Suppr超能文献

根据良性甲状腺结节的类型评估射频消融的疗效。

Efficacy on radiofrequency ablation according to the types of benign thyroid nodules.

机构信息

Department of Thyroid Surgery, The First Affiliated Hospital of Zhengzhou University, No. 1 Jianshe East Road, Zhengzhou, 450052, Henan, People's Republic of China.

Department of Ultrasound, The First Affiliated Hospital of Zhengzhou University, No. 1 Jianshe East Road, Zhengzhou, 450052, Henan, People's Republic of China.

出版信息

Sci Rep. 2021 Nov 15;11(1):22270. doi: 10.1038/s41598-021-01593-9.

Abstract

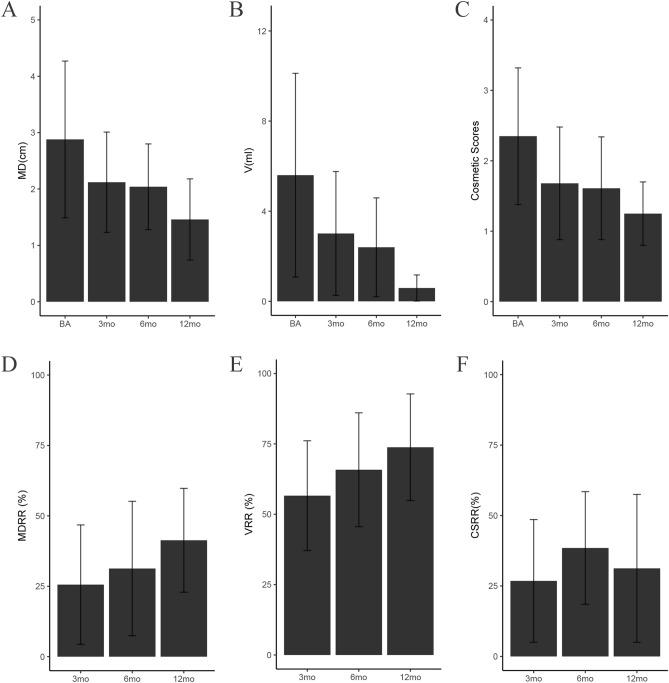
Percutaneous radiofrequency ablation (RFA) has been recommended as minimally invasive treatment for patients with symptomatic benign thyroid nodules (BTNs) because of the large number of clinical applications. This retrospective observational study sought to evaluate the clinical outcomes of RFA for BTNs. From 2014 to 2019, a sample size of 1289 patients treated by RFA were 262 ones with solid nodules and 1027 ones with cystic-solid nodule, respectively. The efficacy including the nodule maximal diameter reduction ratio (MDRR), the volume reduction ratio (VRR) and the cosmetic scores reduction ratio (CSRR). The results of the nodule MDRR and VRR in the cystic-solid nodule group were significantly better than those in the solid nodule group at the 3rd and 6th month, and the CSRR in the two groups showed statistically significant difference at the 3rd month. In a word, RFA is an effective method for symptomatic benign solid or cystic-solid nodules. The achieved MDRR and VRR in the cystic-solid nodule group were significantly better than those in the solid nodule group at the 3rd and 6th month.

摘要

经皮射频消融(RFA)已被推荐作为有症状良性甲状腺结节(BTN)的微创治疗方法,因为其有大量的临床应用。本回顾性观察研究旨在评估 RFA 治疗 BTN 的临床效果。2014 年至 2019 年,共对 1289 名接受 RFA 治疗的患者进行了研究,其中 262 名为实性结节患者,1027 名为囊实性结节患者。疗效包括结节最大直径缩小率(MDRR)、体积缩小率(VRR)和美容评分缩小率(CSRR)。囊实性结节组的结节 MDRR 和 VRR 在第 3 个月和第 6 个月的结果显著优于实性结节组,两组的 CSRR 在第 3 个月有统计学意义。总之,RFA 是治疗有症状的良性实性或囊实性结节的有效方法。囊实性结节组的 MDRR 和 VRR 在第 3 个月和第 6 个月的效果明显优于实性结节组。

https://cdn.ncbi.nlm.nih.gov/pmc/blobs/ea9b/8593160/e801682eb9bf/41598_2021_1593_Fig1_HTML.jpg

文献AI研究员

20分钟写一篇综述,助力文献阅读效率提升50倍。

立即体验

用中文搜PubMed

大模型驱动的PubMed中文搜索引擎

马上搜索

文档翻译

学术文献翻译模型,支持多种主流文档格式。

立即体验