Suppr超能文献

热灭活菌株血浆对健康成年人皮肤稳态相关基因及皮肤微生物群的影响:一项随机对照双盲研究。

Effects of Heat-Killed Strain Plasma on Skin Homeostasis-Related Genes and the Skin Microbiome among Healthy Adults: A Randomized Controlled Double-Blind Study.

作者信息

Fujii Toshio, Fujitomo Takashi, Tsuji Ryohei, Kubo Ryuichi, Kato Yukiko, Kanauchi Osamu

机构信息

Research Laboratories for Health Science & Food Technologies, Kirin Holdings Co., Ltd., Yokohama 2360004, Japan.

DeNA Life Science Inc. R&D Group, Tokyo 1608582, Japan.

出版信息

Microorganisms. 2021 Sep 25;9(10):2029. doi: 10.3390/microorganisms9102029.

Abstract

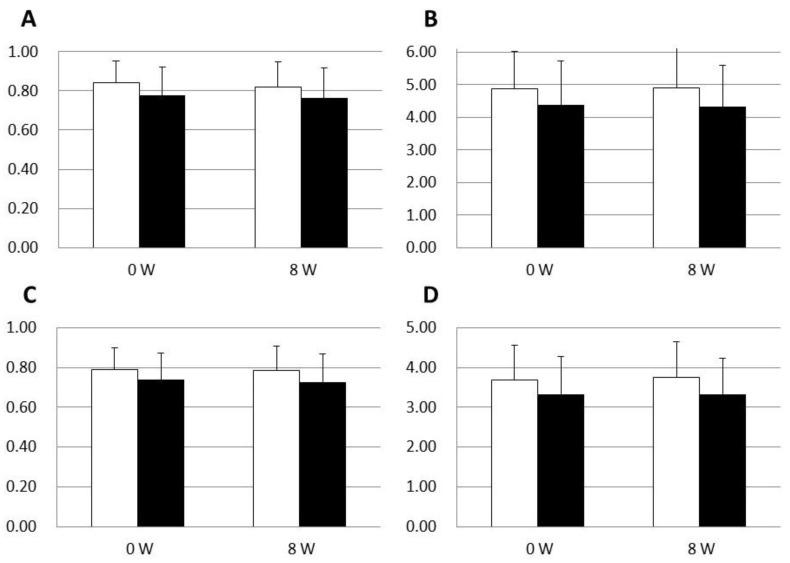
subsp. strain plasma (LC-plasma) is a bacterial strain that activates plasmacytoid dendritic cells and induces viral resistance genes via the TLR9/MyD88 pathway. We recently showed that oral administration of LC-plasma prevents skin infection by , possibly by activating skin immunity. In this study, we conducted a double-blind clinical trial to investigate the effect of oral administration of heat-killed LC-plasma on the skin microbiome, gene expression in the skin, and the skin condition of healthy volunteers. Seventy healthy volunteers were randomly assigned to receive either heat-killed LC-plasma or a placebo for eight weeks. Analysis of the skin microbiome by next-generation sequencing suggested that the alpha-diversity of the skin microbiome did not change during the test period in either group. However, the proportion of species that changed significantly during the test period was 10-fold smaller in the LC-plasma group than in the placebo group, suggesting that LC-plasma may maintain the skin microbiome. Quantitative PCR analysis indicated that tight-junction genes, such as and , and the antimicrobial peptide gene were significantly up-regulated in the LC-plasma group but not in the placebo group. Our results suggest that administration of LC-plasma helps to maintain the skin microbiome and that it affects homeostasis-related genes.

摘要

亚种菌株血浆(LC-血浆)是一种通过TLR9/MyD88途径激活浆细胞样树突状细胞并诱导病毒抗性基因的细菌菌株。我们最近发现,口服LC-血浆可预防由[具体病原体未提及]引起的皮肤感染,可能是通过激活皮肤免疫力实现的。在本研究中,我们进行了一项双盲临床试验,以研究口服热灭活LC-血浆对健康志愿者皮肤微生物群、皮肤基因表达和皮肤状况的影响。70名健康志愿者被随机分配接受热灭活LC-血浆或安慰剂,为期8周。通过下一代测序对皮肤微生物群进行分析表明,在测试期间,两组的皮肤微生物群α多样性均未发生变化。然而,在测试期间显著变化的物种比例在LC-血浆组中比安慰剂组小10倍,这表明LC-血浆可能维持皮肤微生物群。定量PCR分析表明,紧密连接基因,如[具体基因未提及]和[具体基因未提及],以及抗菌肽基因[具体基因未提及]在LC-血浆组中显著上调,但在安慰剂组中未上调。我们的结果表明,给予LC-血浆有助于维持皮肤微生物群,并且它会影响与稳态相关的基因。

https://cdn.ncbi.nlm.nih.gov/pmc/blobs/a073/8539941/94d1068300d5/microorganisms-09-02029-g001.jpg

文献AI研究员

20分钟写一篇综述,助力文献阅读效率提升50倍。

立即体验

用中文搜PubMed

大模型驱动的PubMed中文搜索引擎

马上搜索

文档翻译

学术文献翻译模型,支持多种主流文档格式。

立即体验