Zhang Hao, Liu Renzheng, Sun Lin, Hu Xiao
Department of Hepatobiliary Pancreatic Surgery, The Affiliated Hospital of Qingdao University, Qingdao, Shandong, China.
Department of ICU, The Affiliated Hospital of Qingdao University, Qingdao, Shandong, China.
J Oncol. 2021 Oct 7;2021:9512774. doi: 10.1155/2021/9512774. eCollection 2021.
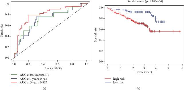
Hepatocellular carcinoma (HCC) is the most common primary liver malignancy and is a leading cause of cancer-related death worldwide. This study aimed to establish a reliable prognostic model for HCC using histological grades and the expression levels of related genes. The histological grade of a tumor provides prognostic information. The expression data of HCC samples were downloaded from The Cancer Genome Atlas (TCGA) database. We employed the univariate and multivariate Cox regression analyses, as well as the least absolute shrinkage and selection operator (LASSO) regression to establish the prognostic model. After verification of the proposed model using data downloaded from the International Cancer Genome Consortium (ICGC) database, we found that the model was highly reliable, and it was revealed that the prognosis in the high-risk group was significantly worse than that in the low-risk group. Next, we explored the correlation of RiskScore with patients' clinicopathological characteristics, and we found that the RiskScore could be used as an independent prognostic factor, which further confirmed the reliability of our model. In summary, the proposed model could accurately predict the prognosis of HCC patients, assisting clinicians to study the roles of different histological grades of HCC.
肝细胞癌(HCC)是最常见的原发性肝脏恶性肿瘤,也是全球癌症相关死亡的主要原因。本研究旨在利用组织学分级和相关基因的表达水平建立一种可靠的HCC预后模型。肿瘤的组织学分级可提供预后信息。HCC样本的表达数据从癌症基因组图谱(TCGA)数据库下载。我们采用单变量和多变量Cox回归分析以及最小绝对收缩和选择算子(LASSO)回归来建立预后模型。使用从国际癌症基因组联盟(ICGC)数据库下载的数据对所提出的模型进行验证后,我们发现该模型高度可靠,并且显示高风险组的预后明显差于低风险组。接下来,我们探讨了风险评分(RiskScore)与患者临床病理特征的相关性,发现RiskScore可作为独立的预后因素,这进一步证实了我们模型的可靠性。总之,所提出的模型能够准确预测HCC患者的预后,有助于临床医生研究不同组织学分级的HCC的作用。