Suppr超能文献

碳纳米纤维的表面改性以改善其与成骨细胞和软骨细胞系接触时的生物相容性。

Surface Modification of Carbon Nanofibers to Improve Their Biocompatibility in Contact with Osteoblast and Chondrocytes Cell Lines.

作者信息

Smolka Wojciech, Ptas Monika, Panek Agnieszka, Krok-Borkowicz Malgorzata, Zambrzycki Marcel, Gubernat Maciej, Markowski Jaroslaw, Fraczek-Szczypta Aneta

机构信息

Laryngology Department, School of Medicine in Katowice, Medical University of Silesia in Katowice, Poniatowskiego 15, 40-055 Katowice, Poland.

Faculty of Materials Science and Ceramics, AGH University of Science and Technology, Mickiewicza 30 Av., 30-059 Krakow, Poland.

出版信息

Materials (Basel). 2021 Oct 25;14(21):6370. doi: 10.3390/ma14216370.

Abstract

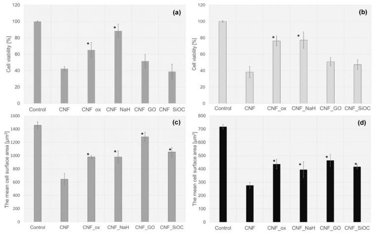
The goal of this study is to investigate the influence of different types of modifiers, such as sodium hyaluronate (NaH), graphene oxide (GO), silica oxycarbide (SiOC) and oxidation process (ox) on physicochemical, morphological, and biological properties of electrospun carbon nanofibers (eCNFs). Scanning electron microscopy, X-ray photoelectron spectroscopy and infrared spectroscopy (FTIR) were used to evaluate the microstructure and chemistry of as-prepared and modified CNFs. The electrical properties of CNFs scaffolds were examined using a four-point probe method to evaluate the influence of modifiers on the volume conductivity and surface resistivity of the obtained samples. The wettability of the surfaces of modified and unmodified CNFs scaffolds was also tested by contact angle measurement. During the in vitro study all samples were put into direct contact with human chondrocyte CHON-001 cells and human osteosarcoma MG-63 cells. Their viability was analysed after 72 h in culture. Moreover, the cell morphology and cell area in contact with CNFs was observed by means of fluorescence microscopy. The obtained results show great potential for the modification of CNFs with polymer, ceramic and carbon modifiers, which do not change the fiber form of the substrate but significantly affect their surface and volume properties. Preliminary biological studies have shown that the type of modification of CNFs affects either the rate of increase in the number of cells or the degree of spreading in relation to the unmodified sample. More hydrophilic and low electrically conductive samples such as CNF_ox and CNF_NaH significantly increase cell proliferation, while other GO and SiOC modified samples have an effect on cell adhesion and thus cell spreading. From the point of view of further research and the possibility of combining the electrical properties of modified CNF scaffolds with electrical stimulation, where these scaffolds would be able to transport electrical signals to cells and thus affect cell adhesion, spreading, and consequently tissue regeneration, samples CNF_GO and CNF_SiOC would be the most desirable.

摘要

本研究的目的是探究不同类型的改性剂,如透明质酸钠(NaH)、氧化石墨烯(GO)、碳氧化硅(SiOC)和氧化过程(ox)对电纺碳纳米纤维(eCNF)的物理化学、形态和生物学性能的影响。使用扫描电子显微镜、X射线光电子能谱和红外光谱(FTIR)来评估制备的和改性的CNF的微观结构和化学性质。使用四点探针法检测CNF支架的电学性能,以评估改性剂对所得样品的体积电导率和表面电阻率的影响。还通过接触角测量来测试改性和未改性的CNF支架表面的润湿性。在体外研究中,将所有样品与人类软骨细胞CHON - 001和人类骨肉瘤MG - 63细胞直接接触。培养72小时后分析它们的活力。此外,通过荧光显微镜观察与CNF接触的细胞形态和细胞面积。所得结果表明,用聚合物、陶瓷和碳改性剂对CNF进行改性具有很大潜力,这些改性剂不会改变基材的纤维形态,但会显著影响其表面和体积性能。初步生物学研究表明,CNF的改性类型会影响细胞数量增加的速率或相对于未改性样品的铺展程度。更亲水且导电性低的样品,如CNF_ox和CNF_NaH,显著增加细胞增殖,而其他GO和SiOC改性样品对细胞粘附进而对细胞铺展有影响。从进一步研究以及将改性CNF支架的电学性能与电刺激相结合的可能性的角度来看,这些支架能够将电信号传输给细胞,从而影响细胞粘附、铺展以及组织再生,样品CNF_GO和CNF_SiOC将是最理想的。

https://cdn.ncbi.nlm.nih.gov/pmc/blobs/f7a8/8585247/4708832a7c49/materials-14-06370-g001.jpg

文献AI研究员

20分钟写一篇综述,助力文献阅读效率提升50倍。

立即体验

用中文搜PubMed

大模型驱动的PubMed中文搜索引擎

马上搜索

文档翻译

学术文献翻译模型,支持多种主流文档格式。

立即体验