• 文献检索
  • 文档翻译
  • 深度研究
  • 学术资讯
  • Suppr Zotero 插件Zotero 插件
  • 邀请有礼
  • 套餐&价格
  • 历史记录
应用&插件
Suppr Zotero 插件Zotero 插件浏览器插件Mac 客户端Windows 客户端微信小程序
定价
高级版会员购买积分包购买API积分包
服务
文献检索文档翻译深度研究API 文档MCP 服务
关于我们
关于 Suppr公司介绍联系我们用户协议隐私条款
关注我们

Suppr 超能文献

核心技术专利:CN118964589B侵权必究
粤ICP备2023148730 号-1Suppr @ 2026

文献检索

告别复杂PubMed语法,用中文像聊天一样搜索,搜遍4000万医学文献。AI智能推荐,让科研检索更轻松。

立即免费搜索

文件翻译

保留排版,准确专业,支持PDF/Word/PPT等文件格式,支持 12+语言互译。

免费翻译文档

深度研究

AI帮你快速写综述,25分钟生成高质量综述,智能提取关键信息,辅助科研写作。

立即免费体验

不同萎凋时间对红茶感官品质、化学成分及营养特性的影响

Different Withering Times Affect Sensory Qualities, Chemical Components, and Nutritional Characteristics of Black Tea.

作者信息

Ntezimana Bernard, Li Yuchuan, He Chang, Yu Xinlei, Zhou Jingtao, Chen Yuqiong, Yu Zhi, Ni Dejiang

机构信息

Key Laboratory of Horticulture Plant Biology, Ministry of Education, College of Horticulture & Forestry Sciences, Huazhong Agricultural University, Wuhan 430070, China.

Key Laboratory of Urban Agriculture in Central China, Ministry of Agriculture, Wuhan 430070, China.

出版信息

Foods. 2021 Oct 29;10(11):2627. doi: 10.3390/foods10112627.

DOI:10.3390/foods10112627
PMID:34828907
原文链接:https://pmc.ncbi.nlm.nih.gov/articles/PMC8618261/
Abstract

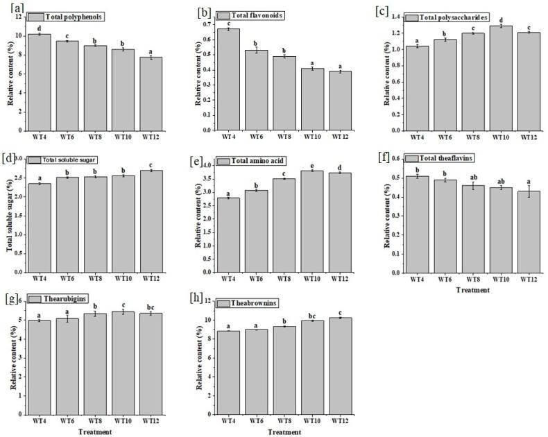
The present study emphasizes the effect of withering time set at 4 ± 0.5 h (WT4), 6 ± 0.5 h (WT6), 8 ± 0.5 h (WT8), 10 ± 0.5 h (WT10), and 12 ± 0.5 h (WT12) on the sensory qualities, chemical components, and nutritional characteristics of black tea. The sensory evaluation revealed high total quality scores at WT8 and WT10. Polysaccharides, amino acids, and soluble sugars significantly increased with an increase in withering time, and an apparent peak value was obtained at WT10. However, polyphenols, flavonoids, glycosides, organic acids, catechins, alkanoids, and theaflavins decreased with an increase in withering time. With an increase in withering time, the content of aromatic substances showed a trend of increasing first and then decreasing. The peaks of alcohols, aldehydes, and acids appeared at 10 ± 0.5 h, 10 ± 0.5 h, and 8 ± 0.5 h, respectively. The content of esters, ketones, and hydrocarbons showed a downward trend with an increase in withering time. Aroma analysis revealed that withering time could not exceed 10 ± 0.5 h. Black tea withered up to WT10 showed enhanced inhibition of α-glucosidase and α-amylase activity with good sensorial attributes. Glucose uptake inhibition capacity increased up 6 ± 0.5 h and then decreased, while antioxidant capacity decreased with an increase in withering time. The overall results show that the 8 ± 0.5 h to 10 ± 0.5 h withering time could improve black tea quality and nutritional characteristics.

摘要

本研究着重探讨了设定为4±0.5小时(WT4)、6±0.5小时(WT6)、8±0.5小时(WT8)、10±0.5小时(WT10)和12±0.5小时(WT12)的萎凋时间对红茶感官品质、化学成分和营养特性的影响。感官评价显示,WT8和WT10时的总体品质得分较高。随着萎凋时间的增加,多糖、氨基酸和可溶性糖显著增加,在WT10时达到明显的峰值。然而,多酚、黄酮类化合物、糖苷、有机酸、儿茶素、生物碱和茶黄素则随着萎凋时间的增加而减少。随着萎凋时间的增加,芳香物质的含量呈现出先增加后减少的趋势。醇类、醛类和酸类的峰值分别出现在10±0.5小时、10±0.5小时和8±0.5小时。酯类、酮类和烃类的含量随着萎凋时间的增加呈下降趋势。香气分析表明,萎凋时间不能超过10±0.5小时。萎凋至WT10的红茶对α-葡萄糖苷酶和α-淀粉酶活性的抑制作用增强,感官特性良好。葡萄糖摄取抑制能力在6±0.5小时之前增加,之后下降,而抗氧化能力则随着萎凋时间的增加而降低。总体结果表明,8±0.5小时至10±0.5小时的萎凋时间可以改善红茶的品质和营养特性。

https://cdn.ncbi.nlm.nih.gov/pmc/blobs/4998/8618261/57dcc17bae5d/foods-10-02627-g002.jpg
https://cdn.ncbi.nlm.nih.gov/pmc/blobs/4998/8618261/07b93861128a/foods-10-02627-g001.jpg
https://cdn.ncbi.nlm.nih.gov/pmc/blobs/4998/8618261/57dcc17bae5d/foods-10-02627-g002.jpg
https://cdn.ncbi.nlm.nih.gov/pmc/blobs/4998/8618261/07b93861128a/foods-10-02627-g001.jpg
https://cdn.ncbi.nlm.nih.gov/pmc/blobs/4998/8618261/57dcc17bae5d/foods-10-02627-g002.jpg

相似文献

1
Different Withering Times Affect Sensory Qualities, Chemical Components, and Nutritional Characteristics of Black Tea.不同萎凋时间对红茶感官品质、化学成分及营养特性的影响
Foods. 2021 Oct 29;10(11):2627. doi: 10.3390/foods10112627.
2
Impact of light irradiation on black tea quality during withering.萎凋过程中光照对红茶品质的影响
J Food Sci Technol. 2017 Apr;54(5):1212-1227. doi: 10.1007/s13197-017-2558-z. Epub 2017 Mar 6.
3
Effects of withering on the main physical properties of withered tea leaves and the sensory quality of congou black tea.萎凋对萎凋茶主要物理特性及工夫红茶感官品质的影响。
J Texture Stud. 2020 Jun;51(3):542-553. doi: 10.1111/jtxs.12498. Epub 2019 Dec 9.
4
Effects of Sun Withering Degree on Black Tea Quality Revealed via Non-Targeted Metabolomics.通过非靶向代谢组学揭示日光萎凋程度对红茶品质的影响
Foods. 2023 Jun 20;12(12):2430. doi: 10.3390/foods12122430.
5
Effect of red light on the composition of metabolites in tea leaves during the withering process using untargeted metabolomics.利用非靶向代谢组学研究萎凋过程中红光对茶叶代谢物组成的影响。
J Sci Food Agric. 2022 Mar 15;102(4):1628-1639. doi: 10.1002/jsfa.11500. Epub 2021 Sep 4.
6
Analyzing the influence of withering degree on the dynamic changes in non-volatile metabolites and sensory quality of Longjing green tea by non-targeted metabolomics.基于非靶向代谢组学分析萎凋程度对龙井绿茶非挥发性代谢物动态变化及感官品质的影响。
Front Nutr. 2023 Mar 14;10:1104926. doi: 10.3389/fnut.2023.1104926. eCollection 2023.
7
Flavor characteristics of seven grades of black tea produced in Turkey.土耳其生产的七个等级红茶的风味特征。
J Agric Food Chem. 2012 Jun 27;60(25):6323-32. doi: 10.1021/jf301498p. Epub 2012 Jun 18.
8
Effect of Fermentation Humidity on Quality of Congou Black Tea.发酵湿度对工夫红茶品质的影响
Foods. 2023 Apr 20;12(8):1726. doi: 10.3390/foods12081726.
9
Applicability of multifunctional preprocessing device for simultaneous estimation of spreading of green tea, withering of black tea and shaking of oolong tea.多功能预处理设备在同时评估绿茶的扩散、红茶萎凋和乌龙茶摇青中的适用性。
J Sci Food Agric. 2020 Jan 30;100(2):560-569. doi: 10.1002/jsfa.10046. Epub 2019 Nov 26.
10
Analysis of the effect of different withering methods on tea quality based on transcriptomics and metabolomics.基于转录组学和代谢组学分析不同萎凋方法对茶叶品质的影响
Front Plant Sci. 2023 Sep 14;14:1235687. doi: 10.3389/fpls.2023.1235687. eCollection 2023.

引用本文的文献

1
Increased Oxygen Treatment in the Fermentation Process Improves the Taste and Liquor Color Qualities of Black Tea.发酵过程中增加氧气处理可改善红茶的口感和汤色品质。
Foods. 2025 Aug 5;14(15):2736. doi: 10.3390/foods14152736.
2
Seasonal Dynamic Changes in the Nutrient Elements and Antioxidant Activity of Leaf.叶片营养元素及抗氧化活性的季节性动态变化
Plants (Basel). 2025 Jun 23;14(13):1919. doi: 10.3390/plants14131919.
3
Effects of Monochromatic and Composite Light Withering on Black Tea Aroma.单色光和复合光萎凋对红茶香气的影响

本文引用的文献

1
Methylglyoxal-hydroimidazolones (MG-Hs) instead of Nɛ-(carboxymethyl)-l-lysine (CML) is the major advanced glycation end-product during drying process in black tea.甲基乙二醛-酰基咪唑(MG-Hs)而非 Nɛ-(羧甲基)-l-赖氨酸(CML)是红茶在干燥过程中主要的晚期糖基化终末产物。
Food Chem. 2020 Dec 15;333:127499. doi: 10.1016/j.foodchem.2020.127499. Epub 2020 Jul 10.
2
Inhibition of the facilitative sugar transporters (GLUTs) by tea extracts and catechins.茶提取物和儿茶素对易化性糖转运体(GLUTs)的抑制作用。
FASEB J. 2020 Aug;34(8):9995-10010. doi: 10.1096/fj.202000057RR. Epub 2020 Jun 21.
3
Nonvolatile metabolism in postharvest tea (Camellia sinensis L.) leaves: Effects of different withering treatments on nonvolatile metabolites, gene expression levels, and enzyme activity.
Foods. 2025 Jun 25;14(13):2232. doi: 10.3390/foods14132232.
4
Impact of compression methods on flavor profile of white tea: Integrated analysis of appearance, aroma, and taste.压缩方法对白茶风味特征的影响:外观、香气和滋味的综合分析
Food Chem X. 2025 May 7;28:102510. doi: 10.1016/j.fochx.2025.102510. eCollection 2025 May.
5
Integrated Transcriptomic and Metabolomic Analyses Reveal Changes in Aroma- and Taste-Related Substances During the Withering Process of Black Tea.整合转录组学和代谢组学分析揭示红茶萎凋过程中香气和滋味相关物质的变化
Foods. 2024 Dec 9;13(23):3977. doi: 10.3390/foods13233977.
6
Optimizing Processing Techniques of Oolong Tea Balancing between High Retention of Catechins and Sensory Quality.优化乌龙茶加工工艺:在高儿茶素保留率与感官品质之间取得平衡
Foods. 2023 Dec 1;12(23):4334. doi: 10.3390/foods12234334.
7
Tea Harvesting and Processing Techniques and Its Effect on Phytochemical Profile and Final Quality of Black Tea: A Review.茶叶采摘与加工技术及其对红茶植物化学成分和最终品质的影响:综述
Foods. 2023 Dec 13;12(24):4467. doi: 10.3390/foods12244467.
8
Effects of Sun Withering Degree on Black Tea Quality Revealed via Non-Targeted Metabolomics.通过非靶向代谢组学揭示日光萎凋程度对红茶品质的影响
Foods. 2023 Jun 20;12(12):2430. doi: 10.3390/foods12122430.
9
Hot-Air Drying Significantly Improves the Quality and Functional Activity of Orange Black Tea Compared with Traditional Sunlight Drying.与传统日光干燥相比,热风干燥显著提高了橙红茶的品质和功能活性。
Foods. 2023 May 7;12(9):1913. doi: 10.3390/foods12091913.
10
Effect of Fermentation Humidity on Quality of Congou Black Tea.发酵湿度对工夫红茶品质的影响
Foods. 2023 Apr 20;12(8):1726. doi: 10.3390/foods12081726.
采后茶叶(Camellia sinensis L.)非挥发性代谢物:不同萎凋处理对非挥发性代谢物、基因表达水平和酶活性的影响。
Food Chem. 2020 Oct 15;327:126992. doi: 10.1016/j.foodchem.2020.126992. Epub 2020 May 6.
4
A novel spatial-resolution targeted metabolomics method in a single leaf of the tea plant (Camellia sinensis).一种新型的茶树(Camellia sinensis)单叶空间分辨率靶向代谢组学方法。
Food Chem. 2020 May 1;311:126007. doi: 10.1016/j.foodchem.2019.126007. Epub 2019 Dec 10.
5
Chlorophyll Metabolism in Postharvest Tea ( L.) Leaves: Variations in Color Values, Chlorophyll Derivatives, and Gene Expression Levels under Different Withering Treatments.采后茶叶(L.)中叶绿素代谢:不同萎凋处理下颜色值、叶绿素衍生物和基因表达水平的变化。
J Agric Food Chem. 2019 Sep 25;67(38):10624-10636. doi: 10.1021/acs.jafc.9b03477. Epub 2019 Sep 13.
6
GC-MS-based metabolomic study reveals dynamic changes of chemical compositions during black tea processing.基于 GC-MS 的代谢组学研究揭示了红茶加工过程中化学成分的动态变化。
Food Res Int. 2019 Jun;120:330-338. doi: 10.1016/j.foodres.2019.02.039. Epub 2019 Feb 20.
7
Aroma formation and dynamic changes during white tea processing.白茶加工过程中的香气形成与动态变化。
Food Chem. 2019 Feb 15;274:915-924. doi: 10.1016/j.foodchem.2018.09.072. Epub 2018 Sep 12.
8
Novel insight into the role of withering process in characteristic flavor formation of teas using transcriptome analysis and metabolite profiling.利用转录组分析和代谢物分析研究茶叶萎凋过程在特征风味形成中的作用的新见解。
Food Chem. 2019 Jan 30;272:313-322. doi: 10.1016/j.foodchem.2018.08.013. Epub 2018 Aug 4.
9
Studies on the Biochemical Formation Pathway of the Amino Acid l-Theanine in Tea (Camellia sinensis) and Other Plants.茶叶(Camellia sinensis)及其他植物中氨基酸 l-茶氨酸的生化形成途径研究。
J Agric Food Chem. 2017 Aug 23;65(33):7210-7216. doi: 10.1021/acs.jafc.7b02437. Epub 2017 Aug 10.
10
The Tea Tree Genome Provides Insights into Tea Flavor and Independent Evolution of Caffeine Biosynthesis.茶树基因组为茶叶风味和咖啡因生物合成的独立进化提供了线索。
Mol Plant. 2017 Jun 5;10(6):866-877. doi: 10.1016/j.molp.2017.04.002. Epub 2017 May 2.