• 文献检索
  • 文档翻译
  • 深度研究
  • 学术资讯
  • Suppr Zotero 插件Zotero 插件
  • 邀请有礼
  • 套餐&价格
  • 历史记录
应用&插件
Suppr Zotero 插件Zotero 插件浏览器插件Mac 客户端Windows 客户端微信小程序
定价
高级版会员购买积分包购买API积分包
服务
文献检索文档翻译深度研究API 文档MCP 服务
关于我们
关于 Suppr公司介绍联系我们用户协议隐私条款
关注我们

Suppr 超能文献

核心技术专利:CN118964589B侵权必究
粤ICP备2023148730 号-1Suppr @ 2026

文献检索

告别复杂PubMed语法,用中文像聊天一样搜索,搜遍4000万医学文献。AI智能推荐,让科研检索更轻松。

立即免费搜索

文件翻译

保留排版,准确专业,支持PDF/Word/PPT等文件格式,支持 12+语言互译。

免费翻译文档

深度研究

AI帮你快速写综述,25分钟生成高质量综述,智能提取关键信息,辅助科研写作。

立即免费体验

激肽释放酶白细胞介素-26即使对多重耐药菌株也显示出即时抗菌作用。

The Kinocidin Interleukin-26 Shows Immediate Antimicrobial Effects Even to Multi-resistant Isolates.

作者信息

Hansen Bjoern-Thore, Maschkowitz Gregor, Podschun Rainer, Fickenscher Helmut

机构信息

Institute for Infection Medicine, Christian-Albrecht University of Kiel and University Hospital Schleswig-Holstein, Kiel, Germany.

出版信息

Front Microbiol. 2021 Oct 18;12:757215. doi: 10.3389/fmicb.2021.757215. eCollection 2021.

DOI:10.3389/fmicb.2021.757215
PMID:34733265
原文链接:https://pmc.ncbi.nlm.nih.gov/articles/PMC8558509/
Abstract

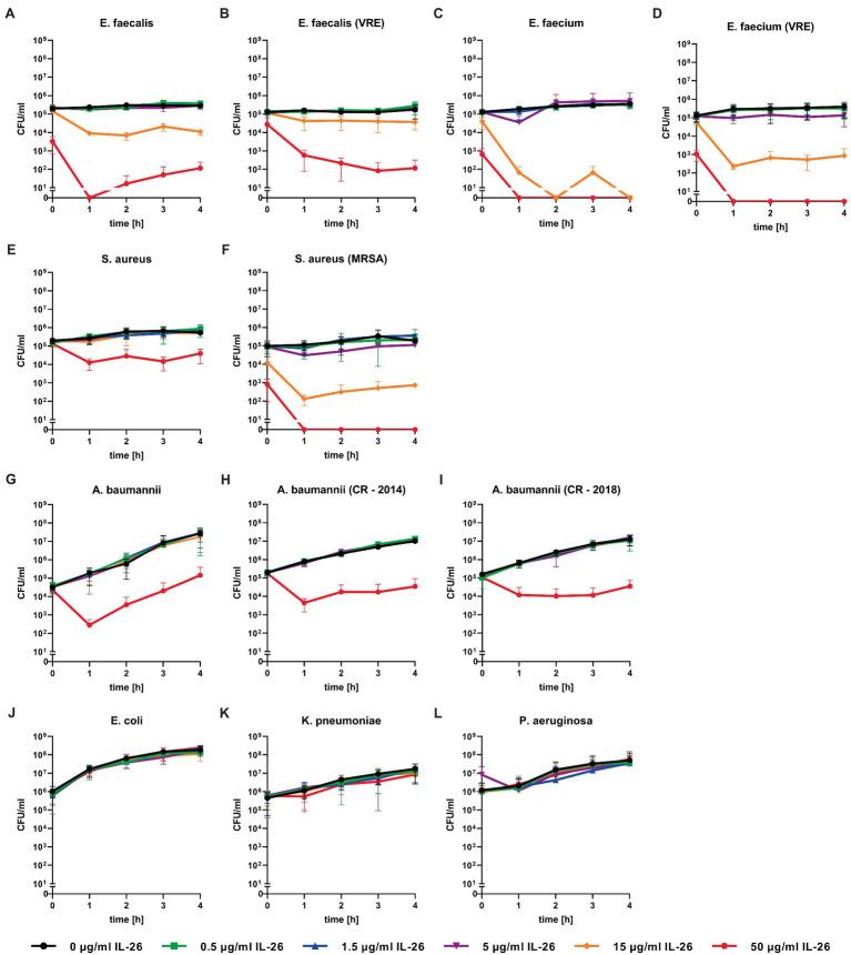
The cationic proinflammatory cytokine Interleukin 26 (IL-26) shows antibacterial activity and inhibits the replication of cytomegalovirus and hepatitis C virus. This study evaluates the early microbicidal activities of IL-26 against major bacterial species including multi-resistant variants and . Recombinant IL-26 was bacterially expressed and studied for its microbicidal effects in culture. We show that IL-26 has strong 90% bactericidal activities against , and . Similarly, IL-26 sensitivity was also detectable in vancomycin-resistant Enterococcus species, methicillin-resistant , and carbapenem-resistant clinical isolates. Additionally, a significant, albeit weak fungicidal effect against was observed. Activities against , and were not detectable. The proinflammatory cytokine and kinocidin IL-26 shows strong bactericidal activities against and, almost selectively, against Gram-positive bacteria.

摘要

阳离子促炎细胞因子白细胞介素26(IL-26)具有抗菌活性,并能抑制巨细胞病毒和丙型肝炎病毒的复制。本研究评估了IL-26对包括多重耐药变体在内的主要细菌种类的早期杀菌活性。重组IL-26通过细菌表达,并在培养中研究其杀菌作用。我们发现IL-26对[具体细菌1]、[具体细菌2]和[具体细菌3]具有很强的90%杀菌活性。同样,在耐万古霉素肠球菌、耐甲氧西林[具体细菌4]和耐碳青霉烯[具体细菌5]临床分离株中也可检测到IL-26敏感性。此外,观察到对[具体真菌]有显著但较弱的杀真菌作用。未检测到对[具体细菌6]、[具体细菌7]和[具体细菌8]的活性。促炎细胞因子和亲嗜素IL-26对[具体细菌9]以及几乎选择性地对革兰氏阳性菌具有很强的杀菌活性。

https://cdn.ncbi.nlm.nih.gov/pmc/blobs/229a/8558509/428e91c6e01d/fmicb-12-757215-g003.jpg
https://cdn.ncbi.nlm.nih.gov/pmc/blobs/229a/8558509/4ab0b7815fbf/fmicb-12-757215-g001.jpg
https://cdn.ncbi.nlm.nih.gov/pmc/blobs/229a/8558509/68d86a9d7a52/fmicb-12-757215-g002.jpg
https://cdn.ncbi.nlm.nih.gov/pmc/blobs/229a/8558509/428e91c6e01d/fmicb-12-757215-g003.jpg
https://cdn.ncbi.nlm.nih.gov/pmc/blobs/229a/8558509/4ab0b7815fbf/fmicb-12-757215-g001.jpg
https://cdn.ncbi.nlm.nih.gov/pmc/blobs/229a/8558509/68d86a9d7a52/fmicb-12-757215-g002.jpg
https://cdn.ncbi.nlm.nih.gov/pmc/blobs/229a/8558509/428e91c6e01d/fmicb-12-757215-g003.jpg

相似文献

1
The Kinocidin Interleukin-26 Shows Immediate Antimicrobial Effects Even to Multi-resistant Isolates.激肽释放酶白细胞介素-26即使对多重耐药菌株也显示出即时抗菌作用。
Front Microbiol. 2021 Oct 18;12:757215. doi: 10.3389/fmicb.2021.757215. eCollection 2021.
2
[Analysis of distribution and drug resistance of pathogens from the wounds of 1 310 thermal burn patients].[1310例热烧伤患者创面病原菌分布及耐药性分析]
Zhonghua Shao Shang Za Zhi. 2018 Nov 20;34(11):802-808. doi: 10.3760/cma.j.issn.1009-2587.2018.11.016.
3
[Microbiological profiles of pathogens causing nosocomial bacteremia in 2011, 2013 and 2016].[2011年、2013年和2016年医院获得性菌血症病原菌的微生物学特征]
Sheng Wu Gong Cheng Xue Bao. 2018 Aug 25;34(8):1205-1217. doi: 10.13345/j.cjb.180192.
4
Update on antimicrobial susceptibility rates among gram-negative and gram-positive organisms in the United States: results from the Tigecycline Evaluation and Surveillance Trial (TEST) 2005 to 2007.美国革兰氏阴性菌和革兰氏阳性菌的抗菌药敏率最新情况:2005年至2007年替加环素评估与监测试验(TEST)结果
Clin Ther. 2008 Nov;30(11):2040-50. doi: 10.1016/j.clinthera.2008.11.006.
5
Antimicrobial activity of a UV-stable bacteriocin-like inhibitory substance (BLIS) produced by Enterococcus faecium strain DSH20 against vancomycin-resistant Enterococcus (VRE) strains.粪肠球菌DSH20产生的一种紫外线稳定的类细菌素抑制物质(BLIS)对耐万古霉素肠球菌(VRE)菌株的抗菌活性。
J Microbiol Immunol Infect. 2014 Oct;47(5):371-6. doi: 10.1016/j.jmii.2013.05.004. Epub 2013 Jul 6.
6
[Bloodstream infections in southwestern China: 2012 Whire Union report on bacterial susceptibility to antibiotics].[中国西南部的血流感染:2012年白色联盟关于细菌对抗生素敏感性的报告]
Sichuan Da Xue Xue Bao Yi Xue Ban. 2015 Jan;46(1):75-81.
7
Bacterial susceptibility in bloodstream infections: Results from China Antimicrobial Resistance Surveillance Trial (CARST) Program, 2015-2016.血流感染中的细菌药敏性:中国抗菌药物耐药监测研究(CARST)项目,2015-2016 年结果。
J Glob Antimicrob Resist. 2019 Jun;17:276-282. doi: 10.1016/j.jgar.2018.12.016. Epub 2019 Jan 3.
8
The tigecycline evaluation and surveillance trial; assessment of the activity of tigecycline and other selected antibiotics against gram-positive and gram-negative pathogens from France collected between 2004 and 2016.替加环素评估和监测试验;评估替加环素和其他选定抗生素对 2004 年至 2016 年期间从法国收集的革兰氏阳性和革兰氏阴性病原体的活性。
Antimicrob Resist Infect Control. 2018 May 30;7:68. doi: 10.1186/s13756-018-0360-y. eCollection 2018.
9
Antimicrobial Constituents from Pers.: Inhibitory Activities and Synergism of Machaeriols and Machaeridiols against Methicillin-Resistant , Vancomycin-Resistant , and Permeabilized Gram-Negative Pathogens.贯叶金丝桃中的抗微生物成分:马钱烯醇和马钱烯二醇对耐甲氧西林金黄色葡萄球菌、耐万古霉素肠球菌和通透性革兰氏阴性病原体的抑制活性和协同作用。
Molecules. 2020 Dec 18;25(24):6000. doi: 10.3390/molecules25246000.
10
Antimicrobial susceptibility among Gram-positive and Gram-negative organisms collected from the Latin American region between 2004 and 2015 as part of the Tigecycline Evaluation and Surveillance Trial.作为替加环素评估与监测试验的一部分,2004年至2015年间从拉丁美洲地区收集的革兰氏阳性和革兰氏阴性生物体的抗菌药敏性。
Ann Clin Microbiol Antimicrob. 2017 Jul 12;16(1):50. doi: 10.1186/s12941-017-0222-0.

引用本文的文献

1
Interleukin-26 expression in tuberculosis disease and its regulatory effect in macrophage polarization and intracellular elimination of .白细胞介素-26 在结核病中的表达及其对巨噬细胞极化和细胞内结核分枝杆菌清除的调节作用。
Front Cell Infect Microbiol. 2024 Oct 4;14:1455819. doi: 10.3389/fcimb.2024.1455819. eCollection 2024.
2
Inducible antibacterial responses in macrophages.巨噬细胞中的可诱导抗菌反应。
Nat Rev Immunol. 2025 Feb;25(2):92-107. doi: 10.1038/s41577-024-01080-y. Epub 2024 Sep 18.
3
Rapid reduction in Staphylococcus aureus in atopic dermatitis subjects following dupilumab treatment.

本文引用的文献

1
Serum Interleukin-26 Is a New Biomarker for Disease Activity Assessment in Systemic Lupus Erythematosus.血清白细胞介素-26 是系统性红斑狼疮疾病活动评估的新生物标志物。
Front Immunol. 2021 May 14;12:663192. doi: 10.3389/fimmu.2021.663192. eCollection 2021.
2
Interleukin-26 activates macrophages and facilitates killing of Mycobacterium tuberculosis.白细胞介素-26 激活巨噬细胞并促进结核分枝杆菌的杀伤。
Sci Rep. 2020 Oct 14;10(1):17178. doi: 10.1038/s41598-020-73989-y.
3
IL-26 contributes to host defense against intracellular bacteria.
达必妥治疗特应性皮炎患者后金黄色葡萄球菌迅速减少。
J Allergy Clin Immunol. 2023 Nov;152(5):1179-1195. doi: 10.1016/j.jaci.2023.05.026. Epub 2023 Jun 13.
4
TLR4-mediated release of heparin-binding protein in human airways: a co-stimulatory role for IL-26.TLR4 介导的人呼吸道肝素结合蛋白释放:IL-26 的共刺激作用。
Front Immunol. 2023 May 10;14:1178135. doi: 10.3389/fimmu.2023.1178135. eCollection 2023.
5
Antibacterial Activity of Nanostructured Zinc Oxide Tetrapods.纳米结构氧化锌四足体的抗菌活性
Int J Mol Sci. 2023 Feb 8;24(4):3444. doi: 10.3390/ijms24043444.
白细胞介素-26 有助于宿主抵御细胞内细菌。
J Clin Invest. 2019 Apr 2;129(5):1926-1939. doi: 10.1172/JCI99550.
4
A new T helper 17 cytokine in hidradenitis suppurativa: antimicrobial and proinflammatory role of interleukin-26.在化脓性汗腺炎中发现一种新的辅助性 T 细胞 17 细胞因子:白细胞介素-26 的抗菌和促炎作用。
Br J Dermatol. 2019 Nov;181(5):1038-1045. doi: 10.1111/bjd.17854. Epub 2019 Jun 23.
5
IL-26, a Cytokine With Roles in Extracellular DNA-Induced Inflammation and Microbial Defense.白细胞介素 26,一种在细胞外 DNA 诱导的炎症和微生物防御中起作用的细胞因子。
Front Immunol. 2019 Feb 12;10:204. doi: 10.3389/fimmu.2019.00204. eCollection 2019.
6
Interleukin-26 (IL-26) is a novel anti-microbial peptide produced by T cells in response to staphylococcal enterotoxin.白细胞介素-26(IL-26)是一种由T细胞产生的新型抗菌肽,由葡萄球菌肠毒素诱导产生。
Oncotarget. 2018 Apr 13;9(28):19481-19489. doi: 10.18632/oncotarget.24603.
7
IL-26 in allergic contact dermatitis: Resource in a state of readiness.白细胞介素-26 在变应性接触性皮炎中的作用:处于待命状态的资源。
Exp Dermatol. 2018 Jun;27(6):681-684. doi: 10.1111/exd.13521. Epub 2018 Apr 10.
8
Antimicrobial peptides (AMPs): The quintessential 'offense and defense' molecules are more than antimicrobials.抗菌肽 (AMPs):典型的“进攻与防御”分子,其功能远不止于抗菌。
Biomed Pharmacother. 2017 Nov;95:1276-1283. doi: 10.1016/j.biopha.2017.09.042. Epub 2017 Oct 6.
9
Phenotype and Antimicrobial Activity of Th17 Cells Induced by Propionibacterium acnes Strains Associated with Healthy and Acne Skin.痤疮丙酸杆菌相关健康皮肤和痤疮皮肤分离株诱导的 Th17 细胞表型和抗菌活性。
J Invest Dermatol. 2018 Feb;138(2):316-324. doi: 10.1016/j.jid.2017.07.842. Epub 2017 Aug 31.
10
Interleukin-26 Production in Human Primary Bronchial Epithelial Cells in Response to Viral Stimulation: Modulation by Th17 cytokines.病毒刺激下人原发性支气管上皮细胞中白细胞介素-26 的产生:Th17 细胞因子的调节。
Mol Med. 2017 Oct;23:247-257. doi: 10.2119/molmed.2016.00064. Epub 2017 Aug 29.