Lieb Verena, Abdulrahman Amer, Weigelt Katrin, Hauch Siegfried, Gombert Michael, Guzman Juan, Bellut Laura, Goebell Peter J, Stöhr Robert, Hartmann Arndt, Wullich Bernd, Taubert Helge, Wach Sven
Department of Urology and Pediatric Urology, Universitätsklinikum Erlangen, Friedrich-Alexander-Universität Erlangen-Nürnberg, 91054 Erlangen, Germany.
Comprehensive Cancer Center Erlangen-EMN (CCC ER-EMN), 91054 Erlangen, Germany.
Cells. 2021 Nov 18;10(11):3223. doi: 10.3390/cells10113223.
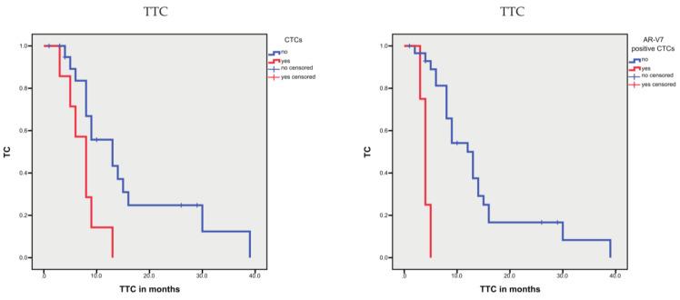
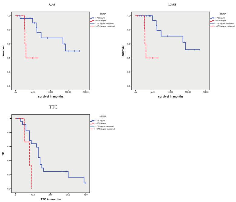
Prostate cancer (PCa) is the second most common malignant cancer and is a major cause of morbidity and mortality among men worldwide. There is still an urgent need for biomarkers applicable for diagnosis, prognosis, therapy prediction, or therapy monitoring in PCa. Liquid biopsies, including cell-free DNA (cfDNA) and circulating tumor cells (CTCs), are a valuable source for studying such biomarkers and are minimally invasive. In our study, we investigated the cfDNA of 34 progressive PCa patients, via targeted sequencing, for sequence variants and for the occurrence of CTCs, with a focus on androgen receptor splice variant 7 (AR-V7)-positive CTCs. The cfDNA content was associated with overall survival (OS; = 0.014), disease-specific survival (DSS; = 0.004), and time to treatment change (TTC; = 0.001). Moreover, when considering all sequence variants grouped by their functional impact and allele frequency, a significant association with TTC ( = 0.017) was observed. When investigating only pathogenic or likely pathogenic gene variants, variants of the BRCA1 gene ( = 0.029) and the AR ligand-binding domain ( = 0.050) were associated with a shorter TTC. Likewise, the presence of CTCs was associated with a shorter TTC ( = 0.031). The presence of AR-V7-positive CTCs was associated with TTC ( < 0.001) in Kaplan-Meier analysis. Interestingly, all patients with AR-V7-positive CTCs also carried TP53 point mutations. Altogether, analysis of cfDNA and CTCs can provide complementary information that may support temporal and targeted treatment decisions and may elucidate the optimal choice within the variety of therapy options for advanced PCa patients.
前列腺癌(PCa)是第二常见的恶性肿瘤,是全球男性发病和死亡的主要原因。目前仍迫切需要适用于前列腺癌诊断、预后、治疗预测或治疗监测的生物标志物。液体活检,包括游离DNA(cfDNA)和循环肿瘤细胞(CTC),是研究此类生物标志物的宝贵来源,且具有微创性。在我们的研究中,我们通过靶向测序,对34例进展性前列腺癌患者的cfDNA进行了序列变异和CTC出现情况的研究,重点关注雄激素受体剪接变体7(AR-V7)阳性的CTC。cfDNA含量与总生存期(OS;P = 0.014)、疾病特异性生存期(DSS;P = 0.004)和治疗改变时间(TTC;P = 0.001)相关。此外,当考虑按功能影响和等位基因频率分组的所有序列变异时,观察到与TTC有显著相关性(P = 0.017)。仅研究致病或可能致病的基因变异时,BRCA1基因变异(P = 0.029)和AR配体结合域变异(P = 0.050)与较短的TTC相关。同样,CTC的存在与较短的TTC相关(P = 0.031)。在Kaplan-Meier分析中,AR-V7阳性CTC的存在与TTC相关(P < 0.001)。有趣的是,所有AR-V7阳性CTC的患者也携带TP53点突变。总之,cfDNA和CTC的分析可以提供补充信息,可能支持适时和有针对性的治疗决策,并可能阐明晚期前列腺癌患者多种治疗选择中的最佳选择。