Suppr超能文献

冷却窒息新生儿的液体供应与喂养方法

Fluid Supply and Feeding Practices in Cooled Asphyxiated Newborns.

作者信息

Markus Mona, Giannakis Stamatios, Ruhfus Maria, Stein Anja, Heep Axel, Plagemann Thorsten, Jahn Peter, Hoehn Thomas, Felderhoff-Mueser Ursula, Sabir Hemmen

机构信息

Department of General Pediatrics, Neonatology and Pediatric Cardiology, Medical Faculty and University Hospital Duesseldorf, Heinrich-Heine-University Duesseldorf, 40225 Duesseldorf, Germany.

Department of Pediatrics I/Neonatology, University Hospital Essen, University Duisburg-Essen, 45147 Essen, Germany.

出版信息

Children (Basel). 2021 Oct 9;8(10):899. doi: 10.3390/children8100899.

Abstract

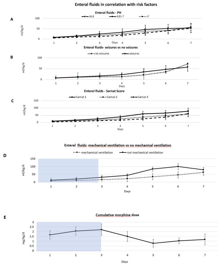
Therapeutic hypothermia (TH) for 72 h is the standard treatment to reduce neurological deficits in term newborns with hypoxic-ischemic encephalopathy. There is a large variability regarding nutritional supply during TH treatment in asphyxiated newborns. We performed a retrospective multicentre study in four level I (highest level of care in Germany) NICUs, including 135 asphyxiated term newborns undergoing TH. We analyzed enteral and parenteral nutritional supply during and after TH. We correlated nutritional supply with risk factors for encephalopathy, pH, Sarnat score, mechanical ventilation, seizures, and sedation. A total of 120 of 135 neonates received enteral nutritional supply within the first 24 h, and the majority of children were fully enterally fed within the first 10 days. The grade of encephalopathy and mechanical ventilation had a significant influence on the amount of enteral fluids ( = 0.01), whereas the pH and appearance of seizures did not affect the amount of nutritional supply significantly. Furthermore, we did not observe any correlation between enteral intake and abdominal complications such as necrotizing enterocolitis. We observed a large variability of feeding regimes in the four participating NICUs. Early enteral feeding among newborns undergoing TH was performed in each NICU and was well tolerated without increased rates of complications.

摘要

对患有缺氧缺血性脑病的足月儿进行72小时的治疗性低温是减少神经功能缺损的标准治疗方法。在窒息新生儿接受治疗性低温治疗期间,营养供应存在很大差异。我们在四个一级(德国最高护理级别)新生儿重症监护病房进行了一项回顾性多中心研究,纳入了135例接受治疗性低温的窒息足月儿。我们分析了治疗性低温期间及之后的肠内和肠外营养供应情况。我们将营养供应与脑病的危险因素、pH值、萨纳特评分、机械通气、癫痫发作和镇静情况进行了关联分析。135例新生儿中有120例在出生后24小时内接受了肠内营养供应,大多数患儿在出生后10天内完全通过肠内喂养。脑病的严重程度和机械通气对肠内液体量有显著影响(P = 0.01),而pH值和癫痫发作情况对营养供应量没有显著影响。此外,我们未观察到肠内摄入量与坏死性小肠结肠炎等腹部并发症之间存在任何关联。我们观察到四个参与研究的新生儿重症监护病房的喂养方案存在很大差异。每个新生儿重症监护病房都对接受治疗性低温的新生儿进行了早期肠内喂养,且耐受性良好,并发症发生率未增加。

https://cdn.ncbi.nlm.nih.gov/pmc/blobs/f283/8534831/56bd39c4bc4b/children-08-00899-g001.jpg

文献AI研究员

20分钟写一篇综述,助力文献阅读效率提升50倍。

立即体验

用中文搜PubMed

大模型驱动的PubMed中文搜索引擎

马上搜索

文档翻译

学术文献翻译模型,支持多种主流文档格式。

立即体验