Suppr超能文献

大西洋鲑鱼海水转移时的驯化状态数量遗传学()

Quantitative Genetics of Smoltification Status at the Time of Seawater Transfer in Atlantic Salmon ().

作者信息

Khaw Hooi Ling, Gjerde Bjarne, Boison Solomon A, Hjelle Elise, Difford Gareth F

机构信息

Department of Breeding and Genetics, Nofima AS, Osloveien, Norway.

Mowi ASA, Bergen, Norway.

出版信息

Front Genet. 2021 Nov 1;12:696893. doi: 10.3389/fgene.2021.696893. eCollection 2021.

Abstract

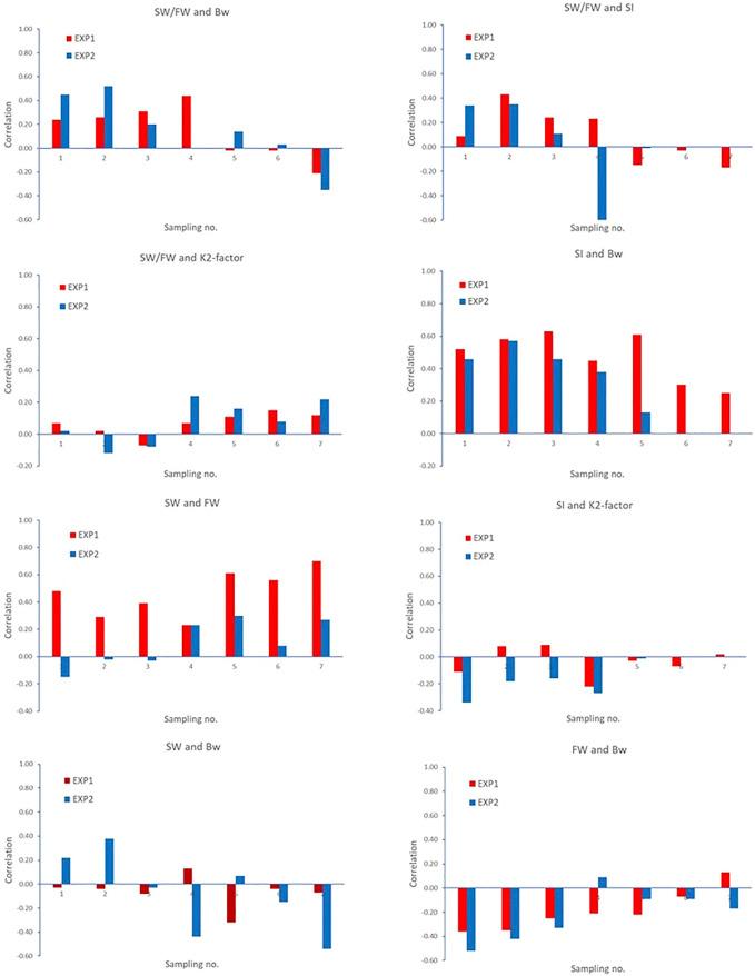
High mortality during grow out in the sea is a challenge for farmed Atlantic salmon production in Norway and globally, which is partly attributed to suboptimal smolt quality. In this study, two groups of pre-smolts were put on a standard light smoltification regime with alternating 12L:12D per day for 6 weeks (Phase I), followed by 24L:0D per day for 6 weeks (Phase II); one group was 0 + smolt (EXP1) and the other 1 + smolt (EXP2). To monitor the smoltification status of the fish, 100 (EXP1) and 60 (EXP2) fish were randomly sampled per week during Phase II. The following phenotypes for smoltification status were studied: RT-qPCR relative mRNA expression of values of two alpha catalytic subunits of the variants of the NaKATPase (NKA) expressed in the sampled gill tissues of each fish. The first variant, alpha1a with increased expression in freshwater (FW) and the second variant alpha1b with increased expression in seawater variant (SW), as well as their ratio SW/FW. At the optimal time for seawater transfer based on the SW/FW trait, 1,000 (at sixth sampling of EXP1) and 1,500 (at fifth sampling of EXP2) fish were sampled for genetic parameter estimation. The individual variation in FW, SW, and SW/FW was very large at each of the seven samplings indicating a large variation among individuals in the optimum time of transfer to seawater. SW/FW showed significant genetic variation in both 0+ and 1+ smolts, which indicates the possibility for selection for improved synchronization of smoltification status of Atlantic salmon at the time where the largest proportion of the fish is considered to be smolt. However, the genetic correlation between SW/FW of 0+ and 1+ was not significantly different from zero indicating very little shared genetic variation in SW/FW in 0+ and 1+ fish. Smoltification phenotypes showed temporal progression over the smoltification period, and this progression varied between 0+ and 1+ smolt highlighting the importance of correctly timing the major sampling point, and when cohorts are transferred to seawater. This also highlighted the need for further research into noninvasive methods of objectively measuring individual smoltification through time and subsequent smolt survival and growth rate at sea.

摘要

在挪威乃至全球范围内,养殖大西洋鲑鱼在海水中生长阶段的高死亡率是一个挑战,部分原因是仔鱼质量欠佳。在本研究中,两组幼鲑前期鱼被置于标准的光诱导变态养殖模式下,每天光照12小时、黑暗12小时,持续6周(第一阶段),随后每天光照24小时、黑暗0小时,持续6周(第二阶段);一组为0 +龄仔鱼(实验1组),另一组为1 +龄仔鱼(实验2组)。为监测鱼的变态状态,在第二阶段每周从实验1组随机抽取100尾鱼、从实验2组随机抽取60尾鱼。研究了以下变态状态的表型:在每条鱼的鳃组织样本中,钠钾ATP酶(NKA)变体的两个α催化亚基的实时定量聚合酶链反应(RT-qPCR)相对mRNA表达值。第一个变体是在淡水中表达增加的α1a,第二个变体是在海水中表达增加的α1b,以及它们的海水/淡水比值。基于海水/淡水特征确定的最佳海水转移时间,分别从实验1组(第六次采样时)抽取1000尾鱼、从实验2组(第五次采样时)抽取1500尾鱼用于遗传参数估计。在七次采样中的每一次,淡水、海水以及海水/淡水的个体差异都非常大,这表明在转移到海水的最佳时间上,个体之间存在很大差异。海水/淡水在0 +龄和1 +龄仔鱼中均表现出显著的遗传变异,这表明在大部分鱼被认为处于仔鱼期时,有可能通过选择来改善大西洋鲑变态状态的同步性。然而,0 +龄和1 +龄仔鱼的海水/淡水之间的遗传相关性与零无显著差异,这表明0 +龄和1 +龄鱼在海水/淡水方面几乎没有共享的遗传变异。变态表型在变态期呈现出时间上的变化,并且这种变化在0 +龄和1 +龄仔鱼之间有所不同,这突出了正确确定主要采样点以及鱼群转移到海水的时间的重要性。这也凸显了需要进一步研究通过时间客观测量个体变态以及随后在海水中的仔鱼存活率和生长率的非侵入性方法。

https://cdn.ncbi.nlm.nih.gov/pmc/blobs/1614/8591024/41234a734e4b/fgene-12-696893-g001.jpg

文献检索

告别复杂PubMed语法,用中文像聊天一样搜索,搜遍4000万医学文献。AI智能推荐,让科研检索更轻松。

立即免费搜索

文件翻译

保留排版,准确专业,支持PDF/Word/PPT等文件格式,支持 12+语言互译。

免费翻译文档

深度研究

AI帮你快速写综述,25分钟生成高质量综述,智能提取关键信息,辅助科研写作。

立即免费体验