Suppr超能文献

基于 AZT 的三唑类化合物和三唑鎓盐的开发及其抗 HIV-1 的抗病毒活性。

Development of Triazoles and Triazolium Salts Based on AZT and Their Anti-Viral Activity against HIV-1.

机构信息

ITQB-NOVA-Instituto de Tecnologia Química e Biológica António Xavier, Universidade Nova de Lisboa, Avd da Republica, 2780-157 Oeiras, Portugal.

Human Immunobiology and Pathogenesis Laboratory, Chronic Diseases Research Center, NOVA Medical School, NOVA University of Lisbon, 1150-082 Lisbon, Portugal.

出版信息

Molecules. 2021 Nov 6;26(21):6720. doi: 10.3390/molecules26216720.

Abstract

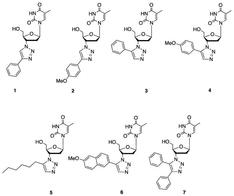
We report herein a set of 3'-azido-3'-deoxythymidine (AZT) derivatives based on triazoles and triazolium salts for HIV-1 infection. The compounds were synthesized via click chemistry with Cu(I) and Ru(II) catalysts. Triazolium salts were synthesized by reaction with methyl iodide or methyl triflate in good yields. The antiviral activity of the compounds was tested using two methodologies: In method one the activity was measured on infected cells; in method two a pre-exposure prophylaxis experimental model was employed. For method one the activity of the compounds was moderate, and in general the triazolium salts showed a decreased activity in relation to their triazole precursors. With method two the antiviral activity was higher. All compounds were able to decrease the infection, with two compounds able to clear almost all the infection, while a lower antiviral activity was noted for the triazolium salts. These results suggest that these drugs could play an important role in the development of pre-exposure prophylaxis therapies.

摘要

我们在此报告了一组基于三唑和三唑鎓盐的 3'-叠氮-3'-去氧胸苷 (AZT) 衍生物,用于治疗 HIV-1 感染。这些化合物是通过 Cu(I) 和 Ru(II) 催化剂的点击化学合成的。三唑鎓盐是通过与碘甲烷或甲基三氟甲磺酸反应以良好的收率合成的。采用两种方法测试了化合物的抗病毒活性:方法一是在感染细胞上测定活性;方法二是采用暴露前预防实验模型。对于方法一,化合物的活性中等,一般来说,三唑鎓盐的活性相对于其三唑前体降低。对于方法二,抗病毒活性更高。所有化合物都能够降低感染,有两种化合物能够清除几乎所有的感染,而三唑鎓盐的抗病毒活性较低。这些结果表明,这些药物可能在开发暴露前预防治疗中发挥重要作用。

https://cdn.ncbi.nlm.nih.gov/pmc/blobs/06d0/8588071/67768b518665/molecules-26-06720-sch001.jpg

文献AI研究员

20分钟写一篇综述,助力文献阅读效率提升50倍。

立即体验

用中文搜PubMed

大模型驱动的PubMed中文搜索引擎

马上搜索

文档翻译

学术文献翻译模型,支持多种主流文档格式。

立即体验