. Epub 2017 Aug 22.
3
Wind of change: new insights on the ecology and evolution of pollination and mating in wind-pollinated plants.变革之风:对风媒植物授粉与交配的生态学及进化的新见解
Ann Bot. 2009 Jun;103(9):1515-27. doi: 10.1093/aob/mcp035. Epub 2009 Feb 14.
4
Flowering synchrony drives reproductive success in a wind-pollinated tree.花期同步促进风媒传粉树种的生殖成功。
Ecol Lett. 2020 Dec;23(12):1820-1826. doi: 10.1111/ele.13609. Epub 2020 Sep 27.
5
Pollen limitation and flower abortion in a wind-pollinated, masting tree.一种风媒传粉的大年结实树木中的花粉限制与花败育
Ecology. 2015 Feb;96(2):587-93. doi: 10.1890/14-0297.1.
6
The best of two worlds: ecology and evolution of ambophilous plants.两全其美:兼性植物的生态学与进化
Biol Rev Camb Philos Soc. 2023 Apr;98(2):391-420. doi: 10.1111/brv.12911. Epub 2022 Oct 21.
7
Effects of heterospecific pollen from a wind-pollinated and pesticide-treated plant on reproductive success of an insect-pollinated species.风媒且施过农药的异源花粉对虫媒授粉物种生殖成功的影响。
Am J Bot. 2018 May;105(5):836-841. doi: 10.1002/ajb2.1090. Epub 2018 May 25.
8
Community-wide assessment of pollen limitation in hummingbird-pollinated plants of a tropical montane rain forest.对热带山地雨林中蜂鸟传粉植物花粉限制的全社区评估。
Ann Bot. 2013 Sep;112(5):903-10. doi: 10.1093/aob/mct140. Epub 2013 Jul 11.
9
Climate Change Strengthens Selection for Mast Seeding in European Beech.气候变化增强了欧洲山毛榉大年结实的选择作用。
Curr Biol. 2020 Sep 7;30(17):3477-3483.e2. doi: 10.1016/j.cub.2020.06.056. Epub 2020 Jul 9.
10
Importance of pollinators in changing landscapes for world crops.传粉者在不断变化的景观中对世界作物的重要性。
Proc Biol Sci. 2007 Feb 7;274(1608):303-13. doi: 10.1098/rspb.2006.3721.

引用本文的文献

1
Mast years increase wind pollination and reduce seed predation in sugar maple (Acer saccharum).大年增加了糖枫(糖槭)的风媒授粉并减少了种子捕食。
Am J Bot. 2025 Jun;112(6):e70046. doi: 10.1002/ajb2.70046. Epub 2025 May 22.
2
Masting is uncommon in trees that depend on mutualist dispersers in the context of global climate and fertility gradients.在全球气候和肥力梯度的背景下,依赖共生传播者的树木中,mast 现象并不常见。
Nat Plants. 2023 Jul;9(7):1044-1056. doi: 10.1038/s41477-023-01446-5. Epub 2023 Jun 29.
3
Shading Net and Partial Covering Plastic Film Do Not Affect Phenology, Photosynthetic Activity or Fruit Quality Traits of Kensington Pride Mango.

本文引用的文献

1
V.PhyloMaker2: An updated and enlarged R package that can generate very large phylogenies for vascular plants.V.PhyloMaker2:一个经过更新和扩充的R软件包,可生成用于维管植物的非常大型的系统发育树。
Plant Divers. 2022 May 27;44(4):335-339. doi: 10.1016/j.pld.2022.05.005. eCollection 2022 Jul.
2
Modes of climate variability bridge proximate and evolutionary mechanisms of masting.气候变异模式连接着结实周期和进化机制。
Philos Trans R Soc Lond B Biol Sci. 2021 Dec 6;376(1839):20200380. doi: 10.1098/rstb.2020.0380. Epub 2021 Oct 18.
3
The effects of ENSO and the North American monsoon on mast seeding in two Rocky Mountain conifer species.
遮阳网和部分覆盖塑料薄膜不影响肯辛顿骄傲芒果的物候期、光合活性或果实品质性状。
Plants (Basel). 2022 Dec 14;11(24):3510. doi: 10.3390/plants11243510.
4
Relationships between trunk radial growth and fruit yield in apple and pear trees on size-controlling rootstocks.乔化砧苹果树和梨树干周径向生长与果实产量的关系。
Ann Bot. 2022 Sep 26;130(4):477-489. doi: 10.1093/aob/mcac089.
5
The ecology and evolution of synchronized reproduction in long-lived plants.长寿命植物中同步繁殖的生态和进化。
Philos Trans R Soc Lond B Biol Sci. 2021 Dec 6;376(1839):20200369. doi: 10.1098/rstb.2020.0369. Epub 2021 Oct 18.
ENSO 和北美季风对落矶山两种针叶树结实的影响。
Philos Trans R Soc Lond B Biol Sci. 2021 Dec 6;376(1839):20200378. doi: 10.1098/rstb.2020.0378. Epub 2021 Oct 18.
4
Studying the genetic basis of masting.研究结实周期性的遗传基础。
Philos Trans R Soc Lond B Biol Sci. 2021 Dec 6;376(1839):20210116. doi: 10.1098/rstb.2021.0116. Epub 2021 Oct 18.
5
Flowering synchrony drives reproductive success in a wind-pollinated tree.花期同步促进风媒传粉树种的生殖成功。
Ecol Lett. 2020 Dec;23(12):1820-1826. doi: 10.1111/ele.13609. Epub 2020 Sep 27.
6
Density dependent Resource Budget Model for alternate bearing.交替结果的密度依赖资源预算模型
J Theor Biol. 2021 Jan 21;509:110498. doi: 10.1016/j.jtbi.2020.110498. Epub 2020 Sep 21.
7
Climate Change Strengthens Selection for Mast Seeding in European Beech.气候变化增强了欧洲山毛榉大年结实的选择作用。
Curr Biol. 2020 Sep 7;30(17):3477-3483.e2. doi: 10.1016/j.cub.2020.06.056. Epub 2020 Jul 9.
8
Mast seeding patterns are asynchronous at a continental scale.桅杆的播种模式在大陆范围内是不同步的。
Nat Plants. 2020 May;6(5):460-465. doi: 10.1038/s41477-020-0647-x. Epub 2020 Apr 27.
9
Biogeography and phylogeny of masting: do global patterns fit functional hypotheses?大年结实的生物地理学与系统发育:全球模式是否符合功能假说?
New Phytol. 2020 Sep;227(5):1557-1567. doi: 10.1111/nph.16617. Epub 2020 May 14.
10
From theory to experiments for testing the proximate mechanisms of mast seeding: an agenda for an experimental ecology.从理论到实验,检验花粉散布的近因机制:实验生态学议程。
Ecol Lett. 2020 Feb;23(2):210-220. doi: 10.1111/ele.13442. Epub 2019 Dec 19.