Suppr超能文献

基于中位数的完全无标记通用内标(FUGIS)定量蛋白质方法。

Median-Based Absolute Quantification of Proteins Using Fully Unlabeled Generic Internal Standard (FUGIS).

机构信息

Max Planck Institute of Molecular Cell Biology and Genetics, Pfotenhauerstrasse 108, 01307 Dresden, Germany.

出版信息

J Proteome Res. 2022 Jan 7;21(1):132-141. doi: 10.1021/acs.jproteome.1c00596. Epub 2021 Nov 22.

Abstract

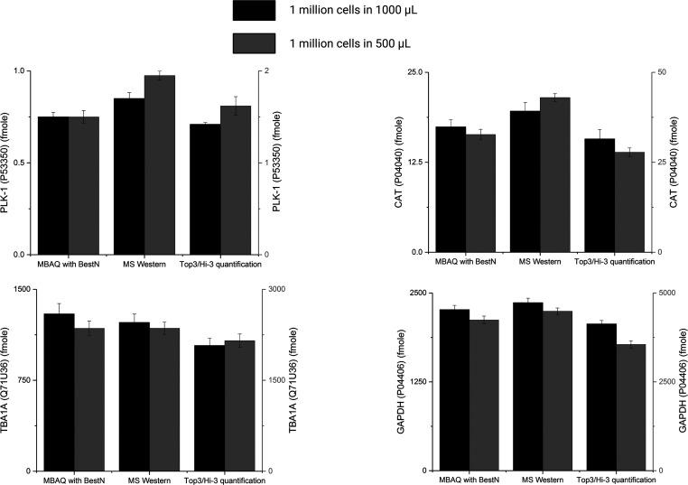
By reporting the molar abundance of proteins, absolute quantification determines their stoichiometry in complexes, pathways, or networks. Typically, absolute quantification relies either on protein-specific isotopically labeled peptide standards or on a semiempirical calibration against the average abundance of peptides chosen from arbitrarily selected proteins. In contrast, a generic protein standard FUGIS (fully unlabeled generic internal standard) requires no isotopic labeling, chemical synthesis, or external calibration and is applicable to quantifying proteins of any organismal origin. The median intensity of the peptide peaks produced by the tryptic digestion of FUGIS is used as a single-point calibrant to determine the molar abundance of any codigested protein. Powered by FUGIS, median-based absolute quantification (MBAQ) outperformed other methods of untargeted proteome-wide absolute quantification.

摘要

通过报告蛋白质的摩尔丰度,绝对定量确定了它们在复合物、途径或网络中的化学计量。通常,绝对定量依赖于蛋白质特异性的同位素标记肽标准品,或者依赖于针对任意选择的蛋白质中选择的肽的平均丰度的半经验校准。相比之下,通用蛋白质标准品 FUGIS(完全未标记的通用内部标准)不需要同位素标记、化学合成或外部校准,适用于定量任何生物体来源的蛋白质。由 FUGIS 的胰蛋白酶消化产生的肽峰的中值强度用作单点校准剂,以确定任何共消化蛋白质的摩尔丰度。基于 FUGIS 的中位数的绝对定量 (MBAQ) 优于其他靶向蛋白质组绝对定量的方法。

https://cdn.ncbi.nlm.nih.gov/pmc/blobs/f541/8749952/a88f9af5adf3/pr1c00596_0001.jpg

文献检索

告别复杂PubMed语法,用中文像聊天一样搜索,搜遍4000万医学文献。AI智能推荐,让科研检索更轻松。

立即免费搜索

文件翻译

保留排版,准确专业,支持PDF/Word/PPT等文件格式,支持 12+语言互译。

免费翻译文档

深度研究

AI帮你快速写综述,25分钟生成高质量综述,智能提取关键信息,辅助科研写作。

立即免费体验