Suppr超能文献

计算机断层血管造影术中的冠状动脉周围脂肪衰减指数与终末期肾病的死亡率相关。

Pericoronary fat attenuation index in computed tomography angiography is associated with mortality in end-stage renal disease.

作者信息

Cho Nam-Jun, Nam Bo Da, Park Samel, Kim Hyoungnae, Noh Hyunjin, Jeon Jin Seok, Han Dong Cheol, Lee Eun Young, Gil Hyo-Wook, Kwon Soon Hyo

机构信息

Department of Internal Medicine, Soonchunhyang University Cheonan Hospital, Cheonan, Republic of Korea.

Department of Radiology, Soonchunhyang University Seoul Hospital, Seoul, Republic of Korea.

出版信息

Kidney Res Clin Pract. 2022 Jan;41(1):66-76. doi: 10.23876/j.krcp.21.090. Epub 2021 Nov 16.

Abstract

BACKGROUND

An increased pericoronary fat attenuation index (FAI) on computed tomography angiography (CTA) is associated with increased all-cause and cardiac mortality in the general population. However, the ability of pericoronary FAI to predict long-term outcomes in chronic kidney disease (CKD) patients is unknown.

METHODS

In this single-center retrospective longitudinal cohort study, we assessed the utility of CTA-based pericoronary FAI measurement to predict mortality of CKD patients, including those with end-stage renal disease (ESRD). Mapping and analysis of pericoronary FAI involved three major proximal coronary arteries. The prognostic value of pericoronary FAI for long-term mortality was assessed with multivariable Cox regression models.

RESULTS

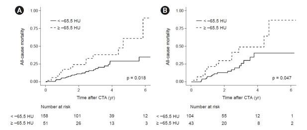
Among 268 CKD participants who underwent coronary CTA, 209 participants with left anterior descending artery (LAD) FAI measurements were included. The pericoronary FAI measured at the LAD was not significantly associated with adjusted risk of allcause mortality (hazard ratio [HR], 2.08; 95% confidence interval [CI], 0.94-3.51) in any CKD group. However, ESRD patients with elevated pericoronary FAI values had a greater adjusted risk of all-cause mortality compared with the low-FAI group (HR, 2.26; 95% CI, 1.11-4.61).

CONCLUSION

The pericoronary FAI measured at the LAD predicted long-term mortality in patients with ESRD, which could provide an opportunity for early primary intervention in ESRD patients.

摘要

背景

计算机断层扫描血管造影(CTA)上冠状动脉周围脂肪衰减指数(FAI)升高与普通人群全因死亡率和心脏死亡率增加相关。然而,冠状动脉周围FAI预测慢性肾脏病(CKD)患者长期预后的能力尚不清楚。

方法

在这项单中心回顾性纵向队列研究中,我们评估了基于CTA测量冠状动脉周围FAI对预测CKD患者(包括终末期肾病[ESRD]患者)死亡率的效用。冠状动脉周围FAI的测绘和分析涉及三支主要的近端冠状动脉。采用多变量Cox回归模型评估冠状动脉周围FAI对长期死亡率的预后价值。

结果

在268例接受冠状动脉CTA检查的CKD参与者中,纳入了209例有左前降支(LAD)FAI测量值的参与者。在任何CKD组中,LAD处测量的冠状动脉周围FAI与全因死亡率的校正风险均无显著相关性(风险比[HR],2.08;95%置信区间[CI],0.94 - 3.51)。然而,与低FAI组相比,冠状动脉周围FAI值升高的ESRD患者全因死亡率的校正风险更高(HR,2.26;95%CI,1.11 - 4.61)。

结论

LAD处测量的冠状动脉周围FAI可预测ESRD患者的长期死亡率,这可能为ESRD患者的早期初级干预提供机会。

https://cdn.ncbi.nlm.nih.gov/pmc/blobs/7c4a/8816413/394c386920dc/j-krcp-21-090f1.jpg

文献AI研究员

20分钟写一篇综述,助力文献阅读效率提升50倍。

立即体验

用中文搜PubMed

大模型驱动的PubMed中文搜索引擎

马上搜索

文档翻译

学术文献翻译模型,支持多种主流文档格式。

立即体验