Kim Myung Soo, Jung Seung Il, Chung Ho Seok, Chang Hwang Eu, Kwon Dongdeuk
Department of Urology, Chonnam National University Medical School, Gwangju, Republic of Korea.
Prostate Int. 2021 Sep;9(3):132-139. doi: 10.1016/j.prnil.2020.11.001. Epub 2020 Nov 20.
The aim of this study was to investigate the effect of androgen deprivation therapy (ADT) on the health-related quality of life (HRQOL) of patients with prostate cancer (PC) and compare the changes in the HRQOL between ADT alone and ADT plus intensity-modulated radiation therapy (IMRT).
Patients with PC were prospectively recruited between October 2018 and April 2020. The European Organization for Research and Treatment of Cancer Quality of Life Questionnaire and the PC-specific module (PR25) were administered before ADT (baseline) and at 3, 6, and 12 months after ADT. All patients received subcutaneous injections of 45 mg leuprolide acetate at 6-month intervals for 12 months.
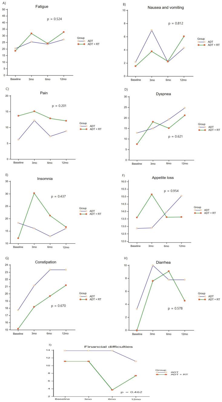
Fifty-five of the 71 patients (77.5%) completed the 12-month study. Twenty-two of the 55 patients received IMRT. There were no differences in the baseline characteristics with respect to IMRT. Compared with baseline, physical function and role function deteriorated after 3 months (p = 0.003, p = 0.019). However, the global quality of life (QOL) did not change over time. The symptom scales of the European Organization for Research and Treatment of Cancer Quality of Life Questionnaire indicated that there was a statistically significant deterioration in dyspnea and fatigue symptoms at 12 months (p = 0.004, p = 0.004). Responses to the QLQ-PR25 revealed that patients experienced an increase in hormonal treatment-related symptoms after 3, 6, and 12 months (p = 0.002, 0.001, and 0.004). Comparisons between the ADT group and ADT plus IMRT group showed that body function and role function did not differ between the two groups (p = 0.815, p = 0.759), and there was also no difference in global QOL (p = 0.624).
Our results indicate that treatment with leuprolide acetate at 6-month intervals was not accompanied by changes in global QOL, despite deterioration of body and role functions and hormonal treatment-related symptoms. The combination of ADT and IMRT did not lead to additional deterioration in the HRQOL.
本研究旨在探讨雄激素剥夺治疗(ADT)对前列腺癌(PC)患者健康相关生活质量(HRQOL)的影响,并比较单纯ADT与ADT联合调强放射治疗(IMRT)时HRQOL的变化。
前瞻性招募2018年10月至2020年4月期间的PC患者。在ADT前(基线)以及ADT后3、6和12个月,使用欧洲癌症研究与治疗组织生活质量问卷及PC特异性模块(PR25)进行评估。所有患者每6个月皮下注射45mg醋酸亮丙瑞林,共注射12个月。
71例患者中有55例(77.5%)完成了为期12个月的研究。55例患者中有22例接受了IMRT。两组患者的基线特征在IMRT方面无差异。与基线相比,3个月后身体功能和角色功能恶化(p = 0.003,p = 0.019)。然而,总体生活质量(QOL)并未随时间变化。欧洲癌症研究与治疗组织生活质量问卷的症状量表显示,12个月时呼吸困难和疲劳症状有统计学意义的恶化(p = 0.004,p = 0.004)。对QLQ - PR25的回答显示,患者在3、6和12个月后激素治疗相关症状增加(p = 0.002、0.001和0.004)。ADT组与ADT联合IMRT组的比较显示,两组的身体功能和角色功能无差异(p = 0.815,p = 0.759),总体QOL也无差异(p = 0.624)。
我们的结果表明,尽管身体和角色功能以及激素治疗相关症状有所恶化,但每6个月注射一次醋酸亮丙瑞林的治疗并未伴随总体QOL的变化。ADT与IMRT联合治疗并未导致HRQOL进一步恶化。