Suppr超能文献

低放养密度对虹鳟幼鱼畜牧学参数及生理反应的影响

Effects of Low Stocking Densities on Zootechnical Parameters and Physiological Responses of Rainbow Trout () Juveniles.

作者信息

Roy Jérôme, Terrier Frederic, Marchand Michael, Herman Alexandre, Heraud Cécile, Surget Anne, Lanuque Anthony, Sandres Franck, Marandel Lucie

机构信息

E2S UPPA, UMR1419 Nutrition Metabolism and Aquaculture, Aquapôle, Université de Pau et des Pays de l'Adour, INRAE, F-64310 Saint-Pée-sur-Nivelle, France.

出版信息

Biology (Basel). 2021 Oct 13;10(10):1040. doi: 10.3390/biology10101040.

Abstract

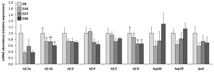
The present study investigated the effect of low stocking density on growth, survival, feed parameters and physiological responses (blood metabolites, welfare indicators, immune biomarkers, and transcriptomic responses of stress and immune-related genes) on juvenile rainbow trout () reared under a recirculating aquaculture system during 12 weeks. Fish (average weight 29.64 g) were reared in triplicate under four initial densities: nine fish per tank (D9, 3.76 ± 0.06 kg/m), 18 fish per tank (D18, 7.66 ± 0.18 kg/m), 27 fish per tank (D27, 9.67 ± 0.01 kg/m) and 36 fish per tank (D36, 12.94 ± 0.14 kg/m). Results showed that lower stocking density D9 significantly altered survival with several fish dying during the experiment and an alteration of growth and feed efficiency for the remaining fish. In parallel, the study revealed that low stocking density induced a chronic stress altering the physiological responses of trout by dysregulation of the inflammatory, immune system, and indolamine/catecholamine brain levels. In conclusion, regarding all the variables observed, low stocking density (D9) alters survival, growth and feed efficiency of rainbow trout with alteration of their physiological responses. Selecting appropriate fish density relating to rearing conditions proved to be an essential concern to improve welfare in an aquaculture context.

摘要

本研究调查了低放养密度对循环水养殖系统中饲养12周的虹鳟幼鱼生长、存活、饲料参数及生理反应(血液代谢物、福利指标、免疫生物标志物以及应激和免疫相关基因的转录组反应)的影响。鱼(平均体重29.64克)在四种初始密度下进行重复养殖:每箱9尾鱼(D9,3.76±0.06千克/立方米)、每箱18尾鱼(D18,7.66±0.18千克/立方米)、每箱27尾鱼(D27,9.67±0.01千克/立方米)和每箱36尾鱼(D36,12.94±0.14千克/立方米)。结果表明,较低的放养密度D9显著改变了存活率,实验期间有几条鱼死亡,并且剩余鱼的生长和饲料效率也发生了改变。同时,该研究表明低放养密度引发了慢性应激,通过炎症、免疫系统以及吲哚胺/儿茶酚胺脑水平的失调改变了虹鳟的生理反应。总之,就所有观察到的变量而言,低放养密度(D9)改变了虹鳟的存活、生长和饲料效率,并改变了它们的生理反应。事实证明,根据养殖条件选择合适的鱼类密度是水产养殖中改善福利的一个重要问题。

https://cdn.ncbi.nlm.nih.gov/pmc/blobs/b0dd/8533621/b9c1e5d467da/biology-10-01040-g001.jpg

文献AI研究员

20分钟写一篇综述,助力文献阅读效率提升50倍。

立即体验

用中文搜PubMed

大模型驱动的PubMed中文搜索引擎

马上搜索

文档翻译

学术文献翻译模型,支持多种主流文档格式。

立即体验