Suppr超能文献

沃克蛾(鳞翅目:螟蛾科)中Hsp70和Hsp90基因家族的特征及功能分析

Characterization, and Functional Analysis of Hsp70 and Hsp90 Gene Families in Walker (Lepidoptera: Pyralidae).

作者信息

Ding Jian-Hao, Zheng Lu-Xin, Chu Jie, Liang Xin-Hao, Wang Jun, Gao Xiao-Wen, Wu Fu-An, Sheng Sheng

机构信息

Jiangsu Key Laboratory of Sericultural Biology and Biotechnology, School of Biotechnology, Jiangsu University of Science and Technology, Zhenjiang, China.

Key Laboratory of Silkworm and Mulberry Genetic Improvement, Ministry of Agriculture and Rural Affairs, Sericultural Research Institute, Chinese Academy of Agricultural Sciences, Zhenjiang, China.

出版信息

Front Physiol. 2021 Oct 21;12:753914. doi: 10.3389/fphys.2021.753914. eCollection 2021.

Abstract

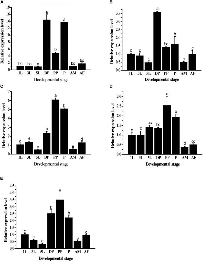
Walker (Lepidoptera: Pyralidae) is a destructive mulberry pest, causing great damage to mulberry in China. Heat shock proteins (Hsps) are involved in various signal pathways and regulate lots of physiological processes in insects. The function of Hsps in , however, has still received less attention. Here, we identified five Hsp genes from transcriptome dataset including two Hsp70 family genes ( and ) and three Hsp90 family genes (, , and ). Quantitative Real-time PCR validation revealed that all Hsps of have significant expression in pupal and diapause stage, at which the larvae arrest the development. Expressions of and were increased significantly after thermal treatment at 40°C, and this upregulation depended on heat treatment duration. Furthermore, silencing by RNA interference led to a significant increase in mortality of larvae under the heat stress compared to the control group. After starvation stress, the expression levels of and were significantly increased. At last, after being parasitized by the parasitoid wasp , Hsp70 and Hsp90 genes of were decreased significantly in the early stage of parasitization and this moderation was affected by time post-parasitization. This study highlights the function of Hsps in response to environmental stress and provides a perspective for the control of this pest.

摘要

沃克蛾(鳞翅目:螟蛾科)是一种具有破坏性的桑树害虫,在中国对桑树造成了巨大损害。热休克蛋白(Hsps)参与多种信号通路,并调节昆虫体内许多生理过程。然而,Hsps在沃克蛾中的功能仍较少受到关注。在此,我们从沃克蛾转录组数据集中鉴定出5个Hsp基因,包括2个Hsp70家族基因(Hsp70-1和Hsp70-2)和3个Hsp90家族基因(Hsp90-1、Hsp90-2和Hsp90-3)。实时定量PCR验证表明,沃克蛾的所有Hsps在蛹期和滞育期均有显著表达,此时幼虫发育停滞。40°C热处理后,Hsp70-1和Hsp90-1的表达显著增加,且这种上调依赖于热处理持续时间。此外,与对照组相比,通过RNA干扰沉默Hsp90-1导致热胁迫下沃克蛾幼虫死亡率显著增加。饥饿胁迫后,Hsp70-1和Hsp90-3的表达水平显著升高。最后,被寄生蜂寄生后,沃克蛾的Hsp70和Hsp90基因在寄生早期显著下降,且这种下调受寄生后时间的影响。本研究突出了沃克蛾Hsps在应对环境胁迫中的功能,并为该害虫的防治提供了一个视角。

https://cdn.ncbi.nlm.nih.gov/pmc/blobs/7599/8572055/abb40f5a441f/fphys-12-753914-g001.jpg

文献AI研究员

20分钟写一篇综述,助力文献阅读效率提升50倍。

立即体验

用中文搜PubMed

大模型驱动的PubMed中文搜索引擎

马上搜索

文档翻译

学术文献翻译模型,支持多种主流文档格式。

立即体验